青岛垚鑫智能科技有限公司
宣传

位置:中冶有色 >

有色技术频道 >

> 复合材料技术

分类:
全部
矿山技术
冶金技术
材料制备及加工技术
环境保护技术
分析检测技术
 
全部
功能材料技术
复合材料技术
新能源材料技术
合金材料技术
加工技术
地区:
全部
北京
天津
上海
重庆
河北
山西
辽宁
吉林
黑龙江
江苏
浙江
安徽
福建
江西
山东
河南
湖北
湖南
广东
海南
四川
贵州
云南
陕西
甘肃
青海
内蒙
广西
西藏
宁夏
新疆
其他
其他
展开
 
全部
福州
厦门
漳州
泉州
三明
莆田
南平
龙岩
宁德

福建厦门有色金属复合材料技术理论与应用

免费发布技术信息>>
电镀废水处理工艺及设备

电镀废水处理工艺及设备,主要是使水中的有机物和重金属离子被复合材料物理吸附,有机物被物理吸附后被微生物降解从而破坏吸附平衡使得物理吸附继续进行,重金属离子被物理吸附后以内扩散方式进入复合材料内部,并与复合材料进行离子交换从而破坏吸附平衡使物理吸附继续进行。本发明延长了吸附材料的使用期限,避免了需要经常更换吸附材料的麻烦。

标签:
复合材料
福建 - 厦门 来源:中冶有色网 2023-03-18
利用卫星结构的增强拉曼检测方法

一种利用卫星结构的增强拉曼检测方法,涉及拉曼光谱。1)合成金、银纳米粒子;2)在步骤1)合成的金、银纳米粒子表面包覆极薄且致密的氧化物壳层;3)将待测纳米材料进行修饰,然后组装于步骤2)得到的纳米粒子表面,形成金为核,氧化物为壳层,纳米材料为卫星的复合材料,简称SHINERS卫星结构;4)将步骤3)得到的复合材料置于含有待测分子的环境中,使待测分子吸附在复合材料表面,并利用拉曼光谱仪进行测试,从而获得待测分子的拉曼信号。解决了传统SERS技术很难在广泛应用于催化科学、环境科学、能源科学等领域的纳米材料上使用的问题。

标签:
复合材料
福建 - 厦门 来源:中冶有色网 2023-03-18
检测Aβ<sub>1-42</sub>寡聚体的比色生物传感器

本发明公开了一种检测Aβ1‑42寡聚体的比色生物传感器,包括黑磷烯纳米金复合材料、镀金硅片和与Aβ1‑42寡聚体特异结合且5’端修饰有SH的核酸适配体,核酸适配体通过SH分别与镀金硅片和黑磷烯纳米金复合材料相连,且核酸适配体与Aβ1‑42寡聚体特异结合;黑磷烯纳米金复合材料催化4‑硝基苯酚被硼氢化钠还原为4‑氨基苯酚的反应,并经紫外可见光光谱检测该催化的效果,实现对与核酸适配体特异结合的Aβ1‑42寡聚体的检测。本发明能够在紫外可见光光谱下对Aβ1‑42寡聚体进行特异性的检测。

标签:
复合材料
福建 - 厦门 来源:中冶有色网 2023-03-18
球拍的射出成型的生产工艺

本发明公开了一种球拍的射出成型的生产工艺,其步骤包括:一、材料准备:在编织机上将长纤维丝束在树脂中浸润经过滚轮编织成长纤维单向预浸布,将短纤维材料与树脂混合形成短纤维复合材料;二、加强片固定:将长纤维单向预浸布进行裁剪得到条状的加强片,并将加强片固定于模具的模腔内,盖合模具;三、射出成型:短纤维复合材料射出进入模具的模腔内并对模具加温加压;四、取拍:等待模具冷却,取出成型的球拍。本发明采用短纤维复合材料制作球拍主体并采用长纤维单向预浸布做加强片,材料可回收,有利于降低成本并达到环保的效果,并且本发明不需要卷制预成型的步骤,提高了生产效率。

