青岛垚鑫智能科技有限公司
宣传

位置:中冶有色 >

有色技术频道 >

分类:
全部
矿山技术
冶金技术
材料制备及加工技术
环境保护技术
分析检测技术
地区:
全部
北京
天津
上海
重庆
河北
山西
辽宁
吉林
黑龙江
江苏
浙江
安徽
福建
江西
山东
河南
湖北
湖南
广东
海南
四川
贵州
云南
陕西
甘肃
青海
内蒙
广西
西藏
宁夏
新疆
其他
其他
展开
 
全部
成都
自贡
攀枝花
泸州
德阳
绵阳
广元
遂宁
内江
乐山
南充
眉山
宜宾
广安
达州
雅安
巴中
资阳
阿坝藏族羌族自治州
甘孜藏族自治州
凉山彝族自治州

四川成都有色金属理论与应用

免费发布技术信息>>
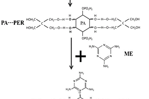
废弃电路板非金属超细粉体及其与聚烯烃的复合材料和它们的制备方法

本发明公开的一种废弃电路板非金属超细粉体的制备方法是将市售废弃电路板非金属粉加入固相力化学反应器中进行碾磨,碾磨过程中控制磨盘盘面温度为5-25℃,压力为15-25KN,转速为100-400转/分,碾磨10-20次即得平均体积粒径≤65μm,比表面积≥0.12m2/g,粒径分散度小于≤4的废弃电路板超细粉体。本发明公开的用该超细粉体与聚烯烃制备复合材料的方法是将该超细粉体先与市售废弃聚烯烃粒料、偶联剂、相容剂和聚烯烃蜡制成母料,然后再与市售废弃聚烯烃粒料按1-1.5 : 1共混均匀后经双螺杆挤出机在190-210℃挤出。本发明操作简便,回收成本低廉,易于规模化生产,所得复合材料的外观和性能大为提高,是废弃电路板非金属粉体的一条新的回收利用途径。

标签:
复合材料
四川 - 成都 来源:中冶有色网 2023-03-18
超高冲击强度废旧聚苯乙烯复合材料及其制备方法

本发明公开了一种超高冲击强度废旧聚苯乙烯复合材料,该复合材料含有以重量 份计的废旧聚苯乙烯60~90份,弹性体10~40份,纳米二氧化硅0.05~2.0份和由有机 过氧化物和酸酐构成的复合界面粘结剂0.04~1.0份。本发明还公开了该复合材料的制 备方法。用本发明方法制备的复合材料能够使拉伸强度保持在26MPa以上的情况下, 缺口冲击强度达到8.6~29.8KJ/m2,为原废旧聚苯乙烯的5~16倍,为专门制备的高抗冲 聚苯乙烯的缺口冲击强度的2~6倍多,而且所加的纳米二氧化硅量少,避免了大量使 用而带来环境的污染和对身体的危害。本发明方法操作简单,耗能低,生产效率高, 适合工厂的大规模生产。

标签:
复合材料
四川 - 成都 来源:中冶有色网 2023-03-18
超声辐照制备聚合物/无机纳米粒子复合材料的方法

超声辐照制备聚合物/无机纳米粒子复合材料的方法,其特点是利用超声波的分散、粉碎、活化、引发等多重作用,在实现无机纳米粒子在液相中纳米分散的同时,实现单体在纳米粒子表面聚合,实现无机纳米粒子的稳定化和复合化,制备的产物为纳米复合乳胶粒聚合物,包裹层厚度为5—65mm,可以直接用作涂料、粘接剂;经分离、干燥后得到功能聚合物/无机纳米复合材料。

标签:
复合材料
四川 - 成都 来源:中冶有色网 2023-03-18
多孔二氧化钛/石墨烯复合材料及其制备方法

本发明公开了一种多孔二氧化钛/石墨烯复合材料及其制备方法。将苯胺、石墨烯按一定比例加入含表面活性剂的质子酸溶液中,原位聚合法制得纳米聚苯胺/石墨烯复合材料。用溶胶-凝胶法制备二氧化钛溶胶,在50mL溶胶中加入纳米聚苯胺/石墨烯复合材料0.05~0.20g,混合均匀。将溶胶静置陈化3~5d后置烘箱60℃~120℃烘干。碾磨后将所得复合物200~550℃下煅烧30min~2h,去除聚苯胺,得多孔二氧化钛/石墨烯复合材料。本发明利用纳米聚苯胺制备多孔状二氧化钛/石墨烯,并使二氧化钛沉积在石墨烯上,不仅增大了二氧化钛与污染物的接触面积,也提高了光生电子和空穴的分离效率,从而提高光催化效率。

