青岛垚鑫智能科技有限公司
宣传

位置:中冶有色 >

有色技术频道 >

> 复合材料技术

分类:
全部
矿山技术
冶金技术
材料制备及加工技术
环境保护技术
分析检测技术
 
全部
功能材料技术
复合材料技术
新能源材料技术
合金材料技术
加工技术
地区:
全部
北京
天津
上海
重庆
河北
山西
辽宁
吉林
黑龙江
江苏
浙江
安徽
福建
江西
山东
河南
湖北
湖南
广东
海南
四川
贵州
云南
陕西
甘肃
青海
内蒙
广西
西藏
宁夏
新疆
其他
其他
展开
 
全部
合肥
芜湖
蚌埠
淮南
马鞍山
淮北
铜陵
安庆
黄山
阜阳
宿州
滁州
六安
宣城
池州
亳州

安徽合肥有色金属复合材料技术理论与应用

免费发布技术信息>>
火灾探测器用预警复合材料及其制备方法

本发明提供一种火灾探测器用预警复合材料及其制备方法,涉及火灾探测器生产技术领域。所述预警复合材料包括导电芯体和包裹在导电芯体外部的防水层,所述导电芯体由以下重量份的原料制成:聚噻吩20‑25份、纳米二氧化钛1‑2份、炭黑10‑15份、纳米铜粉5‑10份、聚氯乙烯3‑5份、乙酸乙烯酯5‑7份、三元乙丙橡胶2‑4份、偶联剂0.8‑1.2份、增塑剂1‑2份、稳定剂1‑2份,所述防水层由以下重量份的原料制成:乙烯‑四氟乙烯共聚物30‑40份、聚酰胺10‑15份、丙烯酸酯10‑15份、酚醛树脂5‑10份。本发明克服了现有技术的不足,不仅能够有效提高预警复合材料的探测和预警速度,灵敏度高,还能有效提高其防水性能,安全性高,预警复合材料整体性能优异,适宜推广。

标签:
复合材料
安徽 - 合肥 来源:中冶有色网 2023-03-18
用于土工格室的环保型HDPE复合材料

本发明公开了一种用于土工格室的环保型HDPE复合材料。包括该复合材料由以下组分及重量份含量的原料制备得到,碳纤维3‑8,HDPE80‑95,相容剂1‑5;所述相容剂为PE‑g‑MAH,即马来酸酐(MAH)接枝聚乙烯(PE)作为增溶剂。本发明通过采用碳纤维与HDPE在相容剂的作用下制作的HDPE复合材料,由于碳纤维与酸性物质反应产生降解,有助于对采用该环保型HDPE复合材料制得的土工格室进行降解,避免废弃的土工格室污染环境。

标签:
复合材料
安徽 - 合肥 来源:中冶有色网 2023-03-18
可净化空气的耐火塑木复合材料及其制备方法

本发明提供一种可净化空气的耐火塑木复合材料及其制备方法,涉及塑木复合材料技术领域,可净化空气的耐火塑木复合材料包括以下重量份的原料:竹屑15‑23份、稻壳13‑21份、甘蔗渣13‑19份、聚磷酸铵7‑29份、废弃聚乙烯泡沫塑料15‑27份、硅藻泥5‑21份、活性炭15‑21份、脲醛树脂12‑16份、氧化钙21‑37份、酚醛泡沫18‑30份、竹炭13‑19份、凹凸棒土15‑23份、阻燃剂0.6‑1.2份、热稳定剂0.3‑0.7份、抗氧剂0.4‑0.8份和相容剂0.7‑1.3份;制备方法包括以下步骤:(1)称取原料、(2)粉碎、(3)混合、(4)搅拌、(5)造粒。本发明制得的可净化空气的耐火塑木复合材料具有阻燃和可净化空气的优点。

标签:
复合材料
安徽 - 合肥 来源:中冶有色网 2023-03-18
用于锂离子电池负极材料的硅‑碳复合材料的制备方法

本发明涉及一种用于锂离子电池负极材料的硅‑碳复合材料的制备方法,其包括:将化学气相沉积设备抽真空后,将硅源气体和氩气通入化学气相沉积设备中制得硅颗粒;再通入碳源气体和氩气,在硅颗粒表面生成碳包覆层,制得硅碳复合颗粒;将硅碳复合颗粒分散在分散剂中,然后加入碳前驱体和石墨,搅拌混合均匀后,再将分散剂蒸发掉,制得硅碳复合颗粒‑碳前驱体‑石墨混合物;最后加热使碳前驱体分解,制得硅碳复合颗粒‑热解碳‑石墨复合材料。本发明制备的硅颗粒较分散,硅颗粒与石墨的结合较紧密,利用复合材料中的碳产物和石墨提高硅的导电性及缓解硅在充放电过程中的体积变化,从而提高硅碳复合材料的电化学性能。