标签:
复合材料
福建 - 厦门 来源:中冶有色网 2023-03-18
复材车架后三角管件与勾爪成型工艺

本发明公开了一种复材车架后三角管件与勾爪成型工艺,首先将车架的后三角管件的各部分及勾爪用碳纤维复合材料完成预型,再进行拼接补纱后置于模具内完成一体定型为车架。采用本发明碳纤维自行车车架后三角结构新的成型方式,保证了复合材料自行车后三角的完整性,从而增强了复合材料自行车后三角的强度,胎位及勾爪中心度的准确性,后勾爪中心到五通或到后上叉刹车孔的准确性,同时增强了后三角的稳定性及最大限度的节省了原材料成本舆提高原材料利用率。因此本发明具有增强自行车后三角强度、提高勾爪到五通及到后上叉刹车孔的尺寸精度、勾爪的中心度,降低原材料成本及提高了原材料的利用率,同时一体成型技术结构简单,最大限度的减少制作过程所需的步骤与时间的消耗等优点及功效。

标签:
复合材料
福建 - 厦门 来源:中冶有色网 2023-03-18
高分子改性的纳米碳酸钙新产品系列

本发明涉及一种高分子改性的纳米碳酸钙新产品系列,具体地,提供了一种添加水溶性高分子或高分子乳液作为控制结晶过程、减少单晶和团聚体尺寸、模板剂与改性剂获得高分子原位改性纳米碳酸钙的新产品,提供了易生产、成本低的改性纳米材料合成新方法。可获得单晶粒径小于10nm的球霰石型和单晶粒径小于25nm的方解石碳酸钙产品,且颗粒均匀、分散性好,可显著增加在复合材料中的用量,同时增强和增韧,保持和提升复合材料性能。改性后的球霰石型和方解石型碳酸钙在聚丙烯复合材料中可在高添加量情况下同时提高或保持发挥材料的韧性和强度,显示了巨大的应用开发潜力。

标签:
复合材料
福建 - 厦门 来源:中冶有色网 2023-03-18
高能胶制品、制备方法及其用途

本发明涉及一种高能胶制品、制备方法及其用途。该高能胶制品,按千克重量,组成为:热塑性橡胶15-25;乙酸乙酯10-25;发泡剂6-20;丁酮30-60;塑化剂0.5-3;防老剂0.5-2.5;硬脂酸0.5-2;交联剂2-3.5;聚酯纤维3-10。本发明还保护了其高能胶制品的制备方法。所述高能胶制品可作为各种复合材料制品生产中的内部填充发泡剂,在碳纤维玻璃纤维复合材料的制品生产中替代尼龙风管的模式,将其涂在棉布上,待干燥后直接用碳布包裹好,放入模具中加热成型即可。简化了加工程序,提高了生产效率,改进了碳纤复合材料制品的成型过程。

标签:
复合材料
福建 - 厦门 来源:中冶有色网 2023-03-18
预锂化、预钠化复合负极材料及其制备方法和应用

本发明提供了一种预锂、预钠化复合负极材料及其制备方法和应用,涉及锂离子或者钠离子半电池和全电池制备及其电化学性能改善,通过在电解液浸泡下让负极极片和锂箔或钠箔直接接触,以将锂、钠离子预先进入到负极极片的复合材料表面和内部结构中,并在负极极片表面构建SEI膜,以及填充复合材料的结构缺陷;同时通过控制预锂、预钠化过程的短路压力、时间、电压等条件,以调整复合材料的首圈库伦效率范围,并使其满足全电池正极材料的匹配要求,同时使全电池的循环性能和倍率性能得以保持。

标签:
复合材料
福建 - 厦门 来源:中冶有色网 2023-03-18
硅碳复合负极材料和负极片及其制备方法和锂离子电池

本发明属于新能源材料领域,涉及一种硅碳复合负极材料和负极片及其制备方法和锂离子电池。所述硅碳复合负极材料的制备方法包括:S1、将空心二氧化硅微球或者表面包覆有二氧化硅层的碳颗粒材料、苯酚和/或氨基苯酚、甲醛和硅前驱体材料分散于醇胺混合水溶液中,于20~90℃下剧烈搅拌反应至少20min,固液分离,干燥,得到表面具有分形结构的二氧化硅/酚醛复合材料;S2、将二氧化硅/酚醛复合材料在镁粉和/或铝粉的存在下焙烧。该硅碳复合材料用作锂离子电池负极材料时,可以很好地克服充放电过程中体积变化导致的失效,维持良好的导电网络,减少体积膨胀,提高首次可逆容量和首次库伦效率,减少首次循环容量损失,提高循环稳定性。

