青岛垚鑫智能科技有限公司
宣传

位置:中冶有色 >

有色技术频道 >

> 复合材料技术

分类:
全部
矿山技术
冶金技术
材料制备及加工技术
环境保护技术
分析检测技术
 
全部
功能材料技术
复合材料技术
新能源材料技术
合金材料技术
加工技术
地区:
全部
北京
天津
上海
重庆
河北
山西
辽宁
吉林
黑龙江
江苏
浙江
安徽
福建
江西
山东
河南
湖北
湖南
广东
海南
四川
贵州
云南
陕西
甘肃
青海
内蒙
广西
西藏
宁夏
新疆
其他
其他
展开
 
全部
南京
无锡
徐州
常州
苏州
南通
连云港
淮安
盐城
扬州
镇江
泰州
宿迁

江苏有色金属复合材料技术理论与应用

免费发布技术信息>>
塑料制品材料
塑料制品材料 1054     
 0

本发明涉及一种塑料制品材料,包括聚对苯二甲酸乙二酯90-100重量份、聚乳酸100-120重量份、聚碳酸酯150-160重量份、聚己内酰胺20-30重量份、含聚苯硫醚50-60重量份、乙烯-丙烯酸酯-甲基丙烯酸缩水甘油酯共聚物30-40重量份、改性剂25-35重量份、由碳酸钙、高岭土和滑石粉构成混合填料1-10重量份,其中所述碳酸钙、高岭土和滑石粉的重量比为1.2:1.5:3。本发明采用聚对苯二甲酸乙二酯、聚乳酸、聚碳酸酯、聚己内酰胺、含聚苯硫醚、乙烯-丙烯酸酯-甲基丙烯酸缩水甘油酯共聚物、改性剂、由碳酸钙、高岭土和滑石粉构成混合填料的合理配比,以提高材料的力学性能,改善了相容性能,大大提高了复合材料的力学性能。

标签:
复合材料
江苏 - 无锡 来源:中冶有色网 2023-03-18
陶瓷壳体结构件及其制备方法和一种手机

本发明实施例提供了一种陶瓷壳体结构件,包括陶瓷壳体和设置有凹部的边框,陶瓷壳体包括陶瓷平板和自陶瓷平板侧面向外突出设置的陶瓷突出件,陶瓷突出件套设在边框的凹部内使得陶瓷平板与边框紧密结合,在沿陶瓷平板厚度方向上边框与陶瓷突出件连接处的上表面与陶瓷平板的上表面齐平,边框包覆陶瓷壳体侧面或者包覆陶瓷壳体的侧面和底面,边框的材质为合金、金属基复合材料或塑料。边框能够保护陶瓷壳体的边缘不直接与其它物体发生碰撞,陶瓷突出件能够增加陶瓷壳体与边框之间的结合力,从而提高本发明陶瓷壳体结构件的整体抗摔能力,扩大了陶瓷壳体结构件的应用范围。本发明实施例还提供了一种陶瓷壳体结构件的制备方法和一种手机,该手机包括陶瓷壳体结构件。

标签:
复合材料
江苏 - 无锡 来源:中冶有色网 2023-03-18
分散在天然多糖中的石墨烯纳米片材料及其制备方法

本发明涉及一种分散在天然多糖中的石墨烯纳米片材料及其制备方法,该石墨烯纳米片材料分散在天然多糖中。本发明采用天然多糖与固体石墨混合,添加一定比例的溶剂或不做任何添加直接将混合物进行机械研磨,得到分散在天然多糖纳米材料中的厚度为0.35nm~7nm、单层或多层的石墨烯纳米片复合材料。本发明所制备的石墨烯纳米片材料将天然多糖作为分散剂分散在石墨烯纳米片周围,石墨烯纳米片与天然多糖界面的疏水部位达到纳米尺度上的融合,产生强烈相互作用(范德华力),增加了相互之间的亲和性,从而抑制了石墨烯纳米片的再聚集,同时也抑制了天然多糖常见的一些晶形转变,获得性能稳定的石墨烯纳米片材料。