标签:
复合材料
四川 - 成都 来源:中冶有色网 2023-03-18
机制模压纤维增强复合材料管道

本实用新型公开了一种机制模压纤维增强复合材料管道,包括2件对合的半圆弧管道组件。半圆弧管道组件包括半圆弧管壁和连接板,过半圆弧管壁旋转轴的截面与半圆弧管壁内壁的交线为直线,过半圆弧管壁旋转轴的截面与半圆弧管壁外壁的交线为波纹线,半圆弧管壁包括从内向外依次粘结的复合材料内层、复合材料结构层和复合材料外层;半圆弧管壁外壁设置为波纹状或者锯齿状,使得玻璃钢管道能够承受更大的弯矩。半圆弧管壁两端设置有半圆法兰。连接板对称设置在半圆弧管壁边沿,连接板边缘设置有若干连接通孔。此机制模压纤维增强复合材料管道具有耐腐蚀、耐磨损的优点,并可防止渗漏。

标签:
复合材料
四川 - 成都 来源:中冶有色网 2023-03-18
介电常数可调的柔性相变复合材料及其制备方法与应用

本发明公开了一种介电常数可调的柔性相变复合材料及其制备方法与应用,该柔性相变复合材料包括以下组分:25~35wt%的聚乙二醇、65~75wt%的热塑性聚氨酯以及占柔性相变复合材料1~5phr的氮化硼纳米片,柔性相变复合材料的热导率高于0.7W/m·K,相变焓大于50kJ/kg。本发明提供的制备方法以高弹性的热塑性聚氨酯作为封装载体,高热焓值的聚乙二醇为相变储能分子,氮化硼纳米片作为导热增强填料,通过温度场变化控制聚乙二醇的相态可以作为复合材料电导率、介电常数的控制开关,实现介电性能可调控的功能。

标签:
复合材料
四川 - 成都 来源:中冶有色网 2023-03-18
经等离子体处理后静电自组装的碳纤维复合材料及其制备方法

本发明公开了一种经等离子体处理后静电自组装的碳纤维复合材料及其制备方法,具体包括以下步骤:等离子体发生器在电源作用下产生高能等离子体,工作气体发生器向气氛仓通入氨气,等离子体发生器之间的介质阻挡放电机构使氮原子以含氮基团的方式定向包覆在碳纤维的表面,然后在溶剂中与氧化石墨烯分别经过电离和水解作用带异相电荷,在静电吸引力的作用下进行静电自组装以增强碳纤维,与环氧树脂结合获得界面性能良好的增强复合材料。本发明通过等离子体处理碳纤维/氧化石墨烯静电自组装的增强复合材料,增强了复合材料间的界面结合性能,从而提升了复合材料的综合性能。

标签:
复合材料
四川 - 成都 来源:中冶有色网 2023-03-18
各向异性导电导热聚合物复合材料及其制备方法

本发明属于高分子材料领域,涉及一种各向异性导电导热聚合物复合材料及其制备方法。本发明提供一种导电导热聚合物复合材料,所述复合材料由聚合物基体和二维导电导热填料通过多熔体多次注射成型法制得;其中,二维导电导热填料均匀分散在聚合物基体中,所述二维导电导热填料在复合材料内与注射流动方向和横向方向所组成的平面平行,沿法相方向呈多层平面取向结构;所述横向方向与注射流动方向线垂直,所述法相方向垂直于注射流动方向与横向方向组成的平面。本发明所得复合材料兼具各向异性导电性及各向异性导热能力,并且其制备方法简便易行可连续大规模生产。