标签:
复合材料
安徽 - 合肥 来源:中冶有色网 2023-03-18
聚合物/二氧化硅纳米粒子复合材料及制备方法

本发明公开了一种聚合物/二氧化硅纳米粒子复合材料及制备方法。材料包括二氧化硅纳米粒子,特别是二氧化硅纳米粒子与聚合物间的重量比为0.1~40比100、且两者之间为核壳结构,其中,核为二氧化硅纳米粒子、壳为聚合物,核与壳间以Si-O-C化学键相连接,方法包括用常规法获得二氧化硅纳米粒子和聚合物的齐聚物,特别是完成步骤如下:(1)将二氧化硅纳米粒子与聚合物单体的二元酸和二元醇在温度220~250℃、压力0.2~0.4MPa下搅拌80~100分钟,得混合物,(2)于混合物中加入醋酸锑或醋酸锌和齐聚物,在温度260~285℃、压力10~50Pa下搅拌90~150分钟,制得复合材料。它解决了二氧化硅纳米粒子的团聚和有机-无机界面结合力弱的难题,可广泛用于聚合物的无机改性。

标签:
复合材料
安徽 - 合肥 来源:中冶有色网 2023-03-18
石墨烯基γ-Fe2O3复合材料光催化剂、制备方法及其用途

本发明涉及光催化技术领域,具体是涉及一种石墨烯基γ-Fe2O3复合材料光催化剂、制备方法及其用途。石墨烯基γ-Fe2O3复合材料光催化剂,γ-Fe2O3颗粒附着在石墨烯表面,石墨烯的尺寸分布在1~50μm,γ-Fe2O3颗粒尺寸分布在20~500nm。其制备方法主要包括氧化石墨的制备、氧化石墨水合硫酸亚铁插层物的制备和石墨烯基γ-Fe2O3复合材料光催化剂的制备。本发明制备的石墨烯基γ-Fe2O3复合材料光催化剂具有高的载流子传输率、大的比表面积和低的禁带宽度,使其具有极高的光催化降解有机物的活性,比纯γ-Fe2O3颗粒的光催化活性高出86%以上,且具有良好的循环稳定性,能够多次重复使用,在光催化降解过程中不会引起二次污染。

标签:
复合材料
安徽 - 合肥 来源:中冶有色网 2023-03-18
钼酸镍柔性薄膜复合材料的制备方法和应用

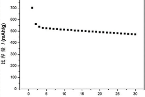
本发明公开了一种钼酸镍柔性薄膜复合材料的制备方法及其作为锂离子电池电极材料的应用。制备方法:将可溶性镍盐溶于蒸馏水中形成溶液A;将可溶性钼酸盐加入溶液A中搅拌,获得溶液B;将一定尺寸大小的碳纳米管薄膜放入溶液B中,后将溶液放入反应釜进行水热反应。反应后取出薄膜材料,清洗干燥并在惰性气氛下退火以获得负载于碳纳米管薄膜上的钼酸镍纳米片柔性复合材料。本发明钼酸镍纳米片负载于碳纳米管薄膜上柔性复合材料的制备方法简单、对环境无污染。该柔性复合电极材料具有高的导电性、高放电比容量以及良好的循环稳定性,更为重要的,该复合材料在组装电池时无需使用粘结剂且进一步扩展了高容量锂离子电池负极材料的选择。

标签:
复合材料
安徽 - 合肥 来源:中冶有色网 2023-03-18
具有有序编织结构的细菌纤维素复合材料的制备方法

本发明提供一种具有有序编织结构的细菌纤维素复合材料的制备方法,包括以下步骤:A)将水凝胶进行处理,得到若干长条状的水凝胶;所述水凝胶选自细菌纤维素水凝胶和细菌纤维素复合材料水凝胶中的一种或两种;B)将所述若干长条状的水凝胶进行有序编织;C)将步骤B)得到的水凝胶进行压缩,得到具有有序编织结构的细菌纤维素复合材料。按照上述方法,本申请得到了一种具有低热膨胀率、轻质高强高韧的细菌纤维素复合材料。

