青岛垚鑫智能科技有限公司
宣传

位置:北方有色 >

有色技术频道 >

> 加工技术

分类:
全部
矿山技术
冶金技术
材料制备及加工技术
环境保护技术
分析检测技术
 
全部
功能材料技术
复合材料技术
新能源材料技术
合金材料技术
加工技术
地区:
全部
北京
天津
上海
重庆
河北
山西
辽宁
吉林
黑龙江
江苏
浙江
安徽
福建
江西
山东
河南
湖北
湖南
广东
海南
四川
贵州
云南
陕西
甘肃
青海
内蒙
广西
西藏
宁夏
新疆
其他
其他
展开
 
全部
南京
无锡
徐州
常州
苏州
南通
连云港
淮安
盐城
扬州
镇江
泰州
宿迁

江苏常州有色金属加工技术理论与应用

免费发布技术信息>>
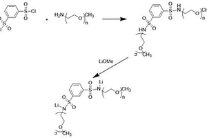
用于固体锂电池电解质的聚醚型锂砜酰胺的制备方法

本发明公开一种用于固体锂电池电解质的聚醚型锂砜酰胺的制备方法,它包括:砜酰胺的合成以及锂砜酰胺的合成。本发明设计合成了一种新型聚醚型锂砜酰胺(LSA),并将其作为PEO电解质的添加剂进行了表征。研究了LSA作为增塑剂,在该增塑剂的作用下,PEO‑LiTFSI电解质体系的离子电导率明显提高。此外,LSA是一种比聚乙二醇二甲醚(PEG)更好的增塑剂,可以更加有效的降低PEO‑LiTFSI电解质的结晶度。而且可以使整个电解质体系表现出更加良好的热稳定性,其电化学窗口可达4.2V。

标签:
加工技术
江苏 - 常州 来源:北方有色网 2023-03-18
锂硫电池正极材料及锂硫电池

提供一种锂硫电池正极材料、制备方法和包含该正极材料的锂硫电池。所述正极材料包括碳基体和硫;所述硫为小分子硫Sn,其中n=2‑4;所述硫含量占所述正极材料质量的50‑90%。本发明采用化学反应的方法在碳基体材料上原位生成小分子的S2‑4,活性物质均以小分子硫S2‑4的形式均匀分布在碳基体表面或孔径内部,可以提升了载硫量,同时小分子的S2‑4在充放电过程中的产物不溶于电解液,可以保持很好的循环容量稳定性,从而从根源上抑制了穿梭效应的,因此可以获得长循环寿命、更高能量密度的锂硫电池。

标签:
加工技术
江苏 - 常州 来源:北方有色网 2023-03-18
湿法锂电池隔膜萃取槽用吸水装置、锂电池隔膜萃取槽

本实用新型属于锂电池技术领域,具体涉及一种湿法锂电池隔膜萃取槽用吸水装置、锂电池隔膜萃取槽。其中本湿法锂电池隔膜萃取槽用吸水装置包括:支架、位于支架一端的吸水组件;以及所述支架的另一端可移动安装在湿法锂电池隔膜萃取槽的侧壁上,以调整吸水组件处于萃取液表面,吸除萃取液中水分,可以有效防止隔膜表面形成水印,提高了隔膜的表观性能。

标签:
加工技术
江苏 - 常州 来源:北方有色网 2023-03-18
锂锰扣式电池生产过程中使用的锂片冲压机

本实用新型涉及一种锂锰扣式电池生产过程中使用的锂片冲压机。其具有一个壳体,壳体内上侧为凸轮腔,凸轮腔内设置有由步进电机驱动的凸轮,凸轮腔下方为行程腔,行程腔内设置有冲压杆,冲压杆的顶端与凸轮相切贴合,冲压杆的底端设置有压头,在行程腔周围的壳体中设置有蜗形簧,蜗形簧的引出头铰接于冲压杆内。该锂片冲压机适用于锂锰扣式电池的自动化生产流水线上,调节好运作周期后即可自动进行生产过程中锂片的冲压工序,运作安全、高效。