标签:
复合材料
福建 - 厦门 来源:中冶有色网 2023-03-18
释能毁伤元及制备方法

本发明公开了一种释能毁伤元,所述释能毁伤元的材质为稀土复合材料,所述稀土复合材料的化学式为R‑H‑M,其中R选自Nd、Pr、Dy、Tb、Ho、La、Ce、Pm、Sm、Eu、Gd、Er、Tm、Yb、Lu和Y元素中的至少一种,M选自W或Mo中至少一种,所述稀土复合材料的成分包括4.5wt%~50wt%的R,0.08wt%~1.65wt%的H,余量为M。本发明还公开了一种所述释能毁伤元的制备方法。本发明的释能毁伤元具有高释能,能在无氧环境实现高效释能,可以显著改善金属释能材料的运用环境。

标签:
复合材料
福建 - 厦门 来源:中冶有色网 2023-03-18
超高频RFID蚀刻天线及其制造工艺

本发明公开一种超高频RFID蚀刻天线及其制造工艺,属于物联网RFID领域,蚀刻天线包括承载基材、胶层及蚀刻层,胶层位于承载基材与蚀刻层之间,该蚀刻层为铝箔或铜箔经蚀刻工艺而成型。制造工艺包括如下步骤:①选择铝箔或铜箔,并在其上涂布胶层后与承载基材进行复合,而形成复合基材;②在复合基材的铝箔或铜箔上面形成感光型复合材料;③将需要蚀刻的天线图形制成菲林底片,采用曝光方法,将导线部线路转移至感光型复合材料上面;④将曝光好并贴有感光型复合材料的复合基材进行显影、蚀刻和剥膜,如此形成蚀刻精度公差在±0.02mm和/或端点最小间距≤0.12mm蚀刻天线。本发明与现有技术相比,其线路精度大大提高,进而提高了整个蚀刻天线的性能。

标签:
复合材料
福建 - 厦门 来源:中冶有色网 2023-03-18
导热瓷塑复合材
导热瓷塑复合材 992     
 0

本实用新型涉及一种导热瓷塑复合材,由导热瓷塑复合材料外层(2)、导热塑料内层(3)采用热熔融粘结复合而成或采用聚丙烯酸酯胶黏剂或导热硅脂胶粘复合而成,所述导热瓷塑复合材料外层(2)为填充复合导热纳米氮化铝陶瓷纤维的导热塑料膜层,导热瓷塑复合材料外层(2)的厚度为0.1-2毫米,导热塑料内层(3)的厚度为0.1-2毫米。本实用新型具有热传导率高、电绝缘性好、介电常数低、热膨胀系数小、强度和硬度高等优异的物理化学特性,制备本实用新型复合材料,具有工艺简单、应用领域广、经济社会效益高的特点。

标签:
复合材料
福建 - 厦门 来源:中冶有色网 2023-03-18
铝合金球拍框架改良结构

本实用新型公开一种铝合金球拍框架改良结构,包含铝合金头框、三角部位及手柄段;三角部位分为左、右轭部及月眉;在铝合金头框上至少接入一段碳纤维复合材料管,即在铝合金头框的2点至4点和8点至10点位置对称接入两段碳纤维复合材料管。这样,相对于铝合金材料而言,碳纤维复合材料具有较优的强度、刚性及阻尼特性,铝合金头框中加入碳纤维复合材料管,使之能承受更高的网线张力,并加大了击球的甜区。此结构强度、避震性、打感及重量近似于碳纤维球拍,但成本低,相对而言具有较高的成本效益。此结构适用于网球拍、壁球拍等等。