标签:
复合材料
安徽 - 合肥 来源:中冶有色网 2023-03-18
耐高温航天复合材料
耐高温航天复合材料 967     
 0

本发明实施例公开了一种耐高温航天复合材料,所述的耐高温航天复合材料为包覆结构,所述的包覆结构包括碳纤维芯层和聚酰亚胺外层,所述的聚酰亚胺外层包覆在所述的碳纤维芯层上;本发明实施例提供的耐高温航天复合材料,可以作为在特殊环境下使用的绳、网以及织造面料的纺织纤维复合材料,在保证碳纤维优良性能的同时,显著的提高了耐热性能和抗紫外、抗宇宙射线和太空高能粒子的性能,使其能广泛应用于航空航天、石油化工以及电力行业等领域,具有良好的保护性能和防护作用。

标签:
复合材料
安徽 - 合肥 来源:中冶有色网 2023-03-18
非晶碳管/四氧化三铁电缆式纳米复合材料及其制备方法

本发明非晶碳管/四氧化三铁电缆式纳米复合材料及其制备方法,特征是按高压釜容积将5.0-100.0G/L二茂铁和150.0-800.0G/L干冰密封于高压釜中,升温至350-450℃,保温不少于800分钟,冷却至室温,即得到产物;其内芯为直径30-50NM的四氧化三铁连续单晶纳米线,与外覆的碳纳米管管壁紧密相接,形成同轴电缆式结构;外层碳纳米管直径40-120NM,壁厚5-40NM,长度2-20ΜM,碳纳米管的管壁为非晶石墨结构;将0.1-0.5G/L上述产物加入浓度为5.0-20.0G/L的聚甲基丙烯酸甲酯的环戊酮溶液中,超声分散后置于场强为0.16-0.20T的平行磁场中至聚合物固化,可得固定在聚合物中的非晶碳管/四氧化三铁电缆式纳米复合材料的取向排列结构。

标签:
复合材料
安徽 - 合肥 来源:中冶有色网 2023-03-18
聚酯醚弹性体/碳纤维复合材料及其制备方法

本发明属于高分子材料技术领域,公开了一种聚酯醚弹性体/碳纤维复合材料及其制备方法。该复合材料包括以下组分和重量份数:0.5-10份改性碳纤维、78份对苯二甲酸二甲酯、50-100份小分子二醇、78份大分子二醇、0.0078-0.078份酯交换催化剂、0.0078-0.078份聚合催化剂、0.078-0.78份光稳定剂和0.078-0.78份抗氧剂。本发明还公开了该聚酯醚弹性体/碳纤维复合材料的制备方法,包括酯交换和聚合两个阶段。本发明制备的复合材料,由于碳纤维经强酸氧化处理以及原位聚合过程中体系粘度较低和剧烈的机械搅拌,使得碳纤维在体系中分散均匀,较低的碳纤维填充就能达到较好的导电性能,极大地拓宽了聚酯-醚类弹性体的应用范围。

标签:
复合材料
安徽 - 合肥 来源:中冶有色网 2023-03-18
纳米复合材料生产的压制装置

本实用新型公开了一种纳米复合材料生产的压制装置,包括用于纳米复合材料生产压制时的加热机构、用于对纳米复合材料生产进行输送的输送机构、支撑辊,所述输送机构位于所述加热机构两侧,所述支撑辊位于所述输送机构内侧,还包括用于对纳米复合材料生产时进行压制的辊压机构,所述辊压机构包括辊压气缸、辊压架、弹簧架、上压辊、下压辊,所述辊压气缸位于所述加热机构上方。本实用新型利用辊压气缸推送阶梯型辊压架上弹簧架来对上压辊进行支撑,通过六组上压辊和下压辊来对复合材料进行逐级的压制成型。

