青岛垚鑫智能科技有限公司
宣传

位置:中冶有色 >

有色技术频道 >

> 加工技术

分类:
全部
矿山技术
冶金技术
材料制备及加工技术
环境保护技术
分析检测技术
 
全部
功能材料技术
复合材料技术
新能源材料技术
合金材料技术
加工技术
地区:
全部
北京
天津
上海
重庆
河北
山西
辽宁
吉林
黑龙江
江苏
浙江
安徽
福建
江西
山东
河南
湖北
湖南
广东
海南
四川
贵州
云南
陕西
甘肃
青海
内蒙
广西
西藏
宁夏
新疆
其他
其他
展开
 
全部

有色金属加工技术理论与应用

免费发布技术信息>>
安全环保型罩面清漆及其制备方法

本发明涉及一种安全环保型罩面清漆及其制备方法,罩面清漆包括以下组分及重量份含量:硅丙乳液300?400份、复合无机粘结剂80?120份、杀菌剂2?4份、防冻剂8?12份、润湿剂0.8?1.2份、成膜助剂17?23份、分散剂2?4份、消泡剂0.8?1.2份、防霉剂1.7?2.3份、增稠剂10?14份及水530?570份,复合无机粘结剂包括以下组分及重量份含量:硅酸锂水溶液40?80份、硅溶胶40?80份;制备时,将各组分混合后搅拌均匀即可。与现有技术相比,本发明通过在罩面清漆中加入由硅酸锂水溶液和硅溶胶复配而成的复合无机粘结剂,大大提高了罩面清漆的耐粘污性能及施工性能,且制备方法简单,工艺条件温和,安全环保。

标签:
加工技术
上海 - 上海 来源:中冶有色网 2023-03-18
智能轮廓标及其信息采集控制系统

本发明公开了一种智能轮廓标及其信息采集控制系统,分为轮廓标主机及若干个轮廓标从机,主机包括固定支架、立杆、太阳能膜板以及灯光模组,灯光模组包括外壳、定位模块、LED同步闪烁及温湿度检测的主控板、锂电池、LED灯板和面罩,从机包括梯形固定支架、太阳能膜板和灯光闪烁模组,灯光闪烁模组包括锂电池、定位模块、LED控制板、带LED灯透镜的壳体以及贴附在壳体表面的梯形反光膜片,基于GPRS通讯网络自动采集智能轮廓标安装位置、环境温湿度信息并上传至交通管理智能管控云平台和APP端,与车辆导航平台对接实现轮廓标阴雨天气感知发光警示,引导车辆减速避让,降低交通事故发生概率,提高行车安全性。

标签:
加工技术
江苏 - 南京 来源:中冶有色网 2023-03-18
二氟乙醛缩半乙醇的合成方法

本发明公开了一种二氟乙醛缩半乙醇的合成方法,利用廉价易得的二氟乙酸乙酯作为原料,以四氢呋喃作为反应溶剂,以氢化铝锂作为还原剂,在‑60℃~‑78℃和氩气气氛下,将二氟乙酸乙酯还原为二氟乙醛缩半乙醇;其中,二氟乙酸乙酯与氢化铝锂的摩尔比为1:(0.34~0.36)。本发明以高产率、高纯度、低成本的方式合成了昂贵且实用的二氟乙醛缩半乙醇,为二氟乙醛缩半乙醇的工业化生产提供了一种更为简单高效的途径。

标签:
加工技术
上海 - 上海 来源:中冶有色网 2023-03-18
易烧结石榴石型固态电解质及其制备方法

本发明公开了一种易烧结石榴石型固态电解质及其制备方法。所述的石榴石型固态电解质的化学通式为Li7‑yLa3Zr2‑yTay−xNbxO12,其中,0.35≤x≤0.5,0.4≤y≤0.65,且1.3x≥y>x。所述石榴石型固态电解质具有易烧结的特性,在常压烧结条件下可以得到烧结致密的陶瓷材料(致密度不低于93%),在室温下具有优异的锂离子电导率(≥1 mS/cm)。所述易烧结石榴石电解质及其制备方法适用于大面积高离子导率石榴石电解质片的制备,应用于固态锂电池储能领域。