标签:
复合材料
四川 - 成都 来源:中冶有色网 2023-03-18
低密度耐高温腈基树脂复合材料及其制备方法

本发明公开了一种低密度耐高温腈基树脂复合材料及其制备方法。由下列重量份数的成分经预聚混合和固化成型制成:腈基树脂:40—95份;固化剂:0—10份;中空玻璃微珠:5—50份;溶剂:0—500份。本发明将中空玻璃微珠引入腈基树脂,使复合材料的密度减小,密度可调节,且复合材料的密度不随固化程度而改变;耐热性得到提高,复合材料密度为0.5—1g/cm3,初始分解温度达大于470℃,800℃残炭率达70%以上,玻璃化温度在300℃以上,能够广泛应用在航空复合材料、微电子、海军、航空、航天等高技术领域;本发明制备方法可以采用无溶剂加工,操作简单灵活,对环境友好,与目前工业设备相匹配,具有大规模工业化生产与应用前景。

标签:
复合材料
四川 - 成都 来源:中冶有色网 2023-03-18
复合材料夹芯壁板及无人机翼面结构

本实用新型公开一种复合材料夹芯壁板及无人机翼面结构。所述复合材料夹芯壁板的特征在于包括一个或连续的多个复合材料夹芯壁板单元,所述复合材料夹芯壁板单元包括粘接的外蒙皮(1)、芯材(2)和内蒙皮(3),其中连续的多个复合材料夹芯壁板单元之间的过渡区域由粘接的外蒙皮(1)和内蒙皮(3)构成。本实用新型的复合材料夹芯壁板轻质高效,可提高翼面结构整体强度和刚度,满足飞行载荷要求,适用于高空长航时无人机,并且有效解决了零件成型和装配问题。

标签:
复合材料
四川 - 成都 来源:中冶有色网 2023-03-18
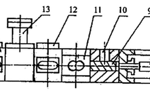
多层复合材料生产线
多层复合材料生产线 906     
 0

本实用新型提供了一种多层复合材料生产线,属于材料生产设备领域。一种多层复合材料生产线,包括:挤出机、挤出模具、皮带输送线、阻尼约束层供料设备、防粘纸供料设备、压紧装置、牵引机以及裁剪装置,挤出机的出口与挤出模具连接,防粘纸供料设备被配置成向皮带输送线上输送防粘纸,挤出模具配置成向防粘纸上挤出阻尼胶层,阻尼约束层供料设备被配置成提供阻尼约束层与阻尼胶层、防粘纸接触形成多层复合材料,压紧装置被配置成压紧多层复合材料形成多层片材,牵引机被配置成牵引防粘纸、阻尼胶层和阻尼约束层形成的多层片材至裁剪装置,裁剪装置被配置成裁剪多层片材。该多层复合材料生产线能生产品质高的阻尼材料。

标签:
复合材料
四川 - 成都 来源:中冶有色网 2023-03-18
可修复宏观划痕的聚脲复合材料及其制备方法、应用

本发明公开了一种可修复宏观划痕的聚脲复合材料及其制备方法、应用。所述复合材料的制备原料包括按照重量份计:60~90份氨基封端的聚醚胺、8~18份二异氰酸酯、1~70份氮化硼纳米片、3~13份交联剂和0.1~5份具有光热转化效应的纳米粒子。所述制备方法包括:将氨基封端的聚醚胺、二异氰酸酯、交联剂和具有光热转化效应的纳米粒子与四氢呋喃溶液混合,得到预聚物;将预聚物干燥后粉磨,得到粉磨颗粒体;利用氮化硼纳米片对所述粉磨颗粒体进行包覆,然后利用红外光照或热压处理,得到复合材料。所述应用包括上述复合材料修复宏观划痕的应用和作为3D打印耗材的应用。本发明的有益效果包括:方法简便、产品性能优异。