标签:
复合材料
安徽 - 合肥 来源:中冶有色网 2023-03-18
应用于六价铬处理的新型纳米复合材料喷淋装置

本实用新型公开了一种应用于六价铬处理的新型纳米复合材料喷淋装置,包括储液箱和插销,所述储液箱的内底部设置有液泵,所述连接软管绕制在绕杆上,所述连接软管贯穿套筒与出液管道相连接,所述出液管道的顶部卡合连接在卡板上。该应用于六价铬处理的新型纳米复合材料喷淋装置,拧下孔塞后可向储液箱内通入碳凝胶负载纳米铁镍双金属复合材料和水,之后螺旋柱旋转,方便将碳凝胶负载纳米铁镍双金属复合材料与水充分的混合在一起,之后储液箱内的液体可在液泵的作用下依次经过连接管道、连接软管、出液管道和喷头喷出,碳凝胶负载纳米铁镍双金属复合材料可还原并固化六价铬离子,具有良好的亲水性,且体积较小,故可以水为媒介,完成治理任务。

标签:
复合材料
安徽 - 合肥 来源:中冶有色网 2023-03-18
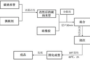
压缩空间内的自组装轻质导热硅橡胶复合材料及其制备方法

本发明公开了一种压缩空间内的自组装轻质导热硅橡胶复合材料及其制备方法,其中,所述压缩空间内的自组装轻质导热硅橡胶复合材料包括:硅橡胶;压缩颗粒,分布于所述硅橡胶中,所述压缩颗粒用于压缩所述硅橡胶内部的反应空间;填料粒子,排列于所述压缩颗粒的周围;其中,所述填料粒子由具有氨基结构的碳化硅晶须和具有环氧基结构的氮化硼反应而成的分子构成。本发明有利于导热声子在导热网络内传递,从而进一步提升导热硅橡胶复合材料的导热系数,且空心玻璃微球的加入降低了硅橡胶复合材料的总体密度,成为了轻质的硅橡胶复合材料。

标签:
复合材料
安徽 - 合肥 来源:中冶有色网 2023-03-18
新型低成本复合材料杆塔

本发明属于电力杆塔技术领域,具体涉及一种新型低成本复合材料杆塔,包括若干个等大小的金属环,所述金属环上下分布且相互同心,所述金属环相互之间间距一致且通过若干个竖直设置的钢筋串在一起,所述金属环内、金属环与金属环之间间隙均填充有抗腐蚀抗氧化复合材料,所述抗腐蚀抗氧化复合材料填充后与若干个金属环组成圆柱结构,克服了现有技术的不足,利用若干个金属环和抗腐蚀抗氧化复合材料共同构成杆塔主体,其中金属环可以为外设部件提供良好的支撑,抗腐蚀抗氧化复合材料填充为硬质塑料,且质量较轻,可以大大降低杆塔本体的质量。

标签:
复合材料
安徽 - 合肥 来源:中冶有色网 2023-03-18
电镀级聚丙烯复合材料及其制备方法

本发明公开一种电镀级聚丙烯复合材料及其制备方法,其是由聚丙烯43‑77份、增韧剂5‑12份、无机填料15‑40份、极性添加剂3‑5份、抗氧剂0.2‑1.0份和其他助剂0‑0.5份经混合、挤出造粒制成。本发明公开的聚丙烯复合材料采用富含‑NH‑和‑OH的高分子化合物作为极性添加剂,可有效调节复合材料的极性,使得复合材料具有更好的亲水性从而更易电镀。本发明公开的聚丙烯复合材料可按现有的ABS电镀工艺及流程进行电镀操作,不需要添加新的设备及改变现有流程,电镀制件具有良好的镀层附着力、耐酒精擦拭能力及耐冷热循环能力,可以满足装饰用电镀制件的要求,与现有ABS电镀制品相比,具有更低的成本。

标签:
复合材料
安徽 - 合肥 来源:中冶有色网 2023-03-18
轻质聚丙烯微发泡复合材料及其制备方法

本发明公开一种轻质聚丙烯微发泡复合材料及其制备方法,所述复合材料由97‑99 wt%聚丙烯复合材料与1‑3 wt%化学发泡剂组成;所述聚丙烯复合材料由86‑94份均聚PP、5‑10份相容剂、1‑4份聚四氟乙烯纤维、0.2‑0.4份抗氧剂、0.5‑1份润滑剂、0.5‑1份光稳定剂、0‑2份其他助剂按重量份数组成。本发明制备的复合材料中聚四氟乙烯纤维在聚丙烯基体中形成三维网状结构,显著提高聚丙烯机械性能及熔体强度,该微发泡材料密度小,机械性能好,泡孔平均直径小,均匀细腻,加工简单,易于成型,产品轻质,可以广泛应用于汽车、家电、包装、电子产品等领域。

