青岛垚鑫智能科技有限公司
宣传

位置:中冶有色 >

有色技术频道 >

分类:
全部
矿山技术
冶金技术
材料制备及加工技术
环境保护技术
分析检测技术
 
全部
功能材料技术
复合材料技术
新能源材料技术
合金材料技术
加工技术
地区:
全部
北京
天津
上海
重庆
河北
山西
辽宁
吉林
黑龙江
江苏
浙江
安徽
福建
江西
山东
河南
湖北
湖南
广东
海南
四川
贵州
云南
陕西
甘肃
青海
内蒙
广西
西藏
宁夏
新疆
其他
其他
展开
 
全部
长春
吉林
四平
辽源
通化
白山
松原
白城
延边朝鲜族自治州

吉林长春有色金属材料制备及加工技术理论与应用

免费发布技术信息>>
整体式碳纤维复合材料轮毂的设计方法

本发明公开了一种整体式碳纤维复合材料轮毂的设计方法,属于轮毂设计技术领域,包括:使用PTC Creo仿真软件建模及评估铝合金轮毂的基准对比,得到碳纤维复合材料轮毂概念模型数据;根据铝合金轮毂造型以及碳纤维复合材料轮毂概念模型数据得到碳纤维复合材料轮毂结构模型;对碳纤维复合材料轮毂结构模型利用ANSYS软件进行有限元分析得到预测结果;通过预测结果对碳纤维复合材料轮毂结构模型进行优化设计得到最终碳纤维复合材料轮毂结构模型。本发明公开了一种整体式碳纤维复合材料轮毂的设计方法,重量减少50%以上,并且通过复合材料铺层可行性设计,提前预知整体式方案技术可行,最后经过样件试制来进行验证。

标签:
复合材料
吉林 - 长春 来源:中冶有色网 2023-03-18
钴钼硫/石墨烯复合材料的制备方法及其应用

本发明涉及一种钴钼硫/石墨烯复合材料的制备方法及其应用。该复合材料是按照以下步骤进行制备:a、根据改进的Hummers方法制备氧化石墨;b、通过化学沉淀法合成钴钼硫(CoMoS)前驱体;c、将GO置于CoMoS前驱体溶液中,在油浴条件下用水合肼(N2H4·H2O)还原,然后在N2气氛下退火处理;d、所得产物用盐酸浸泡,再用去离子水和乙醇清洗,制得CoMoS/RGO复合材料。该复合材料作为析氢反应(HER)的催化剂,表现出优异的催化性能,起始电势仅为28mV,并且当电流密度达到10mA cm‑2时,电势仅为100mV。在相同的电流密度下,与同条件制得的CoMoS和大块MoS2相比,CoMoS/RGO复合材料具有明显的优势。本发明还可以拓展到其它催化剂体系的设计,为进一步发展高效、低成本的催化剂提供了新的思路。

标签:
复合材料
吉林 - 长春 来源:中冶有色网 2023-03-18
表面具有多尺度耦合结构的复合材料及其制备方法

本发明涉及一种表面具有多尺度耦合结构的立方氮化硼仿生耐磨复合材料及其制备方法,属于金属材料领域。所述的复合材料由NiCrBTi作为粘结合金和c-BN超硬材料单晶颗粒作为增强硬质相组成,NiCrBTi粘结合金成分配比按重量百分比计(Wt%):Ni:60-70,Cr:10-20,B:2-5,Ti:10-15。复合材料中的c-BN单晶颗粒所占体积百分含量为25-30%,颗粒平均粒度为200μm。其制备方法是将NiCrBTi粘结合金填充在c-BN单晶颗粒间,采用模具成型的方法,使试样表面具有一定规则分布的非光滑凸包单元体,通过放电等离子烧结技术在钢基体上制备表面具有多尺度耦合结构的c-BN仿生耐磨复合材料。