标签:
加工技术
江苏 - 常州 来源:北方有色网 2023-03-18
扣式锂电池负极盖组件及包含该负极盖组件的扣式锂电池

本实用新型公开了扣式锂电池负极盖组件及包含该负极盖组件的扣式锂电池,其中扣式锂电池负极盖组件包括负极盖、负极片、密封圈,负极盖包括顶部和由顶部外周向下弯折形成的环形部,环形部处于密封圈中,环形部内侧与顶部内壁与靠近顶部内壁的环形部内侧壁之间形成供负极片置入的容置空间,密封圈的内圈壁处于容置空间的下方,负极片的外周贴近容置空间的内侧壁。本结构避免了密封圈内圈对负极片容置空间的占用,增大了负极盖组件的内容积,增加电液储存,负极片外径也可以增大设置,以达到提高电池性能的目的;同型号的扣式锂电池大电流放电性能提高5—30%。以CR2032电池为例,10mA连续放电至2.2V,放电时间提高2‑15%,CR2450电池30mA恒电流连续放电至2.2V,放电时间提高5‑35%。

标签:
加工技术
江苏 - 常州 来源:北方有色网 2023-03-18
无钴高镍正极材料及其制备方法、锂离子电池正极及锂离子电池

本发明提供了一种无钴高镍正极材料及其制备方法、锂离子电池正极及锂离子电池。该无钴高镍正极材料包括:无钴高镍基体材料和包覆于无钴高镍基体材料的包覆层,无钴高镍基体材料的化学式为LimNixMnyO2,其中,0.2≤m≤0.8,0.4≤x≤0.95,0.05≤y≤0.6,包覆层为TiBzO1‑z,0.2≤z≤0.8。通过包覆层TiBzO1‑z修饰得到的无钴高镍正极材料具有良好的耐酸性、耐磨性、高机械强度和优良的导电性,且将该无钴高镍正极材料用于锂离子电池时,极大地提高了锂离子电池的高温循环性能、容量和首效。

标签:
加工技术
江苏 - 常州 来源:北方有色网 2023-03-18
镍钴铝酸锂正极材料的制备方法

本发明涉及一种一次大颗粒的镍钴铝酸锂正极材料的制备方法,本发明在使用液相法制备出球形镍钴铝前驱体后使用三段法进行焙烧,在第二次焙烧中加入一定量的特定助熔剂混匀后高温焙烧,之后洗去助熔剂进行第三次焙烧,焙烧后的产物即为一次大颗粒镍钴铝酸锂。该种一次大颗粒镍钴铝酸锂材料具有较高的振实密度及压实密度,材料的热分解温度及高温循环及高电压下循环寿命都有较大提高,并且制成软包电池后气胀现象明显减弱。该工艺简单易行,可以进行大规模工业化生产。

标签:
加工技术
江苏 - 常州 来源:北方有色网 2023-03-18
用于锂离子电池的连接片和锂离子电池

本实用新型提供了用于锂离子电池的连接片和锂离子电池。所述连接片具有镂空区域。由此,在锂离子电池中连接片与极组通过激光焊接连接,在锂离子电池发生振荡、跌落或冲击时镂空区域的设计可以使得连接片具有一定的弹性变形,可以有效避免连接片与极组焊点的脱落,进而解决了锂离子电池非正常使用过程中内阻增大的问题,并提高连接片的可靠性,且同时镂空区域的设置还可以提高连接片的过流能力。

标签:
加工技术
江苏 - 常州 来源:北方有色网 2023-03-18
锂离子电池隔膜、锂离子电池以及动力装置

本发明提出了一种锂离子电池隔膜、锂离子电池以及动力装置,该锂离子电池隔膜包括基膜,所述基膜的至少部分表面设有无机涂层,所述无机涂层包括无机物,所述无机物分解可产生气体。由此,产生的气体使电芯内部压力增大,压力增大到一定程度时,可冲破压力阀或外包装,降低电芯内部的热量,减少热失控的发生,提高锂离子电池的过充能力,提高锂离子电池的安全性。