标签:
复合材料
江苏 - 无锡 来源:中冶有色网 2023-03-18
多层金属合金复合钢板的轧制方法

本发明涉及复合材料的制备,尤其是应用在金属复合板领域,具体是一种多层金属合金复合钢板的轧制方法。通过多层金属组成待轧钢坯,在两种金属中间放置助焊剂,特定的钢坯轧制温控使助焊剂融化并在钢材之间流动,形成表面润湿,在轧机的强大压下力,经过多道次的控制轧制,使碳素钢和镍基合金表面有效的塑变而冶金结合,结合强度高,无局部应力提高产品质量,大规模生产,提高成材率。

标签:
复合材料
江苏 - 无锡 来源:中冶有色网 2023-03-18
原位合成莫来石晶须增韧陶瓷蓄热体及其制备方法

本发明提供一种原位合成莫来石晶须增韧陶瓷蓄热体及其制备方法,原位合成莫来石晶须增韧陶瓷蓄热体是由煤系高岭土,氧化铝微粉,莫来石粉料,粘合剂,水溶性增塑剂和水经过混料、捏泥、练泥、微波定型、烘干、烧制制备得到的。依照上述技术方案制备出来的蓄热体是由高强度,高模量的莫来石陶瓷晶须和莫来石基体构成的复合材料,其微观结构的基质组织间生成了均匀的莫来石晶须;此外,该方法制备工艺简单,成本较低,易于工业化生产。

标签:
复合材料
江苏 - 无锡 来源:中冶有色网 2023-03-18
具有微流体通道的血管化组织结构及其制备方法

一种具有微流体通道的血管化组织结构及其制备方法,属于组织工程及复合材料成形技术领域。该血管化组织结构包括组织结构主体、分支血管部分、毛细血管层和保护层。本发明实现稀溶液、细胞和水凝胶的复合成形。组织结构主体由含细胞的水凝胶喷射而成,水凝胶网格间分布了含或不含细胞的稀溶液;分支血管孔道由含细胞的水凝胶预留,孔道内分布了含或不含细胞的稀溶液,分支血管管壁为多孔结构;毛细血管层由合成高分子稀溶液喷涂或喷射形成,或由含细胞的稀溶液喷涂或喷射形成;支撑部分与保护层部分由合成或天然高分子溶液堆积成形;成形结构体两端有血管接口或呈开放式多通道,可用于体内移植或体外培养,促使血管化的发展。

标签:
复合材料
江苏 - 无锡 来源:中冶有色网 2023-03-18
缩合多核多环芳烃树脂及其制备方法

本发明公开了一种缩合多核多环芳烃树脂及其制备方法。该制备方法包括如下步骤:S1、将煤直接液化残渣进行脱灰处理,得到煤直接液化高温沥青;以及S2、向煤直接液化高温沥青中加入交联剂和催化剂,交联聚合反应,得到缩合多核多环芳烃树脂。该方法对煤直接液化残渣进行了充分深度的利用,且为制备COPNA树脂提供了一种新的原料和方法,制备出的COPNA树脂具有β-树脂含量及树脂固化后残炭率高的优势,可作为制备多种碳素材料的前驱体,在高密高强炭、炭/炭复合材料、刹车制动耐磨材料及高耐热纤维等领域具有良好的应用前景。该工艺路线简单、设备常规、反应条件温和,为煤炭直接液化残渣的高附加值利用提供了一条新的途径。

标签:
复合材料
江苏 - 无锡 来源:中冶有色网 2023-03-18
多TG碳纤维轮圈及其制备方法

本发明公开了一种多TG碳纤维轮圈及其制备方法,轮圈由碳纤维复合材料制成,包括两个相交的侧壁和一连接桥,连接桥两边区隔出一用于放置内胎的胎位孔槽和一个“V”形内腔体,二者呈上下排列,胎位孔槽和连接桥附近对应的侧壁为刹车边,刹车边和连接桥组合成截面为“H”形结构,“H”形结构与内腔体对应的侧壁分别采用2种或2种以上不同TG的环氧树脂碳纤维材料。本发明在承受胎压的刹车区域,采用180℃以上高TG的环氧树脂碳纤维材料,有效降低了轮圈的烧框风险,既提高轮圈的安全性,兼顾产品的轻量及安全两方面的要求;在非刹车部分,采180℃以下低TG的环氧树脂碳纤维材料,具有良好的刚性和韧性,提高产品耐冲击强度。