标签:
复合材料
四川 - 成都 来源:中冶有色网 2023-03-18
复合材料变形翼的计算设计方法

本发明公开一种复合材料变形翼的计算设计方法、概念以及不同飞机叶片转速下有小角度铺层自适应变扭角复合材料叶片。本发明利用多尺度复合材料力学研究有小角度铺层的叶片在离心力作用下的扭转和拉伸的耦合关系,提出了新的混合定理和层合理论,再结合有限元法得到叶片的扭转变形,并采用神经网络来建立交叉学科之间的联系。复合材料变形翼可以广泛的应用在商业和军用直升飞机机翼以及飞机发动机风扇叶片上。新型叶片随着转速不同而自适应的改变叶片的扭角,从而有效改进了叶片在变工况下的空气动力学性能,改善了固定扭角直升飞机叶片在变工况下扭角不能改变而造成的空气动力学性能不够好的问题,提高飞行器变工况的机动性。

标签:
复合材料
四川 - 成都 来源:中冶有色网 2023-03-18
油管内衬用耐磨隔热高分子复合材料的制备方法

本发明公开了一种油管内衬用耐磨隔热高分子复合材料的制备方法,具体包括以下步骤:步骤S1:碳纤维CFN的制备;步骤S2:复合填料CFN‑10SNS的制备;步骤S3:复合填料C[CFN‑10SNS]的制备;步骤S4:UHMWPE复合材料的制备,完成制备。本发明制备的复合材料能够用于有杆抽油的系统中杆管偏磨场合,并且具备一定保温的作用。本发明制备的复合材料能够减防止石油在开采过程中的结蜡,从而降低原油的生产成本。

标签:
复合材料
四川 - 成都 来源:中冶有色网 2023-03-18
制作具有亚敏特性复合材料的合成工艺

本发明公开了制作具有亚敏特性复合材料的合成工艺,将金属纳米材料及半导体陶瓷纳米材料与高分子基体材料进行均匀共混,制成匀质的高分子纳米复合材料,各组分的重量份数分别为:金属纳米材料30~50份,半导体陶瓷纳米材料15~40份,高分子基体材料55~85份;采用该工艺方法而制备出一种具有亚敏特性的复合材料,采用此复合材料可以制作出具有高性能、高精度特性的压敏元件。

标签:
复合材料
四川 - 成都 来源:中冶有色网 2023-03-18
Al2O3改性多壁碳纳米管/环氧树脂复合材料及其制备方法

本发明公开了一种Al2O3改性多壁碳纳米管/环氧树脂复合材料,其制备方法包括以下步骤:(1)酸化多壁碳纳米管;(2)称取酸化后多壁碳纳米管与去离子水超声分散15min,40℃,500r/min搅拌30min后添加硫酸铝,用NaOH调节溶液pH为8.5-9.5,200r/min搅拌6h,放置12h,烘干,洗涤至中性,500℃煅烧2h,得Al2O3-MWCNTs;(3)用KH560改性Al2O3-MWCNTs;(4)将改性的Al2O3-MWCNTs与环氧树脂混合制备Al2O3-MWCNTs//环氧树脂。该制备方法简单,制备得的复合材料的抗渗透性能、阻抗性能、耐磨性能显著提高。

标签:
复合材料
四川 - 成都 来源:中冶有色网 2023-03-18
双螺杆连续挤出超高分子量聚乙烯复合材料的方法

双螺杆连续挤出超高分子量聚乙烯复合材料的方法,其特点是将分子量为150万~350万的聚乙烯100份,流动改性剂10~30份,填充增强剂10~20份,偶联剂0.2~5份,润滑剂0.1~5份,成核剂0.1~1份和阻燃剂0.1~10份加入高速混合机内,于温度100~120℃混炼20~30分钟,制得超高分子量聚乙烯复合粒(粉)料,再将上述复合料加入啮合型同向旋转双螺杆挤出机内连续成型,成型机筒温度为200~250℃,然后进入型材机头,再经成型辅机定型、冷却、牵引、切割装置等常规辅机处理,获得超高分子量聚乙烯复合材料产品。

标签:
复合材料
四川 - 成都 来源:中冶有色网 2023-03-18
复合材料气味分解剂、无异味人造板及其制备方法

本发明涉及人造板材技术领域,公开了一种复合材料气味分解剂、无异味人造板及其制备方法,所述复合材料气味分解剂包括异丙醇、柠檬酸、氯化钙、椰油醇硫酸钠、聚乙烯吡咯烷酮、芳枸叶萃取物、过硫酸钠以及硫酸亚铁;所述无异味人造板制备方法包括如下步骤:S1将权利要求1所述的复合材料气味分解剂与纯水混合,制备人造板除味混合液S2将人造板进行烤制;S3将S2处理后的人造板进行浸渍;S4重复多次步骤S2和步骤S3,静置堆放,得到无异味人造板。通过复合材料气味分解剂中各组分共同作用,能够快速捕捉、氧化分解人造板产生的苯乙烯、二苯并呋喃、己醛等异味。