标签:
加工技术
江苏 - 常州 来源:北方有色网 2023-03-18
制备磷酸锰铁锂前体的方法和制备磷酸锰铁锂的方法

本发明涉及制备磷酸锰铁锂前体的方法和制备磷酸锰铁锂的方法。所述制备磷酸锰铁锂前体的方法包括以下步骤:(1)准备液料A和液料B,其中所述液料A为锰盐与铁盐的混合溶液,所述液料B为草酸或者磷酸溶液;(2)将液料A与液料B在超重力旋转床内进行共沉淀反应,得到第一浆料;(3)将所述第一浆料进行洗涤过滤,得到滤饼;(4)将所述滤饼和水混合,并加入碳源,搅拌均匀,得到第二浆料;(5)将所述第二浆料进行均质;(6)将均质后的第二浆料进行干燥处理,获得磷酸锰铁锂前体。通过本发明的方法制得的磷酸锰铁锂前体的粒径比使用反应釜的传统方法制得的前体更加细小且均匀,制备速度提升,碳包覆得更加均匀。

标签:
加工技术
江苏 - 常州 来源:北方有色网 2023-03-18
锂硫电池固态电解质膜、其制备方法及锂硫电池

本发明提供一种锂硫电池固态电解质膜,包括具有极性官能团的聚合物和能够催化和吸附多硫化物的无机粒子。还提供该固态电解质膜的制备方法及包含该固态电解质膜的锂硫电池。本发明的固态电解质膜中聚合物中的极性官能团能与能够催化和吸附多硫化物的无机粒子(PSCC)中的阳离子活性吸附,稳定电荷均匀分布同时帮助螯合PSCC阳离子,但是当多硫化物(PS)阴离子迁移扩散到电解质膜附近时,由于PSCC阳离子与PS阴离子间有较强的吸附‑催化‑转化作用力,可以同时抑制PS阴离子的迁移、提升PS阴离子转化和提升锂离子传输效率。

标签:
加工技术
江苏 - 常州 来源:北方有色网 2023-03-18
预锂化材料及其制备方法和锂电池

本发明公开了一种预锂化材料及其制备方法和锂电池,所述预锂化材料至少包括内核预锂化材料;其中,所述内核预锂化材料的通式为(LisM1t)(CuxM2y)(OaM3b),x+y=1,a+b=2;1<s≤2,0≤t≤1,0.5≤x≤1,0≤y≤0.5;0≤b≤2;0<t+y+b;其中M1为第一金属元素,包括碱金属元素、碱土金属元素的一种或多种混合;M2为第二金属元素,包括碱土金属元素、过渡金属元素的一种或多种混合;M3为F、S、N、Br、Cl的一种或多种混合。

标签:
加工技术
江苏 - 常州 来源:北方有色网 2023-03-18
电解液添加剂、锂离子电池电解液和锂离子电池

本发明属于锂离子电池技术领域,具体涉及一种电解液添加剂、锂离子电池电解液和锂离子电池。所述添加剂为4‑(N,N‑二甲氨基)苯基‑二‑叔丁基膦,结构式为:所述所述电解液包括锂离子导电盐、溶剂和所述的电解液添加剂。利用该电解液添加剂结构中的苯环和共轭结构,提高电荷转移速率,另外与苯环连接的膦基能与电极表面的游离氧发生反应,减少O2对电解液的分解,含氮基团能够与HF反应,减少HF对电极的腐蚀,进而提高锂离子电池电极材料的电化学性能。