标签:
复合材料
吉林 - 长春 来源:中冶有色网 2023-03-18
碳纤维增强聚醚醚酮复合材料及生物活性改善方法和应用

本发明适用于生物医用材料领域,提供了一种碳纤维增强聚醚醚酮复合材料及生物活性改善方法和应用,该碳纤维增强聚醚醚酮复合材料的生物活性改善方法包括以下步骤:对碳纤维增强聚醚醚酮复合材料进行表面磺化处理,得到磺化处理后的碳纤维增强聚醚醚酮复合材料;通过以聚多巴胺作为中间介质,将Ti3C2TX纳米片负载到磺化处理后的碳纤维增强聚醚醚酮复合材料的表面上,得到改善后的碳纤维增强聚醚醚酮复合材料。本发明通过以聚多巴胺作为中间介质将2D纳米材料,即Ti3C2TX纳米片负载到经过磺化处理的多孔碳纤维增强聚醚醚酮复合材料的表面上,可以增强其生物活性和成骨整合能力。

标签:
复合材料
吉林 - 长春 来源:中冶有色网 2023-03-18
结构有序的磷钨酸钛硅介孔复合材料及制备方法

本发明公开了一种结构有序的磷钨酸钛硅介孔复合材料及制备方法。本发明的磷钨酸钛硅介孔复合材料是以介孔硅为载体,所述介孔硅是由正硅酸乙酯无机硅源前驱体制备而成,所述载体上负载有酸催化活性成分,所述酸催化活性组分为磷钨酸和钛,所述复合材料的结构为H3PW12O40‑Ti‑OMS。本发明采用一步合成法合成了结构骨架可控的结构有序的磷钨酸钛硅介孔复合材料,大大简化了生产工艺,且所制备的复合材料的介孔结构特征明显,是典型的二维六方结构,用于催化微晶纤维素水解,催化效果好,活化过程简便,易于循环使用。

标签:
复合材料
吉林 - 长春 来源:中冶有色网 2023-03-18
磷脂胶束封装的CsPbBr<sub>3</sub>纳米晶复合材料及其应用

本发明公开了一种水溶性钙钛矿的制备方法以及将其作为成像探针实现了Hella细胞的成像。本发明主要通过磷脂与油胺、油酸的亲疏水相互作用实现了磷脂胶束对CsPbBr3纳米晶的封装。所得的磷脂胶束封装的CsPbBr3纳米晶,能够溶于水,发射高效的绿色荧光,而且在水中展现了超高的稳定性。此外,此材料具有较好的生物相容性,成功的实现了高质量Hella细胞的成像。

标签:
复合材料
吉林 - 长春 来源:中冶有色网 2023-03-18
介孔碳‑碳化钨复合材料载铂催化剂的制备方法

本发明的介孔碳‑碳化钨复合材料载铂催化剂的制备方法属于无机材料制备技术领域。所述的制备方法有钨电极制备、充气、开启等离子体加热反应、收集产物、铂负载等步骤。本发明具有制备工艺简单、制备时间短、制备过程绿色、产量大和制备成本低等优点,一步法制备介孔碳‑碳化钨纳米球复合结构,极大地减少了碳化钨纳米颗粒的团聚现象,制备的碳化钨纳米球颗粒细小,粒径分布窄,结晶性好,单分散性好,制备的复合催化剂的协同效应和结构效应进一步提升了催化性能和抗氧化性能。

标签:
复合材料
吉林 - 长春 来源:中冶有色网 2023-03-18
焊接辅助试剂及其应用和一种碳化硅颗粒增强铝基复合材料焊接方法

本发明属于焊接技术领域,具体涉及一种焊接辅助试剂及其应用和一种碳化硅颗粒增强铝基复合材料激光填粉焊接方法。本发明提供了一种焊接辅助试剂,以质量百分数计,包括以下组分:5~8%氟锆酸钾,1~3%Na2O·4SiO2,8~10%硅粉,3~5%铜粉,4~6%镁粉和余量的乙醇。将本发明所提供的焊接辅助试剂喷涂在待焊接工件焊接坡口表面,然后进行焊接,得到焊接工件的抗拉强度高达223.51MPa,相对于不喷涂所述焊接辅助试剂的焊接的抗拉强度提高了9.39~11.10%。