标签:
复合材料
江苏 - 无锡 来源:中冶有色网 2023-03-18
超浓乳液制备PS/ZnO多孔材料的方法

本发明涉及一种超浓乳液模板法制备聚苯乙烯(PS)/ZnO多孔材料,属于功能性纳米复合材料制备工艺技术领域。采用一步法配制。苯乙烯、经改性后纳米ZnO无机粒子、Span80(C24H44O6,山梨糖醇酐油酸酯)为连续相,CaCl2·2H2O水溶液为分散相的超浓乳液体系,通过AIBN(偶氮二异丁腈)引发制备了PS/ZnO多孔材料。其较优的条件:温度50℃、分散相质量分数85%、Span80质量分数10%、CaCl2·2H2O浓度0.3mol/l。制备PS孔径尺寸约5μm,加入改性纳米ZnO粒子后径尺寸略小;ZnO结晶结构完整地存在于微孔中。甲基橙的光催化降解性能随着多孔材料ZnO含量的增加而提高。

标签:
复合材料
江苏 - 无锡 来源:中冶有色网 2023-03-18
环氧聚氨酯复合水泥基声屏障面板及其制备方法

本发明公开了环氧聚氨酯复合水泥基声屏障面板及其制备方法。其中环氧聚氨酯复合水泥基声屏障面板由以下重量份数的组分组成:水泥12~18份,细砂50~68份,水2~3份,早强剂0.2~0.4份,减水剂0.1~0.3份,增强纤维2~5份,水性环氧树脂5~12份,水性环氧树脂固化剂4~10份,水性聚氨酯3~8份。本发明通过用水性聚氨酯和水性环氧树脂对声屏障面层水泥基材料进行改性,以水泥的水化和高分子材料的固化同时进行相互填充形成复合材料。制成的面板具有体积收缩率小、抗弯、抗震、抗渗、抗裂和耐久性好等优点。

标签:
复合材料
江苏 - 无锡 来源:中冶有色网 2023-03-18
电器类设备专用清洗剂

本发明公开了一种电器类设备专用清洗剂,由下列体积比的成分混合组成:乙醇????????????????????????10%~15%;三氟丁烯5%~10%;四氯乙烯2~5%;抗静电剂3%~5%;羟基乙酸10%~20%;表面活性剂5%~7%;桔皮油1%~2%;去离子水余量。本发明配方合理、成本低廉,杀菌去油污效果好、且对常用清洗物无腐蚀性,清洗效果非常好;清洗彻底,干净,有机溶剂可完全挥发,不留残迹并且对金属材料和复合材料及油漆表面安全无腐蚀。

标签:
复合材料
江苏 - 无锡 来源:中冶有色网 2023-03-18
PVC/PE/PVDC复合片的生产工艺

本发明涉及一种PVC/PE/PVDC复合片的生产工艺,包括PVC硬片放卷、第一次胶粘剂涂布、PE膜放卷、PVC/PE复合、PVC/PE复合片冷却、收卷、熟化、PVC/PE复合片放卷、切边、电晕处理、第二次胶粘剂涂布、PVDC涂布、干燥、冷却、收卷、PVC/PE/PVDC复合片熟化、分切、检验、包装、入库等步骤。本发明的PVC/PE/PVDC复合片生产工艺,采用双涂布头的涂布系统,不仅涂布效果好,而且大大提高了生产效率,本发明料卷之间可实现自动接驳,无需停车操作;在PVC/PE复合材料上再复合阻隔性能高的PVDC对包装内的药品起到了非常好的防渗、防挥发效果,是最理想的包装材料。

标签:
复合材料
江苏 - 无锡 来源:中冶有色网 2023-03-18
多孔纳米复合骨组织工程支架材料的制备方法

本发明涉及生物医学复合材料,具体涉及多孔纳米复合骨组织工程支架材料的制备方法。本发明方案包括以下步骤:将Nano-HA和PLLA材料在50~70℃下混合,超声波震荡,然后电磁搅拌至Nano-HA完全分散均匀得到凝胶;然后将凝胶转入-5~-3℃下进行低温成型并填入生物材料即得多孔纳米复合骨组织工程支架材料。本发明的方法将Nano-HA和PLLA复合制备三维多孔的Nano-HA/PLLA人工骨,该三维多孔的人工骨支架材料综合了Nano-HA和PLLA两者的优点,提高柔韧性和生物降解性,改善生物力学性能,更加有利于骨细胞的粘附生长和血管化,极大地提高骨缺损处移植人工骨的愈合速度及效果。

