青岛垚鑫智能科技有限公司
宣传

位置:中冶有色 >

有色技术频道 >

> 复合材料技术

分类:
全部
矿山技术
冶金技术
材料制备及加工技术
环境保护技术
分析检测技术
 
全部
功能材料技术
复合材料技术
新能源材料技术
合金材料技术
加工技术
地区:
全部
北京
天津
上海
重庆
河北
山西
辽宁
吉林
黑龙江
江苏
浙江
安徽
福建
江西
山东
河南
湖北
湖南
广东
海南
四川
贵州
云南
陕西
甘肃
青海
内蒙
广西
西藏
宁夏
新疆
其他
其他
展开
 
全部
南京
无锡
徐州
常州
苏州
南通
连云港
淮安
盐城
扬州
镇江
泰州
宿迁

江苏有色金属复合材料技术理论与应用

免费发布技术信息>>
基于羟基染料/无机复合的非线性光学聚合物及制备方法

本发明公开了一种基于羟基染料/无机复合的非线性光学聚合物及制备方法,将Sol-Gel法应用于非线性光学聚合物的制备,能在低于有机生色团的分解温度下,将无机玻璃与有机生色团进行掺杂或键合制备有机/无机复合非线性光学聚合物,通过无机玻璃的刚性无定型三维结构和优良的高温稳定性来抑制有机非线性光学生色团的取向松弛,提高非线性光学聚合物的高温稳定性。这种方法制备的聚合物具有良好的高温稳定性、可突破溶解度对有机生色团在复合材料中含量的限制、更易于成膜,有利于器件化。本发明的基于羟基染料/无机复合的非线性光学聚合物可应用于光通讯、光电子学和光信息处理等领域。

标签:
复合材料
江苏 - 无锡 来源:中冶有色网 2023-03-18
含雪松或香樟木粉的复合新型材料及由此制得的仿木衣架

含有雪松木粉或香樟木粉成份的复合新型材料以及由该材料制得的仿木衣架,涉及复合材料,在复合新型材料中加入了雪松木粉或香樟木粉成份,将雪松木粉或香樟木粉和高分子树脂混合后与植物纤维或粉末复合,植物纤维或粉末包括在选材过程中使用至少一部分天然的植物纤维或粉末。对于高分子树脂,雪松木粉或香樟木粉可于该高分子树脂混合,也可以与至少部分由该高分子树脂组成的混合物中混合。将这种复合新型材料制成各种形状的衣架,能够有效的发挥很好的防虫功效,并且散发具有与雪松或香樟相同的香味,同时可保持低的生产成本。

标签:
复合材料
江苏 - 无锡 来源:中冶有色网 2023-03-18
Ag纳米颗粒复合CoSb3基热电材料的制备方法

一种Ag纳米颗粒复合CoSb3基热电材料的制备方法,本发明通过将AgNO3的乙醇溶液以化学浸润的方法滴入压实后的CoSb3粉末预烧结体中,利用浸润效应使热电材料粉末颗粒表面包覆上一层AgNO3溶液膜,然后快速烘干促使液膜收缩析出纳米级AgNO3颗粒分散于CoSb3粉末颗粒表面,最后利用放电等离子烧结技术快速烧结,利用高温促使AgNO3分解,得到Ag纳米颗粒均匀的分散于CoSb3基体晶界的热电复合材料。该方法克服了传统直接加入纳米颗粒不易分散的缺点。Ag具有高的电导率,因此Ag纳米颗粒的加入能够实现在不降低电导率的基础上使热导率降低,从而提高热电优值ZT。