标签:
加工技术
江苏 - 常州 来源:北方有色网 2023-03-18
锂电池膨胀空间的设计方法和设计锂电池膨胀空间的设备

本发明提供了一种锂电池膨胀空间的设计方法和设计锂电池膨胀空间的设备。该设计方法包括:建立压力和吸液极限值的测定模型;在恒定温度下,利用恒压装置对锂离子电池施加特定压力,并在设定的充放电倍率下采用充放电装置对锂离子电池进行充放电,测定特定压力对应的吸收电解液的吸液极限值;调节恒压装置的设定压力重复测试,并绘制压力和吸液极限值的第一对应关系曲线;在恒定温度下,在设定的充放电倍率下采用充放电装置对锂离子电池进行充放电,采用原位膨胀测试仪测定电芯厚度和所受压力,得到不同的膨胀率和压力的第二对应关系曲线;根据第一对应关系曲线和第二对应关系曲线,计算不同吸液极限值对应的膨胀率。用于指导电池预留膨胀空间。

标签:
加工技术
江苏 - 常州 来源:北方有色网 2023-03-18
锂离子储能器件电极原位补锂的方法和应用

本发明涉及一种锂离子储能器件电极原位补锂的方法和应用,通过将电极极片放置于蒸镀设备的真空腔体内,在真空条件下以蒸发锂源对电极极片承载电极活性物质的一侧表面进行真空蒸镀锂,形成蒸镀锂层;真空蒸镀结束后,在维持真空腔体内的压力≤1Pa的条件下,向真空腔体内通入高纯氮气,对所述蒸镀锂层进行氮化,在所述电极极片表面原位生成氮化锂;所述高纯氮气为纯度不低于99.999%的氮气。

标签:
加工技术
江苏 - 常州 来源:北方有色网 2023-03-18
用于锂锰扣式电池生产中的锂片冲压机

本实用新型涉及一种用于锂锰扣式电池生产中的锂片冲压机。其具有一个壳体,壳体内上侧为飞轮腔,飞轮腔内设置有由步进电机驱动的飞轮,飞轮腔下方为行程腔,行程腔内设置有冲压杆,冲压杆的顶端与飞轮曲杆连接,冲压杆的底端设置有压头,在行程腔周围的壳体上设置有滚珠或滚轴,行程腔中的冲压杆与其周围的滚珠或滚轴贴合。该锂片冲压机适用于扣式锂锰电池的自动化生产流水线上,调节好运作周期后即可自动进行生产过程中锂片的冲压工作,运作安全、高效。

标签:
加工技术
江苏 - 常州 来源:北方有色网 2023-03-18
利用回收锂制备磷酸铁锂正极材料的方法

本发明提供了一种利用回收锂制备磷酸铁锂正极材料的方法。该方法包括:步骤S1,采用草酸对废旧锂离子电池进行酸浸反应,得到酸浸后浆液,酸浸的温度为30~60℃;步骤S2,调节酸浸后浆液的pH值至9~13后进行固液分离,得到草酸锂溶液和固渣;步骤S3,对包含磷酸铁、碳源和草酸锂溶液的混合浆料进行喷雾造粒,得到前驱体;步骤S4,在氮气或惰性气体中,对前驱体进行烧结得到磷酸铁锂正极材料。本申请通过使用旧电池中回收的草酸锂作为锂源,直接将回收得到的草酸锂溶液与磷酸铁、碳源混合喷雾造粒,省却了球磨的过程,做到了锂的回收利用,大大降低了喷雾工艺的成本。

标签:
加工技术
江苏 - 常州 来源:北方有色网 2023-03-18
三明治结构预锂化负极及锂离子电池

本发明提供了一种三明治结构预锂化负极,包括负极集流体,所述的负极集流体的上方设置有负极活性层,所述的负极活性层的上方设置有三明治结构;所述的三明治结构包括一级保护层、含锂金属层、二级保护层,所述的含锂金属层位于所述的一级保护层与二级保护层之间,所述的二级保护层位于所述的一级保护层的上方,所述的一级保护层位于所述的负极活性层上。本发明所述的三明治结构预锂化负极在生产过程中以及储存中可以维持一个相对稳定的状态,在提升电池电化学性能的同时,也降低了极片转移和电池制备过程中的安全隐患,大大提高了电池的安全性能,以及负极预锂化的效果。