标签:
复合材料
江苏 - 无锡 来源:中冶有色网 2023-03-18
电器设备清洗剂
电器设备清洗剂 1054     
 0

本发明公开了一种电器设备清洗剂,由下列体积比的成分混合组成:异丙醇10%~20%;二氯甲烷5%~10%;四氯乙烯2~5%;柠檬酸三己酯1%~2%;羟基乙酸10%~20%;过氧化氢5%~7%;桔皮油1%~2%;去离子水余量。本发明配方合理、成本低廉,杀菌去油污效果好、且对常用清洗物无腐蚀性,清洗效果非常好;清洗彻底,干净,有机溶剂可完全挥发,不留残迹并且对金属材料和复合材料及油漆表面安全无腐蚀。

标签:
复合材料
江苏 - 无锡 来源:中冶有色网 2023-03-18
中空六棱柱状羟基磷灰石晶体的制备方法

本发明涉及一种中空六棱柱状羟基磷灰石晶体的制备方法,属于陶瓷材料领域。本方法的特征是包括以下步骤:配制含L-谷氨酸、磷酸氢二钠和氢氧化钠的水溶液,再依次加入硝酸钇、硝酸钙和尿素,搅拌均匀后倒入水热釜中,装料率为90%,经两步水热反应后随炉冷却,过滤、洗涤,经干燥后即得到中空六棱柱状羟基磷灰石晶体。本发明所述的中空六棱柱状羟基磷灰石晶体的制备方法简单,所制备得到的晶体可在表面吸附、催化、药物承载和复合材料等领域有广阔的应用前景。

标签:
复合材料
江苏 - 无锡 来源:中冶有色网 2023-03-18
生物质碳材料及其制备方法和应用

本发明公开一种生物质碳材料及其制备方法和应用,属于生物质碳材料技术领域。包括以下步骤:将生物质材料粉碎,得到生物质粉体;在生物质粉体中加入分子筛混合均匀,在氮气氛围下进行加热处理,得到前驱体材料;吡咯单体溶解在冰醋酸溶液中,得到吡咯溶液,然后将所得前驱体材料浸渍在吡咯溶液中,加热,再在得到的混合物中加入氯化铁溶液进行反应,洗涤、干燥,得到聚吡咯/分子筛/生物质复合材料,即生物质碳材料。利用该生物质碳材料对水土环境进行处理,可有效去除废水和土壤中的重金属,吸附效率高,周期短,且可回收重复利用。

标签:
复合材料
江苏 - 无锡 来源:中冶有色网 2023-03-18
复合尖晶石莫来石陶瓷耐火材料及其制备方法

本发明涉及复合材料领域,尤其是涉及一种复合尖晶石莫来石陶瓷耐火材料及其制备方法,所述复合尖晶石莫来石陶瓷耐火材料的原料包括以下重量比的成分:轻烧镁粉9‑25份、工业氧化铝50‑100份和石英粉8‑20份。其制备方法包括以下步骤:按照配比称取各成分,混匀,加入矿热炉,在2200‑2500℃电弧加热熔融5‑15分钟,然后倾斜矿热炉倒入水槽中快速冷却,捞出干燥。现有用尖晶石和莫来石做原料制备的复合耐火材料匣钵,在锂电池正极材料烧结过程中抗腐蚀性差,本申请通过改变原料,并限定原料中各成分的用量,最终提供的复合尖晶石莫来石陶瓷耐火材料中不仅保持了原耐火性和抗热震性能,且增强了抗锂离子耐腐蚀性能。

标签:
复合材料
江苏 - 无锡 来源:中冶有色网 2023-03-18
含磷杂菲和联苯结构的环三磷腈阻燃剂、制备工艺及其应用

本发明公开了一种无卤阻燃剂,具体涉及一种含磷杂菲和联苯结构的环三磷腈阻燃剂。本发明的阻燃剂是将二羟基联苯、DOPO和环三磷腈阻燃剂的核心结构片段进行合理组装和修饰,合成出的含磷杂菲基团和二羟基联苯结构的环三磷腈类阻燃剂。该阻燃剂具有较高磷含量、氮含量、耐热性和高温成炭率,与聚乳酸和ABS等基体相容性佳,热稳定性好,制备的复合材料力学性能优良且具有较好的阻燃效果。