标签:
复合材料
吉林 - 长春 来源:中冶有色网 2023-03-18
C3N4纳米复合材料、制备方法及其应用

本发明提供了一种C3N4纳米复合材料、制备方法及应用,该C3N4纳米复合材料以负载过渡金属元素的C3N4二维纳米片为载体,所述载体上负载有光敏剂。与现有技术相比,本发明以负载过渡金属元素的C3N4二维纳米片为载体负载有光敏剂,其可被细胞有效的内吞进入癌细胞,过渡金属元素可将癌细胞内的过氧化氢催化分解产生氧气,在激光的照射下,光敏剂可将氧分子有效而迅速的转化为单线态氧,从而对癌细胞产生毒性,将癌细胞杀死,从而具有光动力治疗肿瘤的作用。

标签:
复合材料
吉林 - 长春 来源:中冶有色网 2023-03-18
基于CNTs@α‑Fe2 O3 异质结复合材料的丙酮气体传感器及其制备方法

一种基于CNTs@a‑Fe2O3异质结复合材料的丙酮气体传感器及其制备方法,属于气体传感器技术领域。由外表面带有2个彼此平行且分立的环状金电极的绝缘氧化铝陶瓷管衬底、涂覆在绝缘氧化铝陶瓷管衬底外表面和金电极上的半导体金属氧化物气体敏感材料和置于绝缘陶瓷管内的镍铬合金加热线圈组成,每个金电极上均带有铂丝导线;敏感材料为CNTs和α‑Fe2O3纳米棒复合的异质结分等级结构纳米材料。本发明所述传感器具有结构简单、价格低廉、体积较小、结实耐用和大批量生产的优点,并且气敏特性的测试结果表明该传感器可对低浓度丙酮进行检测并且具有极佳的长期稳定性,使得其对工业生产中丙酮泄露的检测和报警方面及医疗检测方面有着重要的应用前景。

标签:
复合材料
吉林 - 长春 来源:中冶有色网 2023-03-18
热塑性聚酰亚胺复合材料及制备方法

本发明是关于原位聚合方法制备连续纤维增强 的热塑性聚酰亚胺复合材料及制备方法。本发明用甲醇、乙醇、异丙醇、正丁醇、以及这些 醇间任意混合物作溶剂,得到连续纤维增强的热塑性 聚酰亚胺复合材料。

标签:
复合材料
吉林 - 长春 来源:中冶有色网 2023-03-18
拉挤成型激光固化制备复合材料筋材

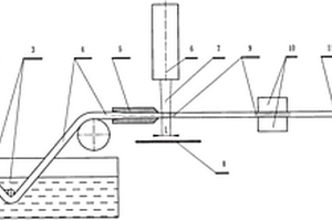
本发明提供一种用激光固化取代隧道窑加温固化的复合材料筋材制备方法,拉引装置13向着拉引方向14拉引,增强纤维束1被导入树脂液槽2中并被树脂液3浸润形成预浸带4,预浸带4经收束模5导出,在绕丝装置7的作用下,螺旋缠绕丝束6连续不断地缠绕在预浸带4的外面形成紧束状态的预浸带,紧束状态的预浸带随后进入挂砂装置8的作用范围,此时,得益于紧束状态的预浸带表面溢出的树脂液的粘附作用,砂砾粘附于紧束状态的预浸带的外表面,随后,粘附砂砾的紧束状态的预浸带进入激光输出器10发射的激光束11的照射区,在激光束11的加热作用下达到最终成型所需的固化温度,固化形成复合材料筋材12。

标签:
复合材料
吉林 - 长春 来源:中冶有色网 2023-03-18
碳化硅陶瓷基复合材料的制备方法及碳化硅陶瓷基复合材料

本发明提供的碳化硅陶瓷基复合材料的制备方法,对碳纤维表面进行氧化处理,采用硅烷偶联剂接枝法在所述碳纤维表面接枝碳化硅纳米粒子,使聚碳硅烷先驱体溶液在接枝碳化硅纳米粒子后的碳纤维表面浸渍、固化及高温裂解形成碳纤维增强碳化硅陶瓷基复合材料。上述碳化硅陶瓷基复合材料采用硅烷偶联剂接枝法制备了碳化硅纳米粒子接枝碳纤维,增强了纤维增强体与基体之间的润湿性,使纤维与基体之间具有合适的界面结合强度,保证了陶瓷基体与纤维增强体之间载荷的有效传递,同时一定程度上保护了纤维免受物理和化学的损伤。