标签:
加工技术
江苏 - 常州 来源:北方有色网 2023-03-18
锂离子电池负极及其制备方法和锂离子电池

本发明涉及锂离子电池技术领域,具体而言,涉及一种锂离子电池负极及其制备方法和锂离子电池。本发明的一种锂离子电池负极包括负极片基材以及设置于所述负极片基材至少一侧表面的锂层;所述的负极片基材包括负极片集流体以及设置于所述负极片集流体至少一侧表面的负极材料层;所述负极材料层由包括导电剂、含有第一官能团的硅基材料和含有第二官能团的粘结剂的原料制备得到;表面修饰第一官能团包括氨基和/或羟基;所述第二官能团包括羧基。本发明的锂离子电池负极可有效抑制电池循环过程中的膨胀问题,改善锂离子电池的首次库伦效率,显著提升锂离子电池的循环性能。

标签:
加工技术
江苏 - 常州 来源:北方有色网 2023-03-18
改性镍钴锰铝酸锂正极材料、其制备方法及锂离子电池

本发明提供了一种改性镍钴锰铝酸锂正极材料、其制备方法及锂离子电池。上述制备方法包括:对镍钴锰铝酸锂正极材料和金属氧化物进行第一煅烧处理,得到金属氧化物@镍钴锰铝酸锂正极材料;对金属氧化物@镍钴锰铝酸锂正极材料、酚醛树脂和溶剂进行混合及干燥处理,得到酚醛树脂@金属氧化物@镍钴锰铝酸锂正极材料;在无氧条件下,对酚醛树脂@金属氧化物@镍钴锰铝酸锂正极材料进行第二煅烧处理,得到聚并苯@金属氧化物@镍钴锰铝酸锂正极材料,聚并苯@金属氧化物@镍钴锰铝酸锂正极材料即改性镍钴锰铝酸锂正极材料。金属氧化物包覆层和聚并苯包覆层能够提高镍钴锰铝酸锂正极材料的导电性和结构稳定性,有利于提高其电化学比容量和循环稳定性。

标签:
加工技术
江苏 - 常州 来源:北方有色网 2023-03-18
嵌锂普鲁士蓝、普鲁士蓝浆料、隔膜、锂电池及制备方法

本发明属于锂电池制造技术领域,具体涉及一种嵌锂普鲁士蓝、普鲁士蓝浆料、隔膜、锂电池及制备方法;其中,所述嵌锂普鲁士蓝的制备方法,包括以下步骤:锂金属电极与电源的正极相连;普鲁士蓝电极与电源的负极相连;所述锂金属电极与所述普鲁士蓝电极之间通过盐桥连接;通电,使所述锂金属电极中产生的锂离子进入到普鲁士蓝电极中的普鲁士蓝的内部形成嵌锂普鲁士蓝;将所述嵌锂普鲁士蓝涂覆于基膜的表面,制得一种具有良好电解液浸润性能的隔膜,以提高锂电池的循环使用寿命。

标签:
加工技术
江苏 - 常州 来源:北方有色网 2023-03-18
极片镀锂组件和极片镀锂装置及负极片

本实用新型提供了一种极片镀锂组件和极片镀锂装置及负极片,该极片镀锂组件用于向行进中极片的两个表面镀锂,极片镀锂组件包括冷却部和镀锂部;冷却部包括平行且间隔布置的两个冷却辊,两冷却辊能够被驱使地转动,两冷却辊能够被驱使地转动,且极片的两个表面先后绕设在两冷却辊上;镀锂部对应于各冷却辊设置,并用于向各冷却辊上的极片的表面喷涂金属锂。本实用新型所述的极片镀锂组件,通过极片的两个表面先后绕设在两冷却辊上,使得极片的两个表面分别外露于冷却辊,并通过对应于冷却辊设置的镀锂部,能够向极片的两个表面先后喷涂金属锂,从而能够提高对极片的镀锂效率,同时经由冷却辊对极片上的金属锂进行冷却,利于提高金属锂在极片上的喷涂效果。