标签:
复合材料
安徽 - 合肥 来源:中冶有色网 2023-03-18
用于激光烧结成型的聚苯乙烯微球复合材料及其制备方法

本发明公开了一种用于激光烧结成型的聚苯乙烯微球复合材料及其制备方法,属于聚苯乙烯微球激光烧结成型改性领域。本发明的用于激光烧结成型的聚苯乙烯微球复合材料由以下原料制成:聚苯乙烯微球100份、纳米丁腈橡胶5~45份、增韧剂0.1~0.5份、光稳剂0.1~0.5份、消泡剂0.5~4.5份、流平剂0.5~4.5份、抗氧剂0.1~0.5份。本发明制备的复合材料具有力学强度高、耐磨性好以及成型速度快等特点,同时纳米丁腈橡胶的引入大幅降低了复合材料的综合成本。此外本发明涉及的复合材料制备工艺简单,可在激光烧结成型领域大范围应用和推广。

标签:
复合材料
安徽 - 合肥 来源:中冶有色网 2023-03-18
微乳液制备介孔Ag<sub>2</sub>O/TiO<sub>2</sub>复合材料的方法

本发明公开了一种微乳液制备介孔Ag2O/TiO2复合材料的方法,利用合成的聚苯乙烯微乳液为模板、钛酸四丁酯和硝酸银为无机源,在酸性条件下制备了的Ag/TiO2介孔复合材料。利用N2吸附‑脱附曲线、HRTEM对制备的介孔复合材料进行表征,结果表明制备的Ag/TiO2介孔复合材料具有蠕虫状孔结构,孔径在8nm左右,Ag的掺杂降低了介孔复合材料的比表面积。以合成的介孔复合体材料对污水中的污染物尤其是大分子污染物进行吸附、催化、光降解实验,实现对污染物的无害化处理。结果表明,掺杂了Ag原子的介孔氧化钛很好地保持了介孔结构的稳定性,介孔复合体材料的孔径达7nm,且对甲基橙具有良好的光催化降解效果。

标签:
复合材料
安徽 - 合肥 来源:中冶有色网 2023-03-18
耐磨聚甲醛复合材料及其制备方法

本发明提供一种耐磨聚甲醛复合材料及其制备方法,涉及高分子材料技术领域。本发明耐磨聚甲醛复合材料由以下原料制成:聚甲醛、改性玻璃纤维、气味吸附母粒、二硫化钼、润滑剂、抗氧剂。本发明耐磨聚甲醛复合材料的原料中采用改性玻璃纤维、气味吸附母粒等原料制得,使制得的耐磨聚甲醛复合材料在耐磨性能方面有了显著的提高,并保持了优异的力学性能,而且耐磨聚甲醛复合材料具有低气味特性。

标签:
复合材料
安徽 - 合肥 来源:中冶有色网 2023-03-18
具有低中频损耗的气雾化铁硅铝软磁复合材料

本发明提供了一种具有低中频损耗的气雾化铁硅铝软磁复合材料,属于磁性材料技术领域。气雾化铁硅铝软磁复合材料由三种不同粒径范围的气雾化铁硅铝粉末制成;一级气雾化铁硅铝粉末的粒径为负140目~正200目,二级气雾化铁硅铝粉末的粒径为负325目~正500目,三级气雾化铁硅铝粉末的粒径为负600目~正1000目;气雾化铁硅铝软磁复合材料的100kHz/1V的磁导率不低于50、100kHz/1V的品质因数不低于155、100Oe直流偏置性能不低于57%、200Oe直流偏置性能不低于28%、50kHz/100mT的磁芯损耗不高于175mW/cm3。本发明制备工艺简单,有效解决了目前气雾化铁硅铝软磁复合材料高抗饱和能力与低磁芯损耗无法兼得的问题。在同等磁导率和直流偏置性能的前提下,显著降低了常规气雾化铁硅铝软磁复合材料的中频损耗。