标签:
复合材料
吉林 - 长春 来源:中冶有色网 2023-03-18
La/Eu‑有序介孔氧化锌复合材料及其制备方法

本发明涉及一种La/Eu‑有序介孔氧化锌复合材料及其制备方法。本发明采用模板法制备罐状有序介孔ZnO纳米材料;在制备的ZnO中掺杂La/Eu的磷酸盐,制备La/Eu‑有序介孔氧化锌复合材料。本材料在465纳米光的激发下,出现了Eu的跃迁发射;当用414纳米光激发时,出现了ZnO的发射,通过不同的激发光激发,得到不同颜色的发射光,实现光色可调。由于ZnO在469纳米有发射,而Eu在465纳米有吸收,两者刚好有叠加,所以ZnO可以有效地将能量传递给Eu,进而提高了Eu的发光效率。本发明在荧光粉,光催化,显示材料等方向具有广泛的应用前景。

标签:
复合材料
吉林 - 长春 来源:中冶有色网 2023-03-18
复相混杂TiB2-TiC陶瓷颗粒梯度增强金属基复合材料的制备方法

复相混杂TiB2-TiC陶瓷颗粒梯度增强钢基复合材料的制备方法涉及陶瓷颗粒增强金属基复合材料的制备方法。具体工艺包括反应物压坯的制备和铸型型腔内的燃烧合成反应两个阶段:1)采用Cr、Ti和C粉作为反应物,按照一定比例混合均匀,压制成坯;2)将经过预处理后的反应物压坯放置于铸型内铸件需要强化的特定位置或区域,浇铸高温金属钢液诱发压坯的燃烧合成反应,原位形成TiB2和TiC复相混杂陶瓷增强颗粒。从而既保证了金属基体本身的韧性,又提高了服役区域或位置的高硬度和耐磨损性能。由于陶瓷颗粒反应形成,其表面洁净,尺寸细小,形状规整;此外,添加的Cr还可以起到固溶强化作用。本发明工艺简单可靠,易于推广应用。

标签:
复合材料
吉林 - 长春 来源:中冶有色网 2023-03-18
合金板与碳纤维复合材料板之间的拉铆装置及拉铆方法

本发明公开了一种铝合金板与碳纤维复合材料板之间的拉铆装置,包括:凹模主体,其为圆柱体,并在中心处设置第一通孔;压边圈,其为圆柱体,压边圈中心具有第二通孔;抽芯铆钉芯棒,其为柱体;抽芯铆钉钻头,其为圆锥体,圆锥体底面一体连接所述抽芯铆钉芯棒,且圆锥体的底面直径大于所述抽芯铆钉芯棒直径;铆体,其中心具有钉孔,钉孔内径与所述抽芯铆钉芯棒直径相同,并提供了一种铝合金板与碳纤维复合材料板之间的拉铆铆接方法,提高了现有拉铆铆接工艺中铝合金板与碳纤维复合材料板铆接接头的力学性能。

标签:
复合材料
吉林 - 长春 来源:中冶有色网 2023-03-18
高强耐磨粉末冶金复合材料及其制备方法

本发明公开了一种高强耐磨粉末冶金复合材料及其制备方法,将基础合金胎体粉末用机械球磨混料机均匀混合,形成均匀混合的合金粉末,得到基础合金胎体粉末;将制得的基础合金胎体粉末和碳纳米管按照体积比200:1~20:1的比例进行配料混合搅拌,使混合粉料在容器中呈可流动的糊状,用搅拌机搅拌形成包含碳纳米管的均匀胎体粉末;将制得的胎体粉末和金刚石颗粒按体积比19:1~3:2进行混合配料搅拌得到混合均匀的孕镶金刚石的粉末材料;将所得粉末材料装入石墨模具中,采用热压烧结法或无压浸渍烧结法制得碳纳米管纤维强化金刚石复合材料;本发明制备的碳纳米管纤维强化金刚石复合材料,其综合性能良好,胎体硬度和整体强度明显提高,胎体对金刚石的包镶能力增强,耐磨性能增加。