标签:
加工技术
江苏 - 镇江 来源:中冶有色网 2023-03-18
阳离子型稀土-有机框架的制备方法及其在对重铬酸根与氨进行荧光检测中的应用

阳离子型稀土‑有机框架材料的制备方法,包括:将配体H2bcbp·2Cl、高氯酸锂和硝酸铕加入由去离子水和乙腈组成的混合液中,混合均匀后于反应釜中加热反应一段时间,得到黄色菱形透明晶体,清洗,过滤,晾干,得到阳离子型稀土‑有机框架材料。本发明的阳离子型稀土‑有机框架材料是一类具有三维412.63拓扑结构的新型三维金属‑有机框架,具有良好的稳定性,可在空气中长期存放。本发明的合成方法简单快捷,成本低,产率高,可重复性高,易于量产和普及使用。本发明的一种阳离子型稀土‑有机框架材料在可见光‑红外区具有很强的荧光发射,适用于对环境中的重铬酸根和氨分子进行荧光检测。

标签:
加工技术
江苏 - 徐州 来源:中冶有色网 2023-03-18
钠、硫杂质含量低的富镍大粒径三元前驱体的制备方法

本发明属于锂离子电池材料技术领域,具体涉及一种钠、硫杂质含量低的富镍大粒径三元前驱体的制备方法。本发明通过控制pH降低速率及pH降低幅度来切换成核及晶体生长阶段,在成核阶段形成细小颗粒的疏松团聚体。将pH值降低至目标范围后,前驱体开始转换为晶体生长阶段,后续新生成的沉淀物将在原有的二次颗粒上生长。共沉淀得到的前驱体,存在从颗粒表面至内核径向的裂纹,在洗涤过程中为杂质离子的去除提供了通道,使得颗粒内部的Na+及SO42‑得以有效去除。在陈化过程中,将上层清夜与洗涤后的前驱体混合,通入碱液进行陈化反应,前驱体表面颗粒裂纹得到修复。该前驱体经混锂烧结成正极材料后,无开裂现象。

标签:
加工技术
湖南 - 长沙 来源:中冶有色网 2023-03-18
可检测交通的多功能智能交通路灯

本发明涉及一种交通路灯,尤其涉及一种可检测交通的多功能智能交通路灯。本发明提供一种能够在断电情况下自发供电,便于人们对电子产品进行充电,且能够对道路的交通进行检测的可检测交通的多功能智能交通路灯。本发明提供了这样一种可检测交通的多功能智能交通路灯,包括:底座,底座顶部中心位置设置有灯杆;锂电池,所述灯杆上侧内部一侧设置有所述锂电池;路灯,所述灯杆顶端设置有所述路灯;转动组件,所述灯杆上部设置有所述转动组件。工作人员通过按压启动按键,在第一齿轮转动与齿盘啮合的作用下,进而实现了支撑架转动180°带动交通检测装置转动180°,从而改变了交通检测装置对道路的交通进行检测的角度。

标签:
加工技术
江西 - 南昌 来源:中冶有色网 2023-03-18
固体电解质包覆石墨复合材料的制备方法

本发明属于二次电池负极材料领域,具体涉及一种固体电解质包覆石墨复合材料的制备方法。该方法制备的固体电解质包覆石墨复合材料为核壳结构,内核为石墨,外壳为第一外壳和第二外壳组成的双层结构,第一外壳、第二外壳由内向外依次设置;第一外壳由固体电解质、有机锂化合物和无定形碳组成,固体电解质、有机锂化合物和无定形碳的质量比为(50~80):(5~15):(1~5);第二外壳为无定形碳;内核、第一外壳、第二外壳的厚度比为:100:(1~10):(0.5~2)。该固体电解质包覆石墨复合材料与软碳包覆石墨复合材料相比,具有安全性能高、首次效率高、倍率性能佳、循环性能优异等特性。

标签:
加工技术
河南 - 洛阳 来源:中冶有色网 2023-03-18
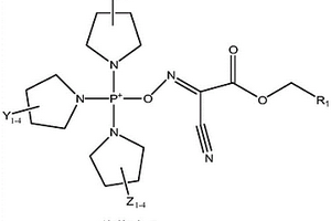
电解液及电池
电解液及电池 998     
 0