标签:
复合材料
江苏 - 无锡 来源:中冶有色网 2023-03-18
自支撑的双金属基电极材料、其制备方法及应用

本发明公开了一种自支撑的双金属基电极材料、其制备方法及应用,该材料为核壳结构,核为在泡沫镍基体上负载的ZnCo2O4‑ZnO,壳为沉积于ZnCo2O4‑ZnO复合物表面的CoS。该方法为:对泡沫镍预处理;在泡沫镍上原位生长ZnxCo1‑x(OH)2前驱体,煅烧后得到ZnCo2O4‑ZnO;通过电沉积法在ZnCo2O4‑ZnO@C表面沉积CoS,得到该复合材料。该材料形成了稳定的三维结构,具有较高的比表面积和大量的活性位点,并与电解质充分接触,材料内部有足够的自由空间,可以有效缓解长期的法拉第反应;表现出较高的能量密度高、较长的循环寿命;该制备方法工艺简单,成本低廉,重现性强。

标签:
复合材料
江苏 - 无锡 来源:中冶有色网 2023-03-18
用于钠离子电池的镍钴双金属碲化物电极材料及其制备方法和应用

本发明公开了一种用于钠离子电池的镍钴双金属碲化物电极材料及其制备方法和应用,制备方法步骤如下:S1,将2‑甲基咪唑和表面活性剂加入到甲醇溶液中并进行搅拌均匀,得到混合液A;S2,将六水合硝酸镍、六水合硝酸钴加入到甲醇溶液中并进行搅拌,使得六水合硝酸镍与六水合硝酸钴在甲醇溶液中均匀混合,得到混合液B;S3,将混合液A与混合液B混合、搅拌反应,之后进行离心收集、洗涤、干燥,得到固体粉末;S4,将所述固体粉末和碲粉分别放在瓷舟内,在惰性气体保护下,于450‑600℃进行高温碲化,使镍钴氢氧化物转变为金属有机骨衍生的镍钴双金属碲化物复合材料,得到所述用于钠离子电池的镍钴双金属碲化物电极材料。

标签:
复合材料
江苏 - 无锡 来源:中冶有色网 2023-03-18
TiAl原位复合结构的成形方法

本发明公开了一种TiAl原位复合结构的成形方法,包括以下步骤:将TiAl合金粉末置入粉末床增材制造设备粉末仓中;设计模具包套及支撑骨架的三维模型,将三维模型导入粉末床增材制造设备控制软件中;将粉末床增材制造设备成形仓抽真空,形成真空负压环境;使用粉末床增材制造设备在成形仓中逐层成形模具包套及支撑骨架;将模具包套从粉末床中取出并置入热等静压设备中,冲入压力介质并加温,模具包套及其内部包裹的粉末床和粉末床中的支撑骨架在热等静压设备的高温高压环境下致密化,得到TiAl合金原位复合材料。该方法利用粉末床增材制造技术原位制备模具包套及支撑骨架,通过热等静压技术实现致密化的金属复合结构粉末成形,实现了材料力学性能的均衡。

标签:
复合材料
江苏 - 无锡 来源:中冶有色网 2023-03-18
氮化硼泡沫陶铝材料及其制备方法

本发明涉及一种氮化硼泡沫陶铝材料及其制备方法,采用硼纤维、氮化硼粉末、粘结剂、溶剂、减水剂,球磨,调制成波美比重分别为2.0‑2.6和1.6‑1.8的两种浆料;聚氨酯泡沫塑料作前驱体,放到2.0‑2.6的浆料中浸渍,再用波美比重为1.6‑1.8的浆料对坯体涂覆,干燥;升温素烧;坯体在1.6‑1.8的浆料中浸渍,干燥;坯体升温到烧成温度;随后冷却至室温出窑,获得泡沫陶瓷;将泡沫陶瓷放入炉膛下腔,铝锭放置在炉膛上腔,采用真空气压浸渗,完成后关闭烧结炉,制成陶铝复合材料。本发明采用的泡沫陶瓷孔隙率高、孔洞通透,易于浸渗铝合金,制备的陶铝材料成分分布均匀,密度低、强度高、硬度高,性能稳定。

标签:
复合材料
江苏 - 无锡 来源:中冶有色网 2023-03-18
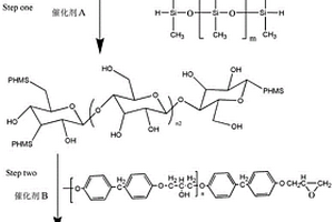
多羟基环状聚合物/聚硅氧烷改性环氧树脂及其制备方法和应用