标签:
复合材料
安徽 - 合肥 来源:中冶有色网 2023-03-18
PPS复合材料及其制备方法

本发明涉及一种PPS复合材料及其制备方法,PPS复合材料按重量份由以下组分组成:PPS为80份‑100份;碳纤维为12份‑18份;硫酸钙晶须为10份‑20份;碳微球为8份‑12份;润滑剂为0.1份‑0.3份;抗氧剂为0.1份‑0.5份。与其它无机填料相比,硫酸钙晶须本身高度有序的原子排列结构,使其晶体结构接近完美晶体结构,原子间价键的结合强度大,使晶须具有很高的强度和模量,从而使其改性的PPS复合材料具有优异的力学性能;由于碳纤维高强高模的特性,填充到PPS复合材料中会提高其强度和模量。碳微球作为一种新兴的填料,导热性良好,硬度较大,可以提升PPS复合材料的导热性和耐磨性。

标签:
复合材料
安徽 - 合肥 来源:中冶有色网 2023-03-18
具有方向性导热复合材料的制备方法

本发明公开了一种具有方向性导热复合材料的制备方法,是为了解决常规材料和传统技术在电子元器件上的散热问题,碳材料在硅橡胶导热复合材料中占0.1~15wt%,所述碳材料在强磁场作用下在聚合物基体中形成各向异性的导热通道,该导热复合材料主要包括碳纳米管或石墨烯或多种混合的碳导热填料与硅橡胶基体组成,通过超声对碳材料进行分散,倒入模具中在强磁场作用下固化成型,使碳纳米管或石墨烯形成链状结构排列于基体中,生成具有方向性的导热复合材料。本发明操作简单、安全,制备周期短,通过强磁场的作用,使本身不具备磁性功能的碳材料在强磁场下结构具有规整的排布,形成各向异性结构复合材料,使导热具有方向性。

标签:
复合材料
安徽 - 合肥 来源:中冶有色网 2023-03-18
改性纤维球负载聚苯胺复合材料及其制备方法和用途

本发明公开了一种改性纤维球负载聚苯胺复合材料及其制备方法和用途,涉及复合材料领域。该复合材料呈直径4~5cm的球状结构,其结构上包括改性纤维球和负载在改性纤维球上的纳米丝状结构的聚苯胺;本发明还公开了该复合材料的制备方法,包括纤维球的改性、制备纳米丝状聚苯胺、制备PANI/m‑FB复合材料三个步骤;该方法将改性纤维球作为负载材料,再通过种子聚合法将聚苯胺附着在纤维球上,工艺成熟,成本低廉,重复性好,可以实现批量生产。制得的复合材料可以用于去除污水中的Cr(VI),去除能力可达到291.13mg/g,不易造成二次污染,且经多次重复使用后,去除率依然可达90%,是一种良好的吸附剂,可应用于工业污水处理。

标签:
复合材料
安徽 - 合肥 来源:中冶有色网 2023-03-18
多孔复合材料长效控糖体系、其制备方法和用途

本发明公开了一种多孔复合材料长效控糖体系、其制备方法和用途。所述多孔复合材料长效控糖体系是通过FITC改性的NH2‑PEG‑SH与包埋了控糖药物的多孔材料相互结合,然后组装而形成的;其包含疏水端和亲水端,其中,所述疏水端是通过多孔材料包埋控糖药物而形成的,所述亲水端是通过NH2‑PEG‑SH与FITC经过化学键反应而形成的。本发明的多孔复合材料长效控糖体系具有高的负载能力、优良的发光特性且在水溶液中可均匀、稳定地分散,并能长效包埋维持胰岛活性的新材料,实现快速稳定血糖调控。

标签:
复合材料
安徽 - 合肥 来源:中冶有色网 2023-03-18
催化增容PS/POE复合材料

本发明涉及一种催化增容PS/POE的复合材料,其是通过下述方法制备而成:(1)干燥;(2)将无水氯化铝加入到乙烯-辛烯无规共聚物中,得混合物A;(3)将苯乙烯单体、抗氧剂加入到聚苯乙烯中,得混合物B;(4)将混合物A与B一起混合得混合物C;(5)将混合物C投入到双螺杆挤出机的料斗中,经熔融、挤出、造粒得PS/POE的复合材料。氯化铝、苯乙烯、正庚烷和抗氧化剂共同营造的一个Lewis催化剂反应体系,把PS上面的苯环和乙烯-辛烯无规共聚物中的自由基发生耦合反应,生成PS-g-POE的接枝共聚物,提高了复合材料的机械性能。