标签:
加工技术
江苏 - 常州 来源:北方有色网 2023-03-18
锂电池阴极废液的处理方法

一种锂电池阴极废液的处理方法,包括用絮凝剂对锂电池阴极废液进行絮凝。其实施方案有三种:第一种,向阴极废液处理池中加入絮凝剂,搅拌均匀后静置12小时以上,得到上层清液和沉淀层,上层清液直接进污水处理;对沉淀层进行压滤;第二种,向第一种方法中获得的沉淀层加入硅藻土,得搅拌均匀的硅藻土泥浆,然后进行压滤;第三种,向加入絮凝剂的阴极废液中直接加入硅藻土,搅拌均匀后得硅藻土泥浆,然后对之进行压滤。得滤液和滤渣。采用这种分离方法,阴极废液的处理成本能降至1000元/吨以下,既节能又环保,极大减少处理成本,滤渣中贵金属和碳粉还能进行后续的回收利用。

标签:
加工技术
江苏 - 常州 来源:北方有色网 2023-03-18
锂硫电池正极、其制备方法及锂硫电池

本发明公开一种锂硫电池正极,包括集流体和正极材料,所述正极材料包括阳离子型粘接剂,所述阳离子型粘结剂玻璃化转变温度低于150℃。还公开了该锂硫电池正极的制备方法和包含该正极的锂硫电池。本发明的锂硫电池正极中硫通过毛细作用渗入碳材料的孔中实现现场载硫,一定程度上增加多硫化物迁移穿梭的路径与难度。采用阳离子型粘结剂可以提高电极对电解液浸润度,从而可以降低电池内阻,提高循环性能和充放电效率。另外,由于现场熔融制备的电极导电骨架在极片制备过程中已经能稳定存在,可以不需要额外导电剂的加入,提升活性材料的含量,提升厚电极制作的可能性。

标签:
加工技术
江苏 - 常州 来源:北方有色网 2023-03-18
掺杂铌酸锂前驱体及掺杂铌酸锂多晶料的制备方法

本发明属于无机材料制备领域,具体涉及一种掺杂铌酸锂前驱体及掺杂铌酸锂多晶料的制备方法,所述方法以氧化石墨烯溶液为分散剂,通过液相合成得到含有氧化石墨烯的掺杂铌酸锂前驱体,再高温煅烧除去氧化石墨烯,得到的掺杂铌酸锂多晶料高纯且混合均匀,且方法简单,适合工业化批量生产。

标签:
加工技术
江苏 - 常州 来源:北方有色网 2023-03-18
锂电池隔膜萃取干燥装置和锂电池隔膜生产线

本实用新型公开了一种锂电池隔膜萃取干燥装置和锂电池隔膜生产线。该锂电池隔膜萃取干燥装置包括:干燥箱体;加热辊,设于干燥箱体的内部,用于运输并干燥锂电池隔膜;加热辊包括第一加热辊和第二加热辊,第二加热辊位于第一加热辊的一侧,且位置相互错开;调温板,设于干燥箱体的内部,位于第一加热辊和第二加热辊之间。本实用新型实施例的锂电池隔膜萃取干燥装置在现有的辊筒加热的基础上,在锂电池隔膜的运输方向附近增设调温板,从而能够在原有的加热辊加热的基础上,进一步提高干燥箱体内部的环境温度,以便达到充分挥发二氯甲烷、干燥锂电池隔膜的目的,并解决了因为干燥效果差导致的锂离子电池隔膜水印的问题。

标签:
加工技术
江苏 - 常州 来源:北方有色网 2023-03-18
磷酸铁锂正极材料及其制备方法、锂离子电池

本发明属于电池材料技术领域,具体涉及一种磷酸铁锂正极材料及其制备方法、锂离子电池。本发明通过对制备方法的具体限定以及各原料用量的限定之间的配合,使得材料的改性效果稳定,真正做到材料的导电性与高容量兼顾,能够提高材料的空间结构稳定性,缩短锂离子扩散路径,进而提高材料电性能,包括材料的容量、首效、倍率和循环性能等。