标签:
复合材料
江苏 - 无锡 来源:中冶有色网 2023-03-18
酞菁基可降解反光膜的制备方法

本发明属于反光膜技术领域,具体涉及一种酞菁基可降解反光膜的制备方法,先由4‑硝基邻苯二甲腈与苯酚衍生物合成一个中间产物A,再将中间产物与金属化合物在一定条件下合成所需要的金属酞菁B,再以金属酞菁、无机材料和生物降解材料为主要原料制成反光膜。将合成的无机材料/金属酞菁和生物降解材料熔融共混,除了可以保证农用反光膜的降解性,保持基材原有的优良性能以及金属酞菁在近红外区的高反射性质以外,还能提高复合材料的反光率以及力学性能。

标签:
复合材料
江苏 - 无锡 来源:中冶有色网 2023-03-18
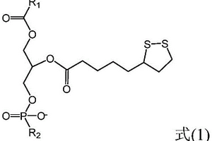
辅酶Q10-硫辛酸型磷脂纳米复合胶束及其制备方法和应用

本发明属于纳米复合材料领域,公开了一种辅酶Q10‑硫辛酸型磷脂纳米复合胶束及其制备方法和应用。本发明提供的辅酶Q10‑硫辛酸型磷脂纳米复合胶束含有以下质量百分比含量的组分:辅酶Q10 20%~50%、硫辛酸型磷脂10%~40%和透明质酸钠20%~50%。本发明的关键在于将硫辛酸经溶血型磷脂修饰得到硫辛酸型磷脂,其结构式如式(1)所示,该硫辛酸型磷脂与辅酶Q10通过超临界流体技术制备得到的辅酶Q10‑硫辛酸型磷脂纳米复合胶束对光照、氧气以及高温均具有高稳定性,可以有效提高其生物利用度,从而广泛应用于化妆品、保健品或药物中。

标签:
复合材料
江苏 - 无锡 来源:中冶有色网 2023-03-18
低介电常数的树脂组合物及其应用

本发明涉及一种低介电常数的树脂组合物及其应用。该树脂组合物具体包括:带有不饱和双键的液态橡胶;丙烯腈‑丁二烯‑苯乙烯(ABS)共聚树脂;液态三元乙丙橡胶;中空无机硅酸盐填料;无机填料;阻燃剂;过氧化物引发剂;分散剂;有机溶剂。与现有技术相比,本发明的低介电常数的树脂组合物制备的复合材料不仅解决了半固化片发粘的问题和层间剥离强度差的问题,同时具有极低的介电常数、低吸水率、高耐热性能,适用于5G高频通讯和基站天线等。

标签:
复合材料
江苏 - 无锡 来源:中冶有色网 2023-03-18
反铁电体与GaN半导体组成的复合陶瓷及其制备方法

本发明公开了一种反铁电体与GaN半导体组成的复合陶瓷,其结构式为(1‑x)PNZST:xGaN,其中0.01≤x≤0.10;PNZST的具体结构式为Pb0.99Nb0.02[(Zr0.57Sn0.43)1‑yTiy]0.98O3,0.060≤y≤0.067。本发明通过两步固相烧结反应法制得,GaN的加入实现了基体材料从反铁电相转变为铁电相,通过温度诱导,复合材料会随着温度的变化而发生铁电‑反铁电相变,而实现较大的极化强度变化率,从而获得优异的热释电性能。这种新的工艺方式为热释电材料的发展开拓了新的材料设计思路,为非制冷红外探测技术领域提供材料基础。