本发明提供了一种多羟基环状聚合物/聚硅氧烷改性环氧树脂及其制备方法和应用。该改性改性环氧树脂包括质量比为(10‑100)︰(10‑100)︰(2‑40)的多羟基环状聚合物、聚硅氧烷、环氧树脂。改性改性环氧树脂通过基体树脂、混合环氧树脂、改性环氧树脂三种不同结构的环氧树脂,共同形成结构稳定、层次鲜明且为互穿网络的三位网络结构的环氧复合材料。其中,多羟基环状聚合物为绿色无污染、可再生的自然资源,对于循环经济、可持续经济具有较好的应用价值。以本发明的多羟基环状聚合物/聚硅氧烷改性环氧树脂为原料制得的高耐冷热冲击底部填充胶,阻燃性能达到UL‑94V0,氧指数达到29以上,通过1000次高低温冷热循环后,具有较好粘接性、弯曲性、绝缘性。

标签:
复合材料
江苏 - 无锡 来源:中冶有色网 2023-03-18
金属有机框架包覆钛酸钡/铁电聚合物的复合电介质薄膜材料及其制备方法、应用

本发明公开一种金属有机框架包覆钛酸钡/铁电聚合物的复合电介质薄膜材料及其制备方法、应用,该制备方法利用金属有机框架材料包覆钛酸钡,一方面可以将无机纳米钛酸钡陶瓷填料均匀地镶嵌在金属有机框架材料中,进而能够有效改善其在铁电聚合物基体中的分散性,极大地克服无机陶瓷填料在有机聚合物基体中易发生团聚的现象;另一方面,金属有机框架材料的绝缘性能极佳,与铁电聚合物相容性更佳,有利于提高复合材料体系整体的击穿场强。本发明的制备方法通过在钛酸钡陶瓷填料和铁电聚合物基体两相之间引入有机金属框架材料,有效克服了现有技术中陶瓷填料在基体中的相容性差,击穿场强较低等瓶颈问题。

标签:
复合材料
江苏 - 无锡 来源:中冶有色网 2023-03-18
组合物、制备方法及其在饮用水净化领域的应用

本发明属于复合材料技术领域,尤其涉及一种组合物、制备方法及其在饮用水净化领域的应用。本发明提供了一种组合物,包括:海藻酸钠、碳酸钙、葡萄糖酸内酯、次氯酸钠、过氧剂、絮凝剂、纳米杀菌剂以及乙基纤维素。本发明还提供了上述组合物的制备方法,本发明还提供了上述组合物或制备方法得到的产品在饮用水净化领域的应用。本发明所得产品,含过氧剂、杀菌剂、絮凝剂等净化成分,具有吸附、絮凝、杀菌消毒的作用;经实验检测,对样品河水净化后,COD、BOD及SS均显著降低,杀菌率显著提高,且对样品pH影响不大;净化过程中产生气体会使得产品漂浮在水表面便于回收;解决现有技术中,饮用水净化剂存在着净化效果差、成本高以及回收不便的技术缺陷。

标签:
复合材料
江苏 - 无锡 来源:中冶有色网 2023-03-18
用于监测体表湿度的柔性纤维汗液传感器

本发明公开了一种用于监测体表湿度的柔性纤维汗液传感器,其特征在于:包括纤维基底,在所述纤维基底上涂覆湿敏功能材料,所述纤维基底的两端连接导电线,或者在纤维基底的中部涂覆湿敏功能材料,两端涂覆导电材料,所述湿敏功能材料为功能导电材料与亲水聚合物的复合材料。该柔性纤维汗液传感器具有高贴合度、能够适应人体弯曲表面、低成本的特点,可以实现对人体体表湿度变化的实时监测,可应用于人体大健康、大数据等。