为克服现有锂离子电池存在高温循环性能不足的问题,本发明提供了一种电解液,包括溶剂、锂盐、添加剂A,所述添加剂A包括阴离子以及如结构式1所示的阳离子:其中,R1、X1‑4,Y1‑4,Z1‑4各自独立地选自氢、氰基、亚硝基、醛基、酰基、卤素、以及取代或未取代的碳原子数1~8的烃基、取代或未取代的碳原子数6~12的芳香基;所述阴离子为含磷、硼或铝的酸根离子。同时,本发明还公开了包括上述电解液的电池。本发明提供的电解液能够有效提高电池在高温条件下的电化学性能。

标签:
加工技术
江苏 - 苏州 来源:中冶有色网 2023-03-18
抗冻锌基电池用凝胶电解质的制备及应用

一种适用于‑20℃的锌基电池的凝胶电解质及其制备和应用。本发明公开了一种用于锌基电池的抗冻凝胶电解质的制备方法,本发明目的是通过锌盐和锂盐的协同水化作用,降低海藻酸钠‑聚丙烯酰胺为基体的凝胶电解质的冻结温度。浸入锌盐和锂盐的抗冻水凝胶作为电解质,显示出良好的抗冻性和机械性能,具有优异的低温耐受性和循环稳定性。本发明在于克服现有电解质在零度以下使用受限而无法正常工作,制备工艺繁琐,离子电导率低的问题。

标签:
加工技术
吉林 - 长春 来源:中冶有色网 2023-03-18
利用铁矾渣盐酸浸出液制备高性能磷酸铁/石墨烯复合负极材料的方法及应用

本发明公开了一种利用铁矾渣盐酸浸出液制备高性能磷酸铁/石墨烯复合负极材料的方法及应用。其制备方法包括以下步骤:(1)测定铁矾渣盐酸浸出液中全铁和氢离子的物质量浓度。(2)向铁矾渣盐酸浸出液中依次加入一定量的蒸馏水、氧化石墨烯、H2O2和Na3PO4·12H2O,反应后静置、过滤、洗涤、冷冻干燥获得前驱体。(3)将前驱体在氩气气氛下烧结获得磷酸铁/石墨烯复合负极材料。本发明方法使铁矾渣中的铁资源得到了充分利用,制得的磷酸铁/石墨烯复合材料作为锂离子电池负极材料具有较好的储锂性能,且该发明方法简单、成本低、产率高、制备条件易于控制,适用于大规模生产。

标签:
加工技术
广西 - 桂林 来源:中冶有色网 2023-03-18
基于RTC的单片机周期性唤醒系统

本发明希望通过对整个单片机的进行周期性唤醒,以此实现精准的时间控制和低功耗运行;包括锂电池,RTC,电源管理芯片,单片机;所述锂电池分别与所述RTC,电源管理芯片,单片机电性连接;所述RTC与所述电源管理芯片电性连接;所述电源管理芯片与所述单片机电性连接;本发明的有益效果为:实现终端设备的低功耗,精准控制设备的上电与下电,满足法规规定的OBD信息定时发送。

标签:
加工技术
江苏 - 无锡 来源:中冶有色网 2023-03-18
双金属磷化物镶嵌的碳中空纳米笼及其制备方法和应用

本发明属于锂硫电池技术领域,尤其涉及一种双金属磷化物镶嵌的碳中空纳米笼及其制备方法和应用,包括以下步骤:将镍钴普鲁士蓝衍生物分散在液体媒介中,制备分散液,将盐酸多巴胺加至所述分散液中,制得聚多巴胺包裹的镍钴普鲁士蓝;聚多巴胺包裹的镍钴普鲁士蓝衍生物煅烧处理,制备镍钴双金属颗粒镶嵌的碳中空纳米笼;以磷化氢为磷化剂,将双金属颗粒镶嵌的碳中空纳米笼一步磷化,制备双金属磷化物镶嵌的碳中空纳米笼;将双金属磷化物镶嵌的碳中空纳米笼、炭黑和聚偏氟乙烯制备分散液,之后将所述分散液涂敷在聚丙烯隔膜上,干燥后,制得多功能隔膜;本发明显著的提升了锂硫电池的综合性能。