标签:
复合材料
四川 - 成都 来源:中冶有色网 2023-03-18
超疏水海绵状三维导电复合材料及其制备方法和应用

本发明属于柔性电子材料领域,具体涉及一种超疏水海绵状三维导电复合材料及其制备方法和应用。本发明提供的超疏水海绵状三维导电复合材料,以聚二甲基硅氧烷/羰基铁粉为骨架,在聚二甲基硅氧烷/羰基铁粉的多孔海绵骨架上制备包含SEBS和AgNPs的超疏水导电层。由于三维多孔结构、羰基铁粉以及高导电性AgNPs的共同作用,使得该复合材料还具有优异的电磁屏蔽干扰效能;超疏水导电层赋予了优异的抗酸碱腐蚀性能。本发明的三维多孔复合材料集传感、超疏水表面、高稳定性以及电磁干扰屏蔽等功能于一体,且制备工艺简单;实现材料的多功能化并提高了适用性,拓宽了其应用环境和领域。

标签:
复合材料
四川 - 成都 来源:中冶有色网 2023-03-18
聚四氟复合材料在除臭效果评价装置上的应用

本发明属于高分子材料应用领域,具体涉及聚四氟复合材料在除臭效果评价装置上的应用。具体技术方案为:聚四氟复合材料包括以下成分,聚四氟乙烯、SiO2、CaSiO3、Na2SiO3,所述聚四氟复合材料在输送有机硫化物的管道及配件、储存和反应有机硫化物的容器及配件的应用。可以大大地降低这些设备或配件本身对有机硫的吸附作用,尤其是聚四氟复合材料应用在除臭效果评价装置上,大幅地提高了装置的评价精度,能够更准确地反应除臭溶剂对有机硫的脱除效果。

标签:
复合材料
四川 - 成都 来源:中冶有色网 2023-03-18
单分子膨胀型阻燃剂MPPR及MPPR/POSS复合协效无卤阻燃聚丙烯复合材料

本发明提供一种单分子膨胀型阻燃剂MPPR及MPPR/POSS复合协效无卤阻燃聚丙烯复合材料,具体而言,为单分子膨胀型阻燃剂MPPR及其制备方法,包括单分子膨胀型阻燃剂MPPR的MPPR阻燃聚丙烯复合材料及其制备方法、以及MPPR/POSS复合协效无卤阻燃聚丙烯复合材料及其制备方法。其中所述单分子膨胀型阻燃剂MPPR,其原料组分包括植酸、多元醇、三聚氰胺,且植酸、多元醇、三聚氰胺摩尔比为1:(2.4~2.6):(1.9~2.1),其制备方法是植酸先与多元醇搅拌反应后再加入三聚氰胺进行反应。制备所得阻燃聚丙烯复合材料阻燃效率高,力学强度高,可满足阻燃PP在高强度高模量应用场合的要求。

标签:
复合材料
四川 - 成都 来源:中冶有色网 2023-03-18
复合材料夹芯板抗压极限载荷计算方法

本发明公开了一种复合材料夹芯板抗压极限载荷计算方法,其包括以下步骤:获取试验材料的层合结构和材料参数、计算子板的弯曲刚度、整个试验材料的中性轴总弯曲刚度和等效中间夹芯层板的弯曲刚度、计算试验材料的整体屈曲承载力Pcr和皱曲承载力Pwr、将皱曲承载力Pwr和整体屈曲承载力Pcr之间的最小值作为侧向受压承载力极限、根据侧向受压承载力极限对应的计算公式,计算出实际工程中使用的复合材料夹芯板中各结构尺寸的最优值。本发明通过定量分析得到复合材料夹芯板抗压极限荷载,定性分析来确定满足实际使用要求各尺寸的最优值,避免了凭经验主观选取复合材料夹芯板物理尺寸与材料带来的不利影响,从而使结构设计更加安全可靠。