标签:
复合材料
江苏 - 无锡 来源:中冶有色网 2023-03-18
聚酯用耐高低温阻燃剂、制备方法及其应用

本发明提供了一种聚酯用耐高低温阻燃剂、制备方法及其应用,聚酯用耐高低温阻燃剂包括如下原料:苯基磷腈类化合物、羟基吡嗪类化合物、浓硫酸,苯基磷腈类化合物的官能度为1,羟基吡嗪类化合物为2或3。本发明以苯基磷腈类化合物、羟基吡嗪类化合物为原料,在浓硫酸的催化作用下发生腈基的醇解成酯反应,产物与PET具有良好的相容性,可在不对PET机械性能造成过多损伤的前提下还能高效阻燃,包含这种阻燃剂的PET复合材料的耐高低温循环老化性能优异。本发明合成的阻燃剂热稳定性好,在阻燃过程中不会释放有害气体,添加少量即可取得良好的阻燃效果。本发明制备方法简单,适合大规模生产使用。

标签:
复合材料
江苏 - 无锡 来源:中冶有色网 2023-03-18
纳米花形锌镍双金属有机骨架材料的制备及应用

本发明提供了一种纳米花形锌镍双金属有机骨架材料的制备方法,以ZnO微球为锌源,添加Ni2+和2,5‑二羟基对苯二甲酸,在聚乙烯吡咯烷酮调控下通过水热法合成纳米花形Zn/Ni‑MOF‑74复合材料。通过调节聚乙烯吡咯烷酮的加入量可以实现对Zn/Ni‑MOF‑74的精准调控。以聚乙烯吡咯烷酮为分散剂和模板剂,可以很好的分散溶液中的ZnO和Ni2+,使得金属有机骨架材料有序生长。纳米花形结构的Zn/Ni‑MOF‑74暴露出大量开放的金属位点,具有较高的比表面积、较大的传质空腔及良好的空隙等优点,有望作为一种性能优异的固相萃取吸附剂,用于环境中痕量污染物的富集和分离。

标签:
复合材料
江苏 - 无锡 来源:中冶有色网 2023-03-18
二噁英的净化分离方法

本发明公开了一种二噁英的净化分离方法,涉及分离技术领域,包括以下步骤:(1)将含二噁英的污染源萃取、浓缩,得到浓缩液;(2)将第一溶剂加入上述浓缩液中,得到稀释液;(3)将所述稀释液移入层析柱中,以至少两种溶剂对所述稀释液中的二噁英进行净化和分离,得到含二噁英的洗脱液;其中,所述层析柱内填充有碳硅胶吸附剂,所述碳硅胶吸附剂为碳化后的聚苯胺硅胶复合材料。采用本发明,操作简单,只需一次净化分离处理,即可实现对二噁英的快速净化分离,同时有效提高二噁英的回收率。

标签:
复合材料
江苏 - 无锡 来源:中冶有色网 2023-03-18
高炉煤气有机硫水解用催化剂及其制备和应用方法

本发明公开了一种高炉煤气有机硫水解用催化剂及其制备和应用方法,其为负载MoO3和Cs2O的Al2O3‑ZrO2复合材料,记为MoxCs4@Al2O3‑ZrO2,x=5‑15,MoO3的负载量为5‑15wt%,Cs2O的负载量为4wt%。Cs2O的碱性强,可显著提高催化的表面碱性位;MoO3可与COS形成Mo‑S键,吸附混合活化COS。与现有技术相比,本发明的催化剂具有高比表面积,活性组分具有更高的分散性,并且表面具有更多的碱性羟基活性位,在COS水解反应中具有良好的催化性能,发达的孔结构保证了水解过程产生的硫酸盐不易堵塞孔道或覆盖表面而使催化剂失活,催化剂也具有高稳定性。