标签:
复合材料
安徽 - 合肥 来源:中冶有色网 2023-03-18
正温度系数性能改进的聚乙烯炭黑导电复合材料制备方法

本发明涉及正温度系数性能改进的聚乙烯炭黑导电复合材料的制备方法。该方法包括以下操作步骤:A、由12-羟基硬酯酸、抗氧剂、催化剂和二甲苯等制备超分散剂;B、由炭黑和钛酸酯超分散剂或磷酸酯超分散剂或钛酸酯超分散剂和磷酸酯超分散剂的混合物制备改性炭黑;C、由高密度聚乙烯、低密度聚乙烯、改性炭黑和抗氧剂等制得聚乙烯炭黑导电复合材料。本发明的聚乙烯炭黑导电复合材料改善了导电填料与高分子基体的相互作用,有效的抑制了炭黑在基体中的附聚和位置偏移,能提高PTC强度,减缓NTC效应,提高反复加热循环中的PTC效应的稳定性。本发明工艺简单,对环境基本无污染,成本较低,便于广泛的推广应用。

标签:
复合材料
安徽 - 合肥 来源:中冶有色网 2023-03-18
防水透气膜用复合材料及其制备方法

本发明公开一种防水透气膜用复合材料及其制备方法,防水透气膜用复合材料是由茂金属聚乙烯29‑49份,高压聚乙烯3‑8份,无机填料45‑55份,补强剂3‑8份,抗氧剂0.1‑1份,润滑剂0.5‑1份、偶联剂0.2‑1份经混合、挤出、造粒制成。本发明公开的防水透气膜用复合材料中添加补强剂能有效提高复合材料的熔体强度,在拉伸的时候不容易出现破裂的情况,因此可以大大提高流延膜的生产效率,其生产速度可以达到150‑180米/分钟,与常规生产速度80‑120米/分钟相比,生产效率提高50%;同时本发明公开的复合材料制备工艺简单、成本低,能有效地降低流延膜的生产成本。

标签:
复合材料
安徽 - 合肥 来源:中冶有色网 2023-03-18
低气味聚苯硫醚复合材料及其制备方法

本发明属于高分子复合材料领域,具体公开了一种低气味聚苯硫醚复合材料及其制备方法。本发明的复合材料包括以下重量份数的组分:45?60份的聚苯醚硫醚、20?40份的增强纤维,2?10份的无机填料,3?5份的增韧剂,0.5?2份的其他助剂,制备时将配方原料加入高速混合机中,在高速混合机中搅拌3?5min;然后将混合均匀的物料加入双螺杆挤出机的加料口;物料经双螺杆挤出机熔融挤出,造粒,制备得到一种低气味聚苯硫醚复合材料。本发明的复合材料具有良好的机械性能和低气味。

标签:
复合材料
安徽 - 合肥 来源:中冶有色网 2023-03-18
抗紫外老化玻纤增强聚丙烯复合材料及其制备方法

本发明公开了一种抗紫外老化玻纤增强聚丙烯复合材料及其制备方法,复合材料由玻纤增强聚丙烯复合材料粒子与ASA按质量比为95:5-90:10组成;所述玻纤增强聚丙烯复合材料粒子由聚丙烯、玻璃纤维、相容剂、抗氧剂、光稳定剂构成。该材料具有较强的抗紫外老化特性,同时具有玻纤增强聚丙烯复合材料的高强度和高韧性;并且制备工艺简单,生产成本低廉,无二次污染。

标签:
复合材料
安徽 - 合肥 来源:中冶有色网 2023-03-18
上一页 95 96 97 98 99 ... 107 下一页
共107页    到第

中冶有色为您提供最新的安徽合肥有色金属复合材料技术理论与应用信息,涵盖发明专利、权利要求、说明书、技术领域、背景技术、实用新型内容及具体实施方式等有色技术内容。打造最具专业性的有色金属技术理论与应用平台!

全国热门有色金属设备推荐
展开更多 +
全国热门有色金属技术推荐
展开更多 +

 

江西省隆恩特环保设备有限公司
宣传

报名参会
更多+

报告下载

有色专家
更多+

长沙矿冶研究院
总经理
矿冶科技集团
副所长/研究员
长沙矿冶院检测技术有限责任公司
总经理
西北有色金属研究院、中国工程院
院士
长沙有色冶金设计研究院有限公司
党委书记、董事长
赤泥综合利用研究报告2025
推广

热门技术
更多+

推荐企业
更多+

福建省金龙稀土股份有限公司
宣传

发布

在线客服

公众号

电话

顶部
咨询电话:
010-88793500-807