标签:
复合材料
江苏 - 无锡 来源:中冶有色网 2023-03-18
导管鞘及成像装置
导管鞘及成像装置 944     
 0

本发明提供了一种导管鞘及成像装置,该导管鞘利用相关理论在导管鞘上设计多层声学人工结构,并结合超表面对超声换能器声束进行聚焦调控,使其传播的声束在特定位置产生聚焦的效果,从而改善其声波能量的传输效率,并提高其横向分辨率以及深度方向的信噪比。也就是说,应用不同声速分布的颗粒增强聚合物基复合材料,基于超表面的异常声学效应并借鉴已有的声学微纳结构设计范式,计算出实用的导管鞘材料参数和厚度参数;通过研究超表面和声学人工聚焦结构对高频超声换能器调控机制,合理优化设计相应的声学人工聚焦结构参数,并通过对超声换能器声束的聚焦调控来改善成像信噪比和横向分辨率的效果。

标签:
复合材料
江苏 - 无锡 来源:中冶有色网 2023-03-18
具有抗弯特性的汽车顶盖横梁及其制作方法

一种具有抗弯特性的汽车顶盖横梁,包括碳纤维的空心梁、微结构填充物和碳纤维层合板,所述微结构填充物粘合在碳纤维层合板上放置在空心梁中,所述空心梁为变径方管,包括上壁、下壁和左右侧壁,所述上壁带弧度呈两端薄中间厚的走势,所述微结构填充物截面呈柱状体交叉于一点的结构,所述柱状体两端为半圆形,采用微结构填充顶盖横梁,使顶盖横梁的碰撞吸能效果得到很好的改进,为了增强顶盖横梁的刚度,采用高比强度,高比模量的碳纤维复合材料,结合顶盖横梁的受力特点,空心梁采用中间厚两边薄的结构,优化了材料的分布,使顶盖横梁的强度得到提高,从而进一步获得良好的安全效果。

标签:
复合材料
江苏 - 无锡 来源:中冶有色网 2023-03-18
基于双向受力模型的墙体加固性能评价方法及装置

本发明公开了一种基于双向受力模型的墙体加固性能评价方法及装置,方法包括以下步骤:(1)基于墙体双向受力模型,建立燃爆事故中建筑墙体损伤评估方法;(2)对墙体进行抗爆性能评估,若抗爆性能不达标,则选择加固方法;(3)采用步骤(1)中评估方法的评估加固后的墙体,如不满足抗爆性能要求,则返回步骤(2),进一步加固墙体,直至满足抗爆性能要求。本发明改变传统单向受力模型,采用更符合墙体实际情况的双向受力模型,采用解析方法建立加固性能评价方法,与传统的数值CAE三维有限元方法相比,显著降低了评估时间,可以对加固墙体进行快速响应评估,同时也能给石化抗爆领域中的抗爆涂层设计、纤维复合材料设计提供理论依据。

标签:
复合材料
江苏 - 无锡 来源:中冶有色网 2023-03-18
可替代钢制材料的延性混杂纤维增强聚合物杆材的设计方法

本发明属于复合材料加工技术领域,公开了一种可替代钢制材料的延性混杂纤维增强聚合物杆材的设计方法,所述延性混杂纤维增强聚合物杆材为两种连续纤维混杂的增强聚合物杆材或三种连续纤维混杂的增强聚合物杆材;两种连续纤维混杂的增强聚合物杆材和三种连续纤维混杂的增强聚合物杆材均需满足一定条件。本发明方法原理清晰,目的明确,所用评价指标选择合理,为延性HFRP杆材设计和性能评价提供了理论方法。

标签:
复合材料
江苏 - 无锡 来源:中冶有色网 2023-03-18
喷涂三元乙丙橡胶包覆纳米金属氧化物提高直流电缆工厂接头绝缘特性的方法

本发明公开一种喷涂三元乙丙橡胶包覆纳米金属氧化物提高直流电缆工厂接头的方法,属于高电压与绝缘技术、复合材料交叉领域。本发明通过在纳米金属氧化物材料表面嫁接碳链结构,形成了与交联聚乙烯分子结构近似的过渡层。利用溶剂制备了低比例质量分数的试剂,通过表面喷涂的方式填充在交联聚乙烯的恢复绝缘与本体绝缘之间。三元乙丙橡胶包覆的纳米颗粒改善了与无机与有机材料之间的兼容性,促使了纳米颗粒在材料表面处的更均匀分散,大幅度的抑制了材料界面的空间电荷,提高了高压直流电缆工厂接头界面处的绝缘特性。本发明操作简单,成本低廉,易于实现工业化生产,可用于类似的材料界面,改善材料的绝缘特性。