标签:
复合材料
江苏 - 无锡 来源:中冶有色网 2023-03-18
超低介电树脂新材料的制备方法及其设备

本发明公开的一种超低介电树脂新材料的制备方法,包括以下步骤:S10、烘干:通过80‑90℃的循环热风对PBT树脂单体进行干燥,烘干时间3‑4h,使得所述PBT树脂单体水分含量低于0.2%;S20、按质量百分比称取粉末状PBT树脂单体、玻璃微珠、低介电纤维、增韧剂和抗氧剂,进行混合,然后搅拌均匀;S3、冷却成型:直线流动的熔体通过所述主模出口被均匀流入导流板,通过所述导流板进行分流,分别进入水槽内冷却成型,并经过冷风系统进行吹干;S4、切粒:将成型后的线材进行切粒。本发明通过低介电纤维粉末和玻璃微珠的添加来降低树脂的介电常数,提高了材料的性能稳定性,获得具有超低介电常数的玻璃微珠/树脂复合材料。

标签:
复合材料
江苏 - 无锡 来源:中冶有色网 2023-03-18
锂硫电池多孔自支撑柔性电极材料及其制备方法

本发明公开了一种锂硫电池多孔自支撑柔性电极材料及其制备方法。本发明提供的锂硫电极材料为磷化镍、碳布和硫单质形成的复合材料。所述制备方法为利用化学浴沉积、硫单质复合和低温磷化反应制备具有多孔结构的Ni2P/S/CC自支撑柔性电极材料。这种自生长活性物质的方法避免了粘结剂的使用,以使活性物质和基底之间直接接触以降低电极内阻。多孔结构的Ni2P/S/CC自支撑柔性电极材料能有效的对硫进行包覆,起到很好的固硫作用,同时低温磷化制备的自支撑Ni2P和CC二者产生的协同效应有效地提高了活性物质的利用率,进而提高了锂硫电池的比容量和循环稳定性,在0.1C下电池的首次充放电比容量达1100mAh/g。

标签:
复合材料
江苏 - 无锡 来源:中冶有色网 2023-03-18
无人机机体模块化合拢工装平台及其使用方法

本发明无人机机体模块化合拢工装平台及其使用方法涉及的是一种用于复合材料板件的无人机机体模块化合拢工装平台及其使用方法。包括基础平台、主体结构件、下板件合拢件和上板件合拢件;主体结构件组成了工装的主体框架,快速拼接重复构建反复使用,主体结构件包括几种不同高度的支撑杆、压板、基础定位板、连接板和下板件托框;下板件合拢件包括下板件限位板、下翼安装组件、前发射支点安装组件、后射支点安装组件、立式框板定位座、进气道前端定位组件和进气道后端定位组件;上板件合拢件包括机头安装组件、上板件限位板、尾翼安装组件、上板件安装框组件和机翼安装滑台。所述基础平台,开有矩阵式梯形槽,用于各种不同机型的机体合拢工装平台。

标签:
复合材料
江苏 - 无锡 来源:中冶有色网 2023-03-18
纳米氧化物颗粒弥散强化铜及其制备方法

一种纳米氧化物颗粒弥散强化铜及其制备方法,属于金属基复合材料制备领域。首先,采用感应熔炼与熔体雾化技术制备与基体合金熔体润湿性好、比重接近的Zr4Cu2O氧化物粉体,氧化物粉体大小可控制在5~100μm。然后,根据目标ODS‑Cu的性能与组织设计需要,选择特定颗粒尺寸和重量分数的Zr4Cu2O氧化物粉体,将其与基体铜组元金属一起作为原料,配置目标合金。最后,采用感应熔炼技术熔铸制备公斤级ODS‑Cu材料。本发明制备过程中能够避免熔炼时氧化物粉末的漂浮与偏聚,基于此能够成功实现组织均匀性良好的公斤级ODS‑Cu的熔铸法制备。制备条件不苛刻、原料与制备成本低、重复性好,且氧化物颗粒增强体的大小与含量可有效调控;全部工艺流程简单、高效、可控,易实现规模化生产。