标签:
加工技术
江西 - 南昌 来源:中冶有色网 2023-03-18
氧化亚钴分级介孔纳米球@二氧化钛@碳复合材料及其制备和应用

本发明公开了一种氧化亚钴分级介孔纳米球@二氧化钛@碳复合材料,氧化亚钴分级介孔纳米球由CoO纳米晶组装而成,氧化亚钴分级介孔纳米球的表面依次包覆有由TiO2纳米晶组成的TiO2包覆层和非晶态碳层。本发明还公开了所述氧化亚钴分级介孔纳米球@二氧化钛@碳复合材料的制备方法:首先合成Co甘油球,然后通过碳化和氧化形成CoO分级介孔纳米球,之后在其表面包覆一层TiO2和一层RF树脂,碳化煅烧后获得最终产物。本发明可提高CoO的电化学活性和结构稳定性,使其具有高的放电比容量和良好的循环性能、倍率性能。CoO分级介孔纳米球@TiO2@C复合材料作为锂离子电池负极材料具有重要的应用价值。

标签:
加工技术
浙江 - 杭州 来源:中冶有色网 2023-03-18
利用硅废料和含钛渣制备钛硅合金负极材料的方法

本发明涉及利用硅废料和含钛渣制备钛硅合金负极材料的方法,属于电极材料的制备技术领域。本发明解决的技术问题是提供一种低成本的利用硅废料和含钛渣制备钛硅合金负极材料的方法,该方法包括如下步骤:将含钛渣和硅废料混匀后,于保护气氛或者真空环境中煅烧,煅烧温度为1200~1600℃,煅烧时间为0.5~20h;煅烧后凝固至室温,然后切割分离,粉碎,即得。本发明首次提出耦合利用含钛渣和硅废料两种工业废弃物合成硅钛合金用于锂离子电池硅负极材料,从而实现“变废为宝”,既为钢铁和光伏行业废弃物的高值化利用提供了指导,又为TixSiy锂离子电池负极材料的规模化生产和商业化应用提供了崭新的思路。

标签:
加工技术
四川 - 成都 来源:中冶有色网 2023-03-18
基于声表面波芯片阵列的微液滴操作系统

一种基于声表面波芯片阵列的微液滴操作系统,包括铌酸锂基底上设置的多个叉指换能器阵列单元,每个叉指换能器阵列单元包括在铌酸锂基底上方蒸镀的4个单独的叉指换能器阵列,叉指换能器阵列呈左右、前后对称设置,中间为中心反应池;叉指换能器阵列上方铺覆浸没有惰性载液,作为隔膜层,隔膜层上设有液滴,叉指换能器阵列通过电极电路和信号控制电路连接;信号控制电路包括信号发生模块,信号发生模块产生正弦波信号,经并行处理电路输出四路频率幅值可调的信号,功率放大模块将放大的四路信号作用于叉指换能器阵列实现液滴的驱动、混合和分裂;本发明实现液滴在隔膜层表面的自由移动,可重复性、集成性高,能够实现大规模应用。

标签:
加工技术
陕西 - 西安 来源:中冶有色网 2023-03-18
电池管理系统的SOC显示方法及装置

本发明提供了一种电池管理系统的SOC显示方法,所述的SOC显示方法包括以下步骤:微控制器对锂电池组的荷电状态实时进行估算,获得锂电池组的SOC估算值;根据该SOC估算值,转换获得对应的电流值,并经过信号隔离芯片U2后控制数模转换电路输出与该电流值相应的电流;LCD显示装置检测到电流后,经过其内处理模块处理获得SOC值,并将该SOC值显示在其显示屏上。本发明还提供了一种电池管理系统的SOC显示装置。本发明能够对电池组进行SOC估算,以及实时指示动力电池组的SOC值并予以显示,抗干扰能力强,稳定性较高。