标签:
复合材料
吉林 - 长春 来源:中冶有色网 2023-03-18
共掺杂的微米球‑碳纤维复合材料及其制备方法

本发明提供一种共掺杂的微米球‑碳纤维复合材料及其制备方法,属于微纳米复合材料制备技术领域。该方法先将高分子材料加入到MOFs溶液中搅拌,得到混合溶液;然后将混合溶液进行静电纺丝,将静电纺丝后的材料放入石英舟中,氮气保护下升温至700~900℃,热处理1~3小时,即得到共掺杂的微米球‑碳纤维复合材料。本发明还提供上述制备方法得到的共掺杂的微米球‑碳纤维复合材料。该制备方法简单、原料易得,该复合材料具有很好的电化学催化性质,可以广泛适用于氧还原、氧析出以及氢气析出等方面。

标签:
复合材料
吉林 - 长春 来源:中冶有色网 2023-03-18
高分子复合材料和高分子复合材料轴瓦

本发明提供了一种高分子复合材料,以重量份计,由包括以下成分的原料制备得到:100份的预聚体,所述预聚体由二异氰酸酯和二元醇聚合反应制备得到;4~41份的交联助剂;1~40份的功能性聚合物;A份的石墨烯,5<A≤30;3~30份碳纤维;2~25份偶联剂和/或硅油;2~50份的润滑纳米粒子。与现有技术相比,本发明在高分子复合材料中同时引入功能性聚合物和石墨烯填料,在功能性聚合物、石墨烯与预聚体、交联助剂的综合作用下,使得到的高分子复合材料具有较好的耐摩擦磨损性能,在具有较高硬度和承载力的同时依然能够保持较好的力学性能。本发明还提供了一种高分子复合材料轴瓦。

标签:
复合材料
吉林 - 长春 来源:中冶有色网 2023-03-18
高体份陶瓷‑金属层状复合材料及其制备方法

本发明涉及一种高体份陶瓷‑金属层状复合材料,其中,陶瓷体积分数达到70~90vol.%,且具有高定向层状平行结构;陶瓷层之间由金属韧带桥连接;陶瓷层厚度为20~80μm,金属韧带桥厚度5~10μm。本发明所述的双温度梯度冷冻铸造工艺所制得的层状多孔陶瓷骨架,其整体(三维)层状结构规则,呈平行排列;本发明利用热压工艺将层状复合材料中多余的金属相压出,从而成功制备出陶瓷体积分数高达70~90vol.%的层状陶瓷‑金属复合材料,更加接近于贝壳珍珠层的成分比例。本发明利用热压工艺将相互枝接的陶瓷层打断,成为相互隔离的层片,将多余的金属相挤入这些隔离的陶瓷层片间隙,形成了与贝壳珍珠层极为相似的“砖‑泥”结构,具有更好的强韧化效果。

标签:
复合材料
吉林 - 长春 来源:中冶有色网 2023-03-18
镁合金-珍珠岩泡沫复合材料的制备方法

本发明涉及镁合金-珍珠岩泡沫复合材料的制备方法。本发明的镁合金-珍珠岩复合材料是用真空渗流铸造法,将膨胀珍珠岩复合到纯镁或镁合金中所形成的具有特定结构的闭孔或通孔轻体镁合金-珍珠岩泡沫复合材料。解决了泡沫镁的管、带、片材工业生产中泡孔质量难以控制的技术难题。

标签:
复合材料
吉林 - 长春 来源:中冶有色网 2023-03-18
用于生物分离和检测的磁性拉曼纳米复合材料的制备方法

本发明属于纳米材料制备技术和纳米生物应用领域,涉及一种磁性拉曼纳米复合材料的制备及其在生物分离和免疫检测方面的应用。将磁性纳米粒子、锌盐和碱源溶于无水乙醇中,采用溶剂热的方法制备磁性拉曼纳米复合材料,通过表面修饰技术,实现与生物样品的偶联。本发明方法操作简便,节约成本;可实现磁性拉曼纳米复合材料的磁学性质、共振拉曼散射特征及表面性质的可控;可用于生物样品的分离和检测等领域。