标签:
复合材料
四川 - 成都 来源:中冶有色网 2023-03-18
复合材料制备方法
复合材料制备方法 738     
 0

本发明公开一种复合材料制备方法,采用基材层材质的粉料包裹金刚石颗粒得到金刚石复合粒;将金刚石复合粒有序排布在基材层的表面上;采用压制模具将金刚石复合粒压入基材层的表面内,得到半成品一;对半成品一进行烧结,得到半成品二;对半成品二进行磨削处理,使金刚石颗粒露出并且金刚石颗粒与基材层组合构成平整表面,得到成品的复合材料。本发明使复合材料中的金刚石颗粒有序排布,提高导热均匀性,金刚石颗粒裸露在复合材料表面,金刚石颗粒能有效的与发热器件接触,提高导热性能,加工方便、效率高、成本低。

标签:
复合材料
四川 - 成都 来源:中冶有色网 2023-03-18
具有高电致变色性能的碳化钛-聚苯胺复合材料及其制备方法

本发明提供了一种具有高电致变色性能的碳化钛‑聚苯胺复合材料及其制备方法,属于电致变色技术领域。聚苯胺颗粒由于静电吸附作用可复合在碳化钛表面,形成的聚苯胺颗粒与碳化钛复合材料的多孔结构,以及碳化钛基底的导电性进一步提升了聚苯胺的电致变色性能(比如:光学对比度、循环稳定性等)。将具有导电性的片状碳化钛与颗粒状聚苯胺进行复合,该设计有效提高了聚苯胺的光学对比度,提升了本复合材料电致变色的循环稳定性,使得所制备的复合材料电致变色性能提高。

标签:
复合材料
四川 - 成都 来源:中冶有色网 2023-03-18
二维纳米材料碳化钛负载纳米零价铁复合材料及制法应用

本发明公开了一种二维纳米材料碳化钛负载纳米零价铁复合材料及制备方法和应用,解决现有技术中纳米零价铁本身易团聚易流失的问题。本发明的一种二维纳米材料碳化钛负载纳米零价铁复合材料,以二维纳米材料碳化钛为载体,负载纳米零价铁,所述复合材料以质量百分比计,包括碳化钛63~67%,纳米零价铁33~37%。本发明的复合材料能高效、快速去除水体中的重金属离子,反应速率和反应活性均高于MXene或纳米零价铁本身。

标签:
复合材料
四川 - 成都 来源:中冶有色网 2023-03-18
金属氧化物/碳复合材料的制备方法及应用

本发明公开一种金属氧化物/碳复合材料的制备方法及应用,属于无机纳米材料制备技术领域。本发明采用盐酸多巴胺为碳源,利用碳酸铵或碳酸氢铵溶液作为金属盐沉淀剂,同时碳酸铵或碳酸氢铵溶液提供的碱性环境诱导多巴胺聚合反应,形成金属碳酸盐/聚多巴胺复合材料,最后经过高温热处理一方面使金属碳酸盐分解得到金属氧化物,另一方面使聚多巴胺在高温下碳化,最终获得金属氧化物/碳复合材料。本发明方法操作简单,具有良好的可控性和重复性,可实现大规模生产,制得的金属氧化物/碳复合材料可应用于储能、催化、传感、吸附等领域。

标签:
复合材料
四川 - 成都 来源:中冶有色网 2023-03-18
用于塑料母料中的高分散硫酸钡复合材料的制备方法

本发明公开了一种用于塑料母料中的高分散硫酸钡复合材料的制备方法,包括以下步骤:a、用低浓度的硫酸钛溶液对硫酸钡进行浸渍;b、将浸渍后的硫酸钡、分散剂与尿素溶液混合搅拌,逐滴加入高浓度的硫酸钛溶液,反应制得纳米BaSO4/TiO2复合粉体;c、将复合粉体、去杂质水及羧基聚丁二烯球磨得到浆料;d、将浆料压滤和烘干,制得羧基聚丁二烯包覆BaSO4/TiO2的复合材料。本发明利用纳米二氧化钛良好的分散性和耐候性,制得的BaSO4/TiO2复合粉体粒度较小,粒径分布均匀,并且具有优异的抗紫外能力,有效改善了复合材料在非极性溶剂中的分散性,制得的复合材料具有良好的分散性和晶貌形态,用于塑料母料中具有良好的分散性能和加工性能。