标签:
复合材料
福建 - 厦门 来源:中冶有色网 2023-03-18
安全帽帽壳的初胚结构
安全帽帽壳的初胚结构 1136     
 0

本实用新型公开了一种安全帽帽壳的初胚结构,其包括由多片热塑性复合材料纱片拼接而成的帽壳初胚;每片所述的热塑性复合材料纱片包括一层由纤维丝束构成的纤维层和至少一层复合在纤维层上并由热塑性材料构成的热塑性材料层。该安全帽帽壳的初胚结构采用多片热塑性复合材料纱片拼接而成,热塑性复合材料纱片可回收再利用,能节省材料成本,并使得该安全帽帽壳的初胚结构具有环保的优点。

标签:
复合材料
福建 - 厦门 来源:中冶有色网 2023-03-18
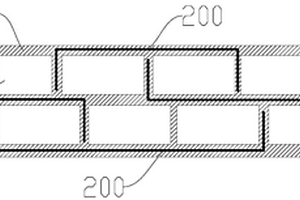
风貌保护墙体的加固结构

本实用新型公开一种风貌保护墙体的加固结构,一种风貌保护墙体的加固结构包括纤维增强水泥基复合材料和加固组件,纤维增强水泥基复合材料用于填充墙体的相邻的砌块之间,加固组件设置为多个,多个加固组件能够嵌于纤维增强水泥基复合材料中,通过纤维增强水泥基复合材料和加固组件来代替原来砌块之间的砂浆灰缝,并不会破坏和改变墙体的结构,可以保护墙体原有的风貌。加固组件包括加固本体和弯折件,加固本体与弯折件连接,加固本体沿水平方向设置,弯折件沿竖直方向设置,以对砌块的水平方向和竖直方向进行约束,保证结构的整体性,提高墙体的承载力,从而实现对墙体进行加固。

标签:
复合材料
福建 - 厦门 来源:中冶有色网 2023-03-18
无铅射线防护墙板
无铅射线防护墙板 1206     
 0

本实用新型公开了一种无铅射线防护墙板,包括第一金属板、第二金属板、钨/聚合物复合材料层、第三金属板和至少一支撑纵梁,第一金属板、钨/聚合物复合材料层、第二金属板和第三金属板彼此平行设置,第一金属板、钨/聚合物复合材料层和第二金属板彼此重叠贴合,第二金属板和第三金属板件具有间隙且通过至少一支撑纵梁彼此相连,上述间隙的尺寸与第一金属板、钨/聚合物复合材料层和第二金属板的总厚度相同。本实用新型的无铅射线防护墙板在具备良好射线屏蔽性能的同时,兼具优良的物理机械性能及快速组装、拆卸的优良特性,可应用于核医疗、核工业及核军事特殊情况下射线防护区域的快速搭建。

标签:
复合材料
福建 - 厦门 来源:中冶有色网 2023-03-18
聚己内酯抗菌纳米复合薄膜的制备方法

本发明提供一种聚己内酯抗菌纳米复合薄膜的制备方法,包括以下步骤:通过利用可溶性Ag+盐和可溶性Fe3+盐协同效应引发吡咯(Py)在层状粘土(LDHs)表面发生化学氧化反应,同时,新形成PPy的化学还原性可以将银离子结合并还原成金属银纳米粒子(AgNP),然后形成聚吡咯(PPy)包覆粘土LDHs获得聚吡咯表面改性层状粘土抗菌粉末(LDHs@PPy‑Ag);最后将LDHs@PPy‑Ag和聚己内酯(PCL)采用溶液浇筑制备出LDHs@PPy‑Ag/PCL纳米复合薄膜。本发明通过表面有机包覆物PPy来增加LDHs与基材PCL之间界面相容性和结合力,提高最终纳米复合材料的力学性能和气体阻挡性等,并赋予复合薄膜优异抗菌性能,最终拓展表面改性层状粘土/生物基高分子复合材料在活性包装领域的应用,制备方法简单,条件易于控制,适合大规模生产。