标签:
复合材料
吉林 - 长春 来源:中冶有色网 2023-03-18
Ag/Ag2O修饰的SnO2多孔复合材料及其在氢气检测中的应用

一种Ag/Ag2O修饰的SnO2多孔复合材料及其在选择性地快速检测痕量氢气中的应用,属于气体传感技术领域。这种复合气体敏感材料不但能够快速准确的检测空气中痕量的氢气,而且它的工作温度明显低于传统的气敏材料,有利于提高器件的使用寿命和数据的可靠性,并且符合节能环保的要求。本发明所述的SnO2多孔复合材料用于制作选择性检测痕量氢气的传感器件,该器件经170~280℃老化8~24小时后,对200ppm氢气的响应值在10~40之间,响应时间2~4s,恢复时间28~100s,并且对一氧化碳、甲烷无响应。

标签:
复合材料
吉林 - 长春 来源:中冶有色网 2023-03-18
Nafion-碳陶瓷复合材料电化学发光传感器的制备方法

本发明属于Nafion-碳陶瓷复合材料电化学发光传感器的制备方法。该方法是采用Nafion-碳陶瓷复合材料固定吡啶钌。将修饰剂吡啶钌、阳离子交换剂Nafion溶液、无水乙醇、疏水性硅烷试剂与催化剂以一定的比例混合均匀成溶胶,然后将适量碳粉加入并超声搅拌使混合均匀,之后将混合物装入电极棒并压实,室温干燥,即得稳定的电化学发光传感器。它的灵敏度高,重现性好,响应迅速,使用寿命长且所需要的发光试剂量少。特别是当它受到污染或中毒时,只需在称量纸上抛光获得新鲜表面即可重新使用。

标签:
复合材料
吉林 - 长春 来源:中冶有色网 2023-03-18
钒酸铋‑多酸气体传感纳米复合材料制备方法

本发明提供一种钒酸铋‑多酸气体传感纳米复合材料的制备方法。所制备的多酸修饰的钒酸铋纳米棒复合气敏材料可用于光电型气体传感器。该气敏材料是以钒酸铋纳米棒为主体,并用一种Keggin型磷钨酸加以修饰所形成的钒酸铋‑多酸纳米复合材料。在室温环境中和氙灯的照射下,该传感器对有毒的二氧化氮气体有明显的传感检测性能。本发明提供的多酸‑钒酸铋纳米复合材料制备方法简单,成本很低,在室温下就能有效地检测空气中低浓度的二氧化氮气体,适用于新型高性能气体传感器的开发和生产。

标签:
复合材料
吉林 - 长春 来源:中冶有色网 2023-03-18
自支撑纳米多孔Mo/Mo<sub>2</sub>N@Ni<sub>3</sub>Mo<sub>3</sub>N复合材料及其制备方法和应用

本发明公开一种自支撑纳米多孔Mo/Mo2N@Ni3Mo3N复合材料及其制备方法和应用,属于燃料电池技术领域,针对目前的过渡金属化合物作为HER催化剂时高的催化活性和良好稳定性不能兼具,以及制备方法复杂等问题,本发明以在碳布上自组装生成的自支撑(NH4)4[NiH6Mo6O24]·5H2O多酸盐为前驱物,在氩氢气体(Ar/H2=5/5)的气氛下通过两步程序升温热处理制得。该复合材料作为燃料电池的阳极材料催化剂具有优异的析氢反应催化活性,在达到150mAcm‑2的电流密度下仅需要148mV过电势,优于Mo/Ni3Mo3N(204mV)和Mo/Mo2N(295mV),比商用Pt/C墨汁(4mg/ml)低37mV。本发明为进一步提高燃料电池的综合性能,尤其是阳极析氢反应性能提供了新的方法和思路。

标签:
复合材料
吉林 - 长春 来源:中冶有色网 2023-03-18
拉挤成型激光烘箱复合固化制备异形复合材料

本发明提供一种保留现有拉挤成型法优点,用激光固化与烘箱定型固化相结合的复合材料异形材制备方法,以克服现有支架定型与烘箱加温固化结合制备复合材料异形材的缺点。本发明通过控制激光输出器断续输出激光束的方法,对预浸带进行分段固化。在预先设置的控制之下,激光输出器6发射的激光束7断续输出,形成激光固化段9和后续烘箱固化段11。裁刀12对分段固化复合材料进行裁截,得到多段复合材,其上包含A、B和C三段,A和B为激光已固化段,C段为后续烘箱固化段,桂置于挂架14上之后,C段形成曲线或曲面。多个挂架14上桂置大量的多段复合材,在烘箱内加温实现C段固化,最终制得复合材料异形材。