标签:
加工技术
湖南 - 长沙 来源:中冶有色网 2023-03-18
活性物质、电极、二次电池、电池组以及车辆

本发明涉及活性物质、电极、二次电池、电池组以及车辆。本发明提供能够实现可以显示优异的低温倍率性能和高能量密度的二次电池的活性物质、包含该活性物质的电极、具备该电极的二次电池、具备该二次电池的电池组,以及搭载有该电池组的车辆。根据一实施方式,提供活性物质。该活性物质包含以通式LixFe1‑yM1yNb11‑zM2zO29(1)表示、具有正交晶型的晶体结构的锂铌复合氧化物。通式(1)中,0≤x≤23,0≤y≤1和0<z≤6,M1和M2各自独立地包含选自Fe、Mg、Al、Cu、Mn、Co、Ni、Zn、Sn、Ti、Ta、V和Mo中的至少1种。

标签:
加工技术
其他 - 其他 来源:中冶有色网 2023-03-18
具有通孔结构的PVDF纳米纤维膜及其制备方法和应用

本发明属于纳米纤维膜技术领域,尤其涉及一种具有通孔结构的PVDF纳米纤维膜及其制备方法和应用。本发明具有通孔结构的PVDF纳米纤维膜的制备方法包括以下步骤:将PVDF溶于溶剂得到PVDF溶液后,将PVDF溶液进行静电纺丝,再在水介质中进行收集,得到具有通孔结构的PVDF纳米纤维膜;其中,溶剂为二甲基甲酰胺和丙酮的混合物,二甲基甲酰胺和丙酮的体积比为4:6。本发明将PVDF溶液进行静电纺丝,再在水介质中进行收集,通过静电纺丝和热致相分离对水介质中二甲基甲酰胺/丙酮溶剂体系的组合效应得到具有通孔结构的PVDF纳米纤维膜,得到的具有通孔结构的PVDF纳米纤维膜溶剂摄取量高,该具有通孔结构的PVDF纳米纤维膜应用于锂离子电池隔膜,锂离子电池放电容量高。

标签:
加工技术
广东 - 广州 来源:中冶有色网 2023-03-18
ROV硬件系统
ROV硬件系统 791     
 0

本发明实施例中公开了一种ROV硬件系统,该系统包括PC端、脐带缆以及ROV硬件,ROV硬件包括24V锂电池、控制仓以及被控制硬件,控制仓包括旋钮开关、继电器、电子开关等;被控制硬件包括推进器、探照灯以及水深传感器等;旋钮开关与24V锂电池及继电器连接,用于控制控制仓的通断电,并通过继电器控制电子开关,利用电子开关进行通断控制,防止大电流击穿旋钮开关。本发明提供的硬件系统具备更高的抗干扰性,结构简洁明了,各部分分工明确,通用性好,且便于后期维护,可广泛用于深海作业型ROV控制系统中,实现对水下机器人系统的灵活控制,使得水下机器人的运动更加稳定,提高水下机器人的控制精度,其稳定性好、可靠性高。

标签:
加工技术
湖北 - 鄂州 来源:中冶有色网 2023-03-18
电磁型高速鱼雷
电磁型高速鱼雷 1063     
 0

本发明一种电磁型高速鱼雷,它包括壳体、舱室、电磁螺旋桨、磁悬浮轴承、前、后端盖与口、瞄准仪器、高爆弹头、前、后升降翼、尾舵、内壳、定子、永磁铁转子、锂电池、充电器、变频器、电脑、电缆线、仪器仪表和电子开关,它是用锂电池作动力电源,是用电磁螺旋桨来推动鱼雷潜行的,它比现在的鱼雷更安全、更先进、速度更快、噪音更低、结构更简单、易加工、易制造、易维修、成本低、实用广,它能实现用电脑控制,从潜艇和水面舰艇发射,电磁螺旋桨高速推动鱼雷瞄准敌方,并摧毁潜艇和水面舰艇及港口设施的固定目标。它有巨大的商业开发价值,它是目前世界上首创的电磁型高速鱼雷。

标签:
加工技术
湖南 - 邵阳 来源:中冶有色网 2023-03-18
电解铜箔
电解铜箔 928     
 0

本公开涉及具有适合作为锂离子二次电池的集电体使用的特性的电解铜箔。该电解铜箔包括辊筒面及沉积面。该沉积面或该辊筒面的至少一者具有约0.03至约0.23范围内的均方根倾斜(RΔq)。以此方式,该铜箔具有良好的耐用性及可加工性,以及作为锂离子二次电池中的集电体的良好效能。