标签:
加工技术
江苏 - 常州 来源:北方有色网 2023-03-18
利用可溶性锂盐溶液制备氢氧化锂溶液的电渗析装置

本发明公开了一种利用可溶性锂盐溶液制备氢氧化锂溶液的电渗析装置,其特征在于:所述电渗析装置由双极膜电渗析器、平衡缓冲槽、循环泵和配套管线阀门共同组成;所述双极膜电渗析器为五室形式,分别为阳极室、酸室、碱室、脱盐室和阴极室,并设置有特种阳离子交换膜、双极膜、阳离子交换膜和阴离子交换膜;所述双极膜电渗析器的两端为阳极室与阴极室,在阳极室内设置阳极板,在阴极室内设置阴极板,所述阳极板通过电缆与直流电源的正极连接,所述阴极板通过电缆与直流电源的负极连接。本发明的电渗析装置无需复杂的化学反应过程,以各类可溶性锂盐溶液为原料,一步制备出高浓度氢氧化锂溶液,可实现低能耗、无污染、规模化的连续稳定生产。

标签:
加工技术
江苏 - 常州 来源:北方有色网 2023-03-18
尖晶石型镍锰酸锂、其制备方法和锂离子电池

本发明公开了一种尖晶石型镍锰酸锂、其制备方法和锂离子电池,所述尖晶石型镍锰酸锂的化学通式为[LixNiaMnbMcO4]·[NdOe]f,所述尖晶石型镍锰酸锂包括镍锰酸锂内核LixNiaMnbMcO4和NdOe包覆层;1.00≤x≤1.12,0.45≤a≤0.55,1.45≤b≤1.85,0.001≤c≤0.050,a+b+c=2,d和e满足NdOe化合价平衡,f<0.1;M包括Cr、Al、Zr、V、Ti、Mo、Ru、Mg、Nb、Ba、Si、P、W、Co、Cu和Zn中的至少一种;N包括Al、Zn、Zr、Bi、Mg、B、Nb、Si和P中的至少一种。通过掺杂和包覆,显著提高了镍锰酸锂的比容量、首效和循环性能。

标签:
加工技术
江苏 - 常州 来源:北方有色网 2023-03-18
无钴正极材料及其制备方法以及锂离子电池正极和锂电池

本发明涉及锂离子电池技术领域,公开了一种无钴正极材料及其制备方法以及锂离子电池正极和锂电池。所述正极材料包括核以及包覆所述核的壳,所述核为无钴正极材料,所述核的化学式为LiNixMnyO2,其中,0.55≤x≤0.95,0.05≤y≤0.45,所述壳为包覆剂和碳。本发明的方法能够提高无钴正极材料包覆过程中的分散性,同时能够提高无钴正极材料的导电性。

标签:
加工技术
江苏 - 常州 来源:北方有色网 2023-03-18
上一页 116 117 118 119 120 ... 123 下一页
共123页    到第

北方有色为您提供最新的江苏常州有色金属加工技术理论与应用信息,涵盖发明专利、权利要求、说明书、技术领域、背景技术、实用新型内容及具体实施方式等有色技术内容。打造最具专业性的有色金属技术理论与应用平台!

全国热门有色金属设备推荐
展开更多 +
全国热门有色金属技术推荐
展开更多 +

 

江西省隆恩特环保设备有限公司
宣传

报名参会
更多+

报告下载

有色专家
更多+

长沙矿冶研究院
总经理
赣州有色冶金研究所有限公司
副主任/高级工程师
北京科技大学
副院长/教授
广东省科学院工业分析检测中心
副主任
长沙有色冶金设计研究院有限公司
正高级工程师/中国铝业首席工程师/全国有色金属行业设计大师/国家注册采矿工程师
赤泥综合利用研究报告2025
推广

热门技术
更多+

推荐企业
更多+

福建省金龙稀土股份有限公司
宣传

发布

在线客服

公众号

电话

顶部
咨询电话:
010-88793500-807