标签:
复合材料
吉林 - 长春 来源:中冶有色网 2023-03-18
基于Sm2+离子的上转换发光复合材料

本发明公开了一种基于Sm2+离子的上转换发光复合材料,属于上转换发光材料技术领域,具体涉及一种分别由包含三价镧系Yb3+离子的碱土金属氟化物与包含二价钐离子Sm2+的碱土金属氟卤化物上转换发光复合材料。以碱土金属阳离子的摩尔浓度之和为100%计算,Yb3+离子浓度为0.5~2mmol%及Sm2+离子浓度为0.1~2mmol%。在980nm近红外光激发下,材料中二价钐离子发射峰值位于631nm(5D1→7F0),644nm(5D1→7F1),665nm(5D1→7F2),689nm(5D0→7F0),704nm(5D0→7F1)和729nm(5D0→7F2)的红色区域上转换发光。因此,本发明提供的基于二价钐离子Sm2+的上转换发光材料具有独特的光学性质。

标签:
复合材料
吉林 - 长春 来源:中冶有色网 2023-03-18
Mg合金/Al2O3复合材料及制备方法

本发明涉及轻质高强的金属/陶瓷复合材料,特别是一种Mg合金/Al2O3复合材料及其制备方法。本发明Mg合金/Al2O3复合材料,是由冰模板法制备的层状结构Al2O3基体和浸渗复合在该基体片层间隙中的Mg合金组成,是将通过冰模板法定向凝固制得层状结构的Al2O3坯体在硅溶胶中浸泡后使纳米SiO2包覆在Al2O3片层表面,再在Ar气氛下进行Mg合金浸渗获得。该复合材料具有高的比强度,当该复合材料的密度为2.57g/cm3时,其压缩强度可达697MPa。

标签:
复合材料
吉林 - 长春 来源:中冶有色网 2023-03-18
空心纳米笼结构的Cu2O‑CuO‑TiO2复合材料的制备方法

本发明的空心纳米笼结构的Cu2O‑CuO‑TiO2复合材料的制备方法属于过渡金属氧化物半导体材料合成的技术领域,利用菲林试剂方法合成Cu2O二十六面体,取制得的二十六面体Cu2O溶于去离子水,超声使其均匀,逐滴加入TiF4溶液,搅拌均匀后160‑180℃水热处理15‑60分钟,降至室温后,离心、洗样、烘干,得到空心纳米笼结构的Cu2O‑CuO‑TiO2复合材料。本发明制备过程绿色环保,不会对环境带来任何污染,产物尺寸均一,空心程度高,结构稳定,在催化、气敏、Li离子电池阴极等方面有广泛应用。

标签:
复合材料
吉林 - 长春 来源:中冶有色网 2023-03-18
上一页 100 101 102 103 104 ... 111 下一页
共111页    到第

中冶有色为您提供最新的吉林长春有色金属材料制备及加工技术理论与应用信息,涵盖发明专利、权利要求、说明书、技术领域、背景技术、实用新型内容及具体实施方式等有色技术内容。打造最具专业性的有色金属技术理论与应用平台!

全国热门有色金属设备推荐
展开更多 +
全国热门有色金属技术推荐
展开更多 +

 

江西省隆恩特环保设备有限公司
宣传

报名参会
更多+

报告下载

有色专家
更多+

长春黄金研究院有限公司
总经理
矿冶科技集团
副所长/研究员
洛阳有色矿业集团有限公司
生产技术部经理
西安建筑科技大学
教授
中南大学、中国工程院
院士
赤泥综合利用研究报告2025
推广

热门技术
更多+

推荐企业
更多+

福建省金龙稀土股份有限公司
宣传

发布

在线客服

公众号

电话

顶部
咨询电话:
010-88793500-807