标签:
复合材料
四川 - 成都 来源:中冶有色网 2023-03-18
多功能中子流屏蔽复合材料的制备方法

本发明公开了一种多功能中子流屏蔽复合材料的制备方法,中子流在这种氮化硼与硫酸钡交替层状分布的多功能中子流屏蔽复合材料中,经聚合物基体的散射耗散一部分中子,氮化硼层层界面间多次散射、吸收,由此实现屏中子流蔽效率的大幅度提高;中子流引发的次级放射在硫酸钡层层界面间多次散射、衰减,最终以热量的形式耗散,基于此实现中子流屏蔽复合材料屏蔽中子流次级放射的功能。另外,硫酸钡的加入对中子流有一定的慢化作用,即是增强了中子流的康普顿散射效应,也就是增加了中子流能量的耗散途径。因此,中子流的屏蔽效率也会得到提高。通过本发明方法制备的多功能中子流屏蔽复合材料层数、层厚可控,配方可调,防护效率高,力学性能优良,生产方法简单、性能稳定、易于大规模生产。

标签:
复合材料
四川 - 成都 来源:中冶有色网 2023-03-18
高韧聚乳酸基复合材料的制备方法

本发明公开了一种高韧聚乳酸基复合材料的制备方法,其步骤是:将聚乳酸和碳纳米管按100 : 5‑20的质量比,通过双螺杆挤出机制得聚乳酸/碳纳米管复合材料,烘干后作为母料;挤出温度为160‑220℃,转速为100‑250rpm。将母料与聚乳酸、乙烯‑醋酸乙烯共聚物、过氧化二异丙苯按1‑50 : 15‑94 : 5‑35 : 0.1‑1的质量比,通过双螺杆挤出机在温度为160‑220℃,转速为100‑250rpm的条件下挤出,即得。该方法制得的聚乳酸基复合材料缺口冲击强度高,拉伸强度较好,属于高韧聚乳酸基复合材料。

标签:
复合材料
四川 - 成都 来源:中冶有色网 2023-03-18
制备碳系三元网络复合材料的方法

本发明提供了一种制备碳系三元网络复合材料的方法,属于材料科学技术领域。其做法是先对碳纤维进行纯化处理,然后在其上原位负载用于生长碳纳米管的催化剂,接着用化学气相沉积法原位生长碳纳米管,使得碳纳米管穿插在纯化碳纤维表面,形成具有真实连接点的碳系二元复合材料;最后通过原位复合氧化石墨烯,再高温还原成石墨烯,得到碳系三元通过真实连接点复合起来的网络复合材料。通过这种方法得到的碳系三元网络复合材料由于材料之前具有真实的连接点,因此电学性能与力学性能得到较大提高,且由于是原位制备,因此能充分发挥三者各自特有性能。制备过程实验设备及操作简单,适合批量生产。

标签:
复合材料
四川 - 成都 来源:中冶有色网 2023-03-18
上一页 505 506 507 508 509 ... 719 下一页
共719页    到第

中冶有色为您提供最新的四川成都有色金属理论与应用信息,涵盖发明专利、权利要求、说明书、技术领域、背景技术、实用新型内容及具体实施方式等有色技术内容。打造最具专业性的有色金属技术理论与应用平台!

全国热门有色金属设备推荐
展开更多 +
全国热门有色金属技术推荐
展开更多 +

 

江西省隆恩特环保设备有限公司
宣传

报名参会
更多+

报告下载

有色专家
更多+

郑州大学
副院长/教授
中南大学
副校长
中南大学
常务副校长
矿冶科技集团有限公司
所长/研究员级高工
江西理工大学
副处长/教授
赤泥综合利用研究报告2025
推广

热门技术
更多+

推荐企业
更多+

福建省金龙稀土股份有限公司
宣传

发布

在线客服

公众号

电话

顶部
咨询电话:
010-88793500-807