标签:
加工技术
其他 - 其他 来源:中冶有色网 2023-03-18
金属有机框架ZIF-7片状薄膜夹层材料的制备方法及应用

本发明为一种金属有机框架ZIF‑7片状薄膜夹层材料的制备方法及应用。该方法包括步骤如下:第一步:将碳基材料浸润到醋酸锌的乙醇溶液(第一溶液)中,在350‑500℃的条件下空烧热解后,再将其浸入到醋酸锌和六亚甲基四胺的水溶液(第二溶液)中,搅拌后,将体系在温度为50‑95℃下保温6‑8h,得到ZnO/C;第二步:将第一步制备的ZnO/C放入水热釜,将苯并咪唑放入釜底,两者不接触,然后将水热反应釜放置于烘箱中,在150‑200℃加热6‑18h,最终得到ZIF‑7/C。本发明得到的材料用于作为锂硫电池中正极与隔膜之间的夹层。本发明得到的薄膜夹层材料可以显著提高锂硫电池的比容量和循环稳定性。

标签:
加工技术
天津 - 天津 来源:中冶有色网 2023-03-18
电池内部实时产气量的测试装置及方法

本发明提供了一种电池内部实时产气量的测试装置及方法,属于锂电池安全技术领域。包括:防爆罐;充气部件包括导管,导管的一端连接有连接装置,导管的另一端与储气罐的出口连接,储气罐的入口通过管路与充气装置连接,导管连接有连接装置的一端伸入防爆罐内;距离测试装置设置于防爆罐内,用于测试电池厚度;触发装置设置于防爆罐底部,用于触发电池。本发明可以在不破坏电池壳体的情况下实现对电池内部产气量的测量,因此可以用来研究电池热失控演化期间的电池膨胀过程;可以实现电池因滥用造成电池发生热失控期间的产气量的在线测量,即可实现锂电池内部因副反应快速产气时,气体量的实时监测。

标签:
加工技术
北京 - 北京 来源:中冶有色网 2023-03-18
用于制备催化剂前体材料的方法

提供了用于由二卤基取代的类金属制备催化剂前体材料的方法。所述方法包含使由以下构成的第一溶液在第一反应区中混合:卤代烷烃、至少一种溶剂和选自二卤基取代的第14族类金属或有机锂试剂的第一组分。将所述第一溶液连续添加到第二反应区,并且将第二溶液连续添加到所述第二反应区。所述第二溶液包含至少一种溶剂和所述二卤基取代的第14族类金属或所述有机锂试剂的第二组分,所述第二组分与所述第一组分不同。将所述第一溶液和所述第二溶液在所述第二反应区中混合。

标签:
加工技术
其他 - 其他 来源:中冶有色网 2023-03-18
具有优异热稳定性的聚醚醚酮包线漆新材料

本发明公开了一种具有优异热稳定性的聚醚醚酮包线漆新材料,属于新材料领域,一种具有优异热稳定性的聚醚醚酮包线漆新材料,本方案可以实现在将反应物洗涤后将反应物放入承载底框内,随后闭合闭合框并控制伸缩转杆下降,在伸缩转杆下降后密封板随之闭合,然后控制伸缩转杆转动同时打开热气喷头吹出热气对承载底框内的反应物进行烘干,当伸缩转杆在转动时会将反应物表面的水分甩至吸水层上,并通过导热垫对热气喷头吹出的热量进行导入,使得吸水层上吸收的水液进行蒸发,同时会有部分水液会通过凹槽将吸水层上的水液导入储存框内与锂产生放热反应,随后输气管将锂释放的热量导入吸水层上,以此可进一步提高反应物的干燥效率。

标签:
加工技术
安徽 - 池州 来源:中冶有色网 2023-03-18
金属-有机框架材料基耐热阻燃膜的浆料及其制备方法和应用

本发明公开了一种金属‑有机框架材料基耐热阻燃膜的浆料及其制备方法和应用。金属‑有机框架材料基耐热阻燃膜的浆料的制备方法,包括如下步骤:将封装有磷酸盐阻燃剂的金属‑有机框架材料、有机交联剂和有机溶剂混合,在25℃~60℃条件下混匀,得到所述金属‑有机框架材料基耐热阻燃膜的浆料;封装有磷酸盐阻燃剂的金属‑有机框架材料与有机交联剂的质量比为(4~9.5):(0.5~6)。本发明所述浆料制备得到的膜具有耐热阻燃、电解液浸润性好的优点,可直接作为锂电池用隔膜,且作为锂电池用隔膜时具有优异的电化学稳定性,其组装的电池具备优异的电化学性能。