标签:
复合材料
福建 - 厦门 来源:中冶有色网 2023-03-18
适应感性及容性负载的继电器触点组合

适应感性及容性负载的继电器触点组合,涉及电触点材料。提供可解决继电器动作过程中触点粘接而失效等问题,可按电子逸出功大小和性能优势互补进行组合的一种适应感性及容性负载的继电器触点组合。所述适应感性及容性负载的继电器触点组合为动、静触点采用不同复合材料的组合,复合材料包括AgSnO2、AgCdO、AgZn、AgNi等。组合可按电子逸出功的要求选择电子能量大小不同的电触点组合继电器动、静触点。有效地提高原有继电器的应用特性,产生了互补效应和新的接触电效应;且有效解决继电器的粘接问题,大大延长继电器在感性及容性负载情况下的使用寿命。适应各种继电器,依据各种继电器的使用要求选择不同材料触点进行组合即可。

标签:
复合材料
福建 - 厦门 来源:中冶有色网 2023-03-18
风貌保护墙体的加固结构及加固方法

本发明公开一种风貌保护墙体的加固结构及加固方法,其中,一种风貌保护墙体的加固结构包括纤维增强水泥基复合材料和加固组件,纤维增强水泥基复合材料用于填充墙体的相邻的砌块之间,加固组件设置为多个,多个加固组件能够嵌于纤维增强水泥基复合材料中,通过纤维增强水泥基复合材料和加固组件来代替原来砌块之间的砂浆灰缝,并不会破坏和改变墙体的结构,可以保护墙体原有的风貌。加固组件包括加固本体和弯折件,加固本体与弯折件连接,加固本体沿水平方向设置,弯折件沿竖直方向设置,以对砌块的水平方向和竖直方向进行约束,保证结构的整体性,提高墙体的承载力,从而实现对墙体进行加固。

标签:
复合材料
福建 - 厦门 来源:中冶有色网 2023-03-18
制造复材管件的方法
制造复材管件的方法 913     
 0

本发明公开了一种制造复材管件的方法,其包括以下步骤:材料制作、预堆叠复合材料、入模、热固成型、管件脱模和内芯取出。通过在预堆叠复合材料的时候,使用金属芯支撑风管和复合材料,保证复合材料层的结构稳定性,使预成型管件具有稳定的形状,从而提高管件生产的优良率。

标签:
复合材料
福建 - 厦门 来源:中冶有色网 2023-03-18
新型复材加工成型气袋
新型复材加工成型气袋 1111     
 0

本发明涉及薄膜技术领域,特别是一种应新型复材加工成型气袋,与现有技术对比,该新型复材加工成型气袋采用吸塑工艺成型或者熔融挤出成型,应用于碳纤维复合材料成型工艺中,在碳纤维复合材料成型工艺中,该气袋制成3D立体造型结构,碳纤维复合材料预浸料直接包在该气袋上,预型好的产品放入模具内进行吹气加热成型,成型后成抽出该气袋,该气袋既充当芯轴,又充当吹气成型气袋,使成型后的复合材料产品内壁平顺、无皱折,同时由于只有一个进气口,因此杜绝了由于进气口太多造成风压不同步,使气袋被冲爆的现象,降低了产品的报废率,同时具有制造成本低、工艺简单、使用方便等优点,并可全面替代现有技术中的发泡聚乙烯成型工艺。

标签:
复合材料
福建 - 厦门 来源:中冶有色网 2023-03-18
可自再生乙醇燃料电池阳极催化剂的制备方法

一种可自再生乙醇燃料电池阳极催化剂的制备方法,依次制备TiO2、f‑TiO2、PdM/f‑TiO2复合材料和可自再生乙醇燃料电池阳极催化剂。以f‑TiO2为催化剂载体,以NaBH4为还原剂一步还原金属Pd与M的前驱体溶液,得PdM/f‑TiO2复合材料。利用电化学溶出法,将部分助催化金属纳米粒子优先溶出,提高催化剂的电化学活性表面积,得具有超高稳定性的、可自再生的乙醇燃料电池阳极PdM/f‑TiO2催化剂。采用环境友好、简单易行的途径制备稳定性超高、可自再生的直接乙醇电催化氧化PdM/f‑TiO2纳米催化剂。为解决直接乙醇燃料电池阳极催化剂价格昂贵、长期稳定性差的问题提供途径。