标签:
复合材料
江苏 - 无锡 来源:中冶有色网 2023-03-18
胶囊型高阻燃防火保温装饰板的制备方法

本发明公开了一种胶囊型高阻燃防火保温装饰板的制备方法,包括无机复合保温防火填充层和无机复合防火面层的制备,在通过无机复合防火面层、无机复合保温防火填充层、无机复合防火面层的顺序进行粘压复合得到复合装饰板,最后喷涂抗氧化剂、自然养护后获得最终的高阻燃防火保温装饰板;本发明通过两种无机复合材料层叠加组成,在外部的无机复合防火面层内混合有无机玻璃纤维、木质纤维、阻燃剂和石墨粉,且压板时在板材中间增加玻璃纤维布,极大的提高了装饰板的阻燃性和强度,内部的无机复合保温防火填充层混合有氧化镁、氧化铁矿粉、云母粉、硅灰粉、石蜡微胶囊和石英砂,提高板材的硬度的同时,增强保温性能,装饰板具有良好耐磨性。

标签:
复合材料
江苏 - 无锡 来源:中冶有色网 2023-03-18
大容量动力锂离子二次电池负极材料的制备方法

本发明涉及一种大容量动力锂离子二次电池负极材料的制备方法。以硫酸溶液和硅酸钠溶液为原料,在硫酸溶液和硅酸钠溶液中加入晶型控制剂;先将硫酸溶液打入反应釜内,再将硅酸钠溶液打入反应釜内与硫酸溶液反应,制得高纯二氧化硅;再与交联剂反应,所得产品室温干燥;制得C/SiO2复合材料。以此为大容量动力锂离子二次电池负极材料。有益效果是:1)在硫酸溶液中添加助剂异丙醇或二丙二醇,在硅酸钠溶液中添加助剂氯乙酸,通过添加助剂控制凝胶粒的孔容、晶核形状和生长速度;2)在老化过程中先添加扩孔剂三乙胺或叔丁胺,对凝胶粒进行扩孔,对所得的凝胶粒的微孔进行扩容,再采用老化剂十二醇将凝胶粒快速老化,使得到的凝胶粒快速固化。

标签:
复合材料
江苏 - 无锡 来源:中冶有色网 2023-03-18
航空油量传感器测量组件、成型方法及油量传感器

本发明公开了一种航空油量传感器测量组件、成型方法及油量传感器,航空油量传感器测量组件,包括作为油量传感器测量电容其中一极电极的外管,所述外管包括从外至内依次设置的外层、中间层和内层,所述外层、内层采用碳纤维材料,中间层采用非金属绝缘材料。油量传感器的测量组件采用非金属复合材料,在保证测量组件测量性能的情况下,能够实现对油量传感器的减重;同时,外管、内管采用碳纤维材料,在减重的同时能够有效提高测量组件的结构强度,提高油量传感器的使用寿命。

标签:
复合材料
江苏 - 无锡 来源:中冶有色网 2023-03-18
辐照改性凹凸棒土/活性炭复合炭棒及其制备方法

本发明公开了一种辐照改性凹凸棒土/活性炭复合炭棒的制备方法,包括以下步骤:(1)将凹凸棒土溶于水中,进行酸化处理后烘干,研磨,进行辐照改性处理;(2)将辐照改性凹凸棒土与活性炭混合后,溶于水中,加入乙酸,置于马弗炉中焙烧;(3)将步骤(2)得到的复合材料、氧化锌抗菌剂、粘结剂和磷酸盐置于混合机中混合均匀,模具压铸成型,高温煅烧,冷却后即得辐照改性凹凸棒土复合炭棒;本发明将凹凸棒土进行酸处理以及辐照处理后,大大地增加了其孔道结构,再与活性炭复合后制成的复合炭棒,具有高效吸附性能以及低制备成本。