标签:
加工技术
广东 - 广州 来源:中冶有色网 2023-03-18
热仿真网格划分方法
热仿真网格划分方法 1149     
 0

本发明公开一种热仿真网格划分方法,将锂离子电池模组仿真模型划分为电池、连接片、流场以及构件;确定电池网格、连接片网格、连接片网格以及构件尺寸;根据确定的尺寸对锂离子电池模组通过软件进行网格划分,可以有效降低网格数量,提升仿真效率,为后期仿真结果的应用提供便利。

标签:
加工技术
北京 - 北京 来源:中冶有色网 2023-03-18
具有核壳结构的高电压三元正极材料及其制备方法

本发明提供了一种具有核壳结构的高电压三元正极材料及其制备方法,该高电压三元正极材料的化学式为LixNiaMnbCocMdO2,其中1.03<x≤1.3,0.50≤a≤0.65,0.30≤b≤0.45,0<c≤0.10,a+b+c=1,0≤d≤0.025,高电压三元正极材料包括内核和壳层;内核包括镍锰钴酸锂三元材料,镍、锰、钴的摩尔比为:(0.65~0.80):(0.05~0.60):(0.02~0.15);壳层包括镍锰酸锂二元材料,镍、锰的摩尔比为:(0.10~0.60):(0.60~0.90);其中,M为来源于内核和/或壳层的掺杂元素。本发明高电压三元正极材料能够在4.7V的超高电压下稳定工作,且具有超高的放电比容量和优异的倍率性能。

标签:
加工技术
湖南 - 长沙 来源:中冶有色网 2023-03-18
丁苯酞的纯化方法
丁苯酞的纯化方法 926     
 0

本申请公开一种丁苯酞的纯化方法,过程如下:(1)将丁苯酞粗品溶于有机溶剂中得到粗品溶液,向粗品溶液中添加氧化剂,将杂质邻羧基苯甲醛完全氧化成邻苯二甲酸;氧化剂包括但不限于臭氧、双氧水、高锰酸钾、二氧化锰、过氧乙酸、过氧化氢异丙苯;(2)向粗品溶液中添加碱性物质,将生成的邻苯二甲酸转化成可溶于水的盐,静置分液,将有机相用饱和氯化钠溶液洗涤洗涤,干燥,过滤;碱性物质包括但不限于三乙胺、NN‑二异丙基乙胺,NN‑二甲基乙二胺、N‑甲基吗啉、氨水、碳酸铵、碳酸氢铵,碳酸钠、碳酸氢钠、碳酸钾,碳酸氢钾、碳酸锂、氢氧化钠、氢氧化锂、氢氧化钾;(3)减压蒸馏,得到高纯度丁苯酞。

标签:
加工技术
河南 - 周口 来源:中冶有色网 2023-03-18
上一页 1989 1990 1991 1992 1993 ... 2000 ... 5000 ... 6681 下一页
共6681页    到第

中冶有色为您提供最新的有色金属加工技术理论与应用信息,涵盖发明专利、权利要求、说明书、技术领域、背景技术、实用新型内容及具体实施方式等有色技术内容。打造最具专业性的有色金属技术理论与应用平台!

全国热门有色金属设备推荐
展开更多 +
全国热门有色金属技术推荐
展开更多 +

 

江西省隆恩特环保设备有限公司
宣传

报名参会
更多+

报告下载

有色专家
更多+

武汉工程大学
教授
武汉理工大学
外籍院士/教授
矿冶科技集团有限公司工程公司
副总经理
西安建筑科技大学
院长/教授
云南锡业集团(控股)有限责任公司
副总经理
赤泥综合利用研究报告2025
推广

热门技术
更多+

推荐企业
更多+

福建省金龙稀土股份有限公司
宣传

发布

在线客服

公众号

电话

顶部
咨询电话:
010-88793500-807