标签:
复合材料
福建 - 厦门 来源:中冶有色网 2023-03-18
熔融碳酸盐燃料电池中多孔镍基阴极材料的表面改性方法

涉及一种熔融碳酸盐燃料电池中多孔镍基阴极 材料的表面改性方法,采用溶胶—凝胶法制备LiCoO2纳米粉,以电泳沉积法在多孔Ni基体上修饰LiCoO2纳米粉,其电压为125~150V,电流1~20mA,电泳时间1~2min,电泳沉积后的Ni基体经100~650℃煅烧后得覆有薄层LiCoO2超细微晶的Ni-LiCoO2复合材料;还可在含氧气的气氛下,对Ni-LiCoO2复合材料进行原位预氧化处理,经电泳沉积的Ni基体因表面覆盖的LiCoO2陶瓷层晶粒细化,强度和韧性高,且LiCoO2覆盖均匀,可避免龟裂。解决了MCFC阴极材料在启动早期的形变和运行过程的溶解问题,延长运行寿命。

标签:
复合材料
福建 - 厦门 来源:中冶有色网 2023-03-18
安全帽帽壳的初胚结构及安全帽帽壳的生产方法

本发明公开了一种安全帽帽壳的初胚结构,其包括由多片热塑性复合材料纱片拼接而成的帽壳初胚;每片所述的热塑性复合材料纱片包括一层由纤维丝束构成的纤维层和至少一层复合在纤维层上并由热塑性材料构成的热塑性材料层。该安全帽帽壳的初胚结构采用多片热塑性复合材料纱片拼接而成,热塑性复合材料纱片可回收再利用,能节省材料成本,并使得该安全帽帽壳的初胚结构具有环保的优点。本发明还公开了一种安全帽帽壳的生产方法,利用该生产方法制造的安全帽帽壳具有可回收利用和强度高的优点。

标签:
复合材料
福建 - 厦门 来源:中冶有色网 2023-03-18
利用MnOx/SBA-15–PMS复合体系高效快速去除安替比邻的方法及应用

本发明公开了利用MnOx/SBA-15–PMS复合体系高效快速去除安替比邻的方法及应用。该方法包括:(1)在不同合成条件下制备MnOx/SBA-15(MS)复合材料;(2)配制浓度为0.5~50mg/L安替比邻目标溶液,并将其pH调为3~11;(3)分别向安替比邻目标液中加入一定量的MS复合材料和过硫酸氢钾(PMS),并置于室温下反应。本发明首次发现MS–PMS催化氧化复合体系能快速而高效地去除安替比邻,且在pH值变化较大的反应条件下也能维持较高的去除率(均﹥90%)。本发明过程易于操作、工艺简单且对设备要求不高;所使用MS复合催化材料易于再生和重复利用。本发明可广泛用于水环境中新兴污染物的去除,具有广阔的市场应用前景。

标签:
复合材料
福建 - 厦门 来源:中冶有色网 2023-03-18
石墨稀压铸成形工艺
石墨稀压铸成形工艺 908     
 0

本发明公开了一种石墨稀压铸成形工艺如下:步骤1:取塑料放入成型温度下的模具型腔中,形成所需石墨稀散热器的模具,所述模具包括定模和动模;步骤2:将模具的定模固定在锻压机的下基面分,定模配置有加热设采用电加热棒方式;步骤3:将模具的动模固定在锻压机的上基面,上下对齐;步骤4:将石墨烯复合材料颗粒投入定模中的放料仓,将放料仓里的料规平整;步骤5:通过锻压机带动动模下降,使上下合模,并进行加热,在设定保压时间内使石墨烯复合材料颗粒充分反应固化,形成固化的产品;步骤6:由顶出机构的顶针将定模第一型腔结构中的成型产品顶出,完成压铸。本发明公开的工艺可以有效解决石墨稀压铸成形难、效率低、成本高的问题。

标签:
复合材料
福建 - 厦门 来源:中冶有色网 2023-03-18
提高LED可见光通讯带宽的方法

本发明公开了一种提高LED可见光通讯带宽的方法,包括如下步骤:(1)通过超分子组装或孔道负载将一种或多种发光速率大于0.1ns‑1的荧光分子组装于框架基材,形成发光复合材料;(2)将上述发光复合材料与LED芯片复合以构造形成白光LED用于可见光通讯。本发明通过化学方法合成发光速率快、量子产率高的荧光粉材料,取代商业LED目前所使用的稀土荧光粉,提高LED的响应频率,进而加快基于LED的可见光通讯速率。