标签:
复合材料
江苏 - 无锡 来源:中冶有色网 2023-03-18
石墨基复合负极材料及其制备方法与用途

本发明属于锂离子电池用负极材料技术领域,具体涉及一种石墨基复合材料及其制备方法与用途。本发明首先在人造石墨和天然石墨的表面构筑软碳结构,通过等静压成型和热处理形成稳定的一次复合颗粒,从而有效利用人造石墨和天然石墨的优点,即提高复合负极材料的容量和循环性能的同时降低成本。然后利用沥青2具有良好的粘结性能,将一次复合颗粒粘结为二次复合颗粒,有效降低了负极材料的趋向性,造粒过程中通过预氧化处理工艺,沥青2氧化交联成硬碳前驱体,在石墨化处理中,同时完成天然石墨的纯化、人造石墨前驱体的石墨化和硬碳前驱体的碳化;最后在复合石墨化颗粒表面构筑均匀的硬碳包覆层,使复合负极材料兼顾硬碳的超高快充性能。

标签:
复合材料
江苏 - 无锡 来源:中冶有色网 2023-03-18
高熵碳化物的制备方法
高熵碳化物的制备方法 1130     
 0

本发明公开一种高熵碳化物的制备方法,将三种以上的含金属元素的盐溶液按照金属原子等摩尔比进行混合,采用喷雾热解方法制备出超细高熵氧化物粉末,将得到的超细高熵氧化物粉末放入有机物溶剂中,搅拌得到分散液,采用喷雾干燥造粒的方式,得到有机物包裹氧化物高熵粉末的复合粉体,将复合粉体进行高温碳化得到高熵碳化物;本发明提供的方法操作过程简单、制备成本低廉,可以实现工业化大规模生产,同时通过该方法合成的高熵粉体组分均匀、晶粒细小,该材料在新能源材料、催化剂、复合材料增强体等领域具有良好的潜在的应用价值。

标签:
复合材料
江苏 - 无锡 来源:中冶有色网 2023-03-18
原位聚合Co<Sub>3</Sub>O<Sub>4</Sub>/Co/N-C锂离子电池负极材料的制备方法

一种原位聚合Co3O4/Co/N‑C锂离子电池负极材料的制备方法,属于电化学储能技术领域。以ZIF‑67为选定MOFs材料,利用原位聚合的方法得到Amor‑Co3O4/Co/N‑C、Cry‑Co3O4/Co/N‑C复合物。以硝酸钴、2‑甲基咪唑为钴源和有机配体,制备出了ZIF‑67,利用原位聚合的方法合成了Amor‑Co3O4/Co/N‑C、Cry‑Co3O4/Co/N‑C,同时制备出了单一Co3O4作为对比,此复合材料展示出了优异的电化学性能。本发明过程简单、易控制,在锂离子电池负极材料中表现出了良好的应用潜力,为制备大容量以及良好循环性能的锂离子电池负极材料提供了借鉴意义。

标签:
复合材料
江苏 - 无锡 来源:中冶有色网 2023-03-18
上一页 497 498 499 500 501 ... 1207 下一页
共1207页    到第

中冶有色为您提供最新的江苏有色金属复合材料技术理论与应用信息,涵盖发明专利、权利要求、说明书、技术领域、背景技术、实用新型内容及具体实施方式等有色技术内容。打造最具专业性的有色金属技术理论与应用平台!

全国热门有色金属设备推荐
展开更多 +
全国热门有色金属技术推荐
展开更多 +

 

江西省隆恩特环保设备有限公司
宣传

报名参会
更多+

2025年10月15日 ~ 17日
2025年10月17日 ~ 19日
2025年10月31日 ~ 11月02日
2025年11月07日 ~ 09日

报告下载

有色专家
更多+

中国科学院赣江创新研究院
院长
西北稀有金属材料研究院宁夏有限公司
党委书记 / 董事长
昆明理工大学
教授
任灵宝金源矿业股份有限公司
技术发展部经理
中南大学
院长/教授
赤泥综合利用研究报告2025
推广

热门技术
更多+

推荐企业
更多+

福建省金龙稀土股份有限公司
宣传

发布

在线客服

公众号

电话

顶部
咨询电话:
010-88793500-807