标签:
复合材料
福建 - 厦门 来源:中冶有色网 2023-03-18
锂锰电池二氧化锰/银复合阴极的制备方法

锂锰电池二氧化锰/银复合阴极的制备方法,涉及一种锂锰电池阴极,提供一种在大电流放电条件下能提供高比容量和高比能量的锂锰电池二氧化锰/银复合阴极的制备方法。其步骤为将电解二氧化锰热处理后倒入镀银液中,镀银温度12~40℃,搅拌后过滤并洗涤,真空干燥后制成二氧化锰/银复合材料;制备电极采用泡沫镍填充方法,将二氧化锰/银复合材料和乙炔黑混合均匀,加入PTFE乳液,调成均匀的粘状物,将其填充在泡沫镍内,烘干,压制成型,再真空烘干。二氧化锰的导电性能差,附在其表面具有高电导率的银大大改善了阴极的导电性,使得二氧化锰电极在大电流放电条件下的比容量和比能量获得大幅度的提高。

标签:
复合材料
福建 - 厦门 来源:中冶有色网 2023-03-18
双向拉伸聚酮共挤阻隔薄膜及其制备方法

本发明提供一种双向拉伸聚酮共挤阻隔薄膜及其制备方法,其中,该双向拉伸聚酮共挤阻隔薄膜,包括聚酰胺外表层、第一聚酮复合材料层、聚酰胺抗菌芯层、第二聚酮复合材料层、聚酰胺内表层;第一聚酮复合材料层和第二聚酮复合材料层的组分以质量百分比计包括:聚酮树脂45%~71.5%,半芳香族聚酰胺MXD6 15%~30%,相容剂3%~8%,聚丙烯酸10%~15%,润滑剂0.5%~2%。该双向拉伸聚酮共挤阻隔薄膜具备优异的阻隔性能,耐穿刺性能,适合高温蒸煮和水煮,低温冷藏软包装领域。

标签:
复合材料
福建 - 厦门 来源:中冶有色网 2023-03-18
以马尼拉草为碳源的复合电极材料的制备及其应用

一种以马尼拉草为碳源的复合材料的制备方法,其包括:S1、将马尼拉草干燥后切段,置于真空环境下碳化得到多孔碳材料;S2、将所述多孔碳材料浸于钴源溶液中进行超声处理使其相互浸润,得到混合溶液;其中,所述钴源溶液为含钴化合物的水溶液,所述含钴化合物选自硝酸钴、氯化钴或草酸钴中的一种或多种;S3、将所述混合溶液转移到高压反应釜中进行溶剂热反应,反应产物经过滤、洗涤、干燥后,冷却得到复合材料。本发明还涉及由上述方法制备得到的以马尼拉草为碳源的复合材料及其在超级电容器中的应用。本发明提供的以马尼拉草为碳基负载的复合材料具有优异的电化学性能,在储能、转化、催化剂和其它相关应用领域具有很大的应用前景。

标签:
复合材料
福建 - 厦门 来源:中冶有色网 2023-03-18
上一页 10 11 12 13 14 ... 32 下一页
共32页    到第

中冶有色为您提供最新的福建厦门有色金属复合材料技术理论与应用信息,涵盖发明专利、权利要求、说明书、技术领域、背景技术、实用新型内容及具体实施方式等有色技术内容。打造最具专业性的有色金属技术理论与应用平台!

全国热门有色金属设备推荐
展开更多 +
全国热门有色金属技术推荐
展开更多 +

 

江西省隆恩特环保设备有限公司
宣传

报名参会
更多+

报告下载

有色专家
更多+

蒙纳士苏州校区
中国工程院外籍院士/校长
矿冶科技集团有限公司
所长/研究员级高工
江西铜业集团有限公司
党委书记、董事长
中南大学
粉末冶金国家重点实验室 主任
清华大学
研究员
赤泥综合利用研究报告2025
推广

热门技术
更多+

推荐企业
更多+

福建省金龙稀土股份有限公司
宣传

发布

在线客服

公众号

电话

顶部
咨询电话:
010-88793500-807