标签:
复合材料
江苏 - 无锡 来源:中冶有色网 2023-03-18
具有净化室内空气功能的贻贝壳涂料及其制备方法

本发明涉及涂料领域,公开了一种具有净化室内空气功能的贻贝壳涂料及其制备方法。该涂料由以下成分及重量份组成:30‑60份Bi‑Bi2O3/微纳米贻贝壳复合材料,填料25‑45份,苯丙乳液20‑30份,醋丙乳液9‑10份,纯丙乳液5‑20份,聚醚类表面活性剂10‑20份,天然橡胶3‑5份,纤维素胶体2‑3份,淀粉胶体5‑6份,色料2‑5份,甲基丙烯酸1.2‑1.5份,过氧化物引发剂0.1‑1.5份,去离子水2‑3份。该涂料具有净化室内空气功能,安全环保、性能优异、使用范围广泛,制备方法简单、绿色环保、易规模化生产,为解决贻贝壳资源浪费及提高Bi‑Bi2O3的催化活性提供有效途径。

标签:
复合材料
江苏 - 无锡 来源:中冶有色网 2023-03-18
卷绕式锂离子电池负极极片的制备方法

本发明专利属于锂离子电池技术领域,尤其涉及一种卷绕式锂离子电池负极极片的制备方法,所述卷绕式锂离子电池负极极片由活性材料浆料涂覆于负极集流体上后经干燥、辊压、分切制备而成,涂覆于负极集流体上的活性材料浆料干燥后形成活性材料层,所述活性材料浆料按重量百分比,包括硅碳复合材料96.5%、炭黑1%、碳纤维混合导电剂0.5%、丁苯橡胶1%和羧甲基纤维素钠1%;所述活性材料层的表面开设有负极极片宽度方向的凹槽。本发明通过在卷绕式锂离子电池负极极片上设置凹槽,具有易于成型、为电解液浸润提供了更多的空间与通道,延长锂离子电池的使用寿命的优点。

标签:
复合材料
江苏 - 无锡 来源:中冶有色网 2023-03-18
高熵合金材料及其制备方法

本发明公开了一种高熵合金材料,属于金属复合材料及冶金技术领域,以摩尔百分比计,其化学成分由以下元素组成:Fe19%‑21%、Mn15%‑17%、Cu15%‑17%、Cr15%‑17%、V15%‑17%、Ti15%‑17%、B0.1%‑0.3%和不可避免的杂质;本发明还公开了一种高熵合金材料的制备方法,包括电炉冶炼、雾化制粉、粉末包套及封装、粉末热轧成型四个步骤,制备的高熵合金具有成分均匀、高强度、高硬度、良好的韧性和耐腐性能,且制备工艺简单,生产效率高。

标签:
复合材料
江苏 - 无锡 来源:中冶有色网 2023-03-18
宽温域复合质子交换膜及其制备方法

本发明公开了一种宽温域复合质子交换膜及其制备方法。该宽温域复合质子交换膜的制备方法,包括以下步骤:制备蒙脱土相互插层氧化石墨烯复合材料;制备蒙脱土相互插层氧化石墨烯/聚(2,5‑苯并咪唑)宽温域复合质子交换膜。本发明利用蒙脱土互插层氧化石墨烯可制备出具有孔隙结构的纳米材料,同时具备吸水、固定磷酸能力,并将其填充ABPBI复合膜,使之在室温至高温条件下均可实现质子高效传导,进而拓宽质子交换膜燃料电池使用温度范围;本发明极大发挥材料本身性能,其制备流程简便,操作简单,制得的复合膜具有良好的吸水保酸能力及较高的质子传导率。

标签:
复合材料
江苏 - 无锡 来源:中冶有色网 2023-03-18
电池系统散热用复合液冷板及其制备方法

本发明提供一种电池系统散热用复合液冷板及其制备方法,所述复合液冷板包括:液冷板本体以及设置在所述液冷板本体上的碳涂层;所述液冷板本体的材质为金属铝,所述碳涂层的原料为石墨烯‑碳纳米管复合材料;所述液冷板本体包括下冷板、上冷板以及设置在所述下冷板上的进液嘴、出液嘴,所述上冷板设置在所述下冷板的上方,所述碳涂层设置在所述上冷板的上顶面上;所述下冷板上设置有凹槽,所述凹槽的底面及两个侧面与所述上冷板的下底面形成流道且所述流道内装有冷却剂,所述进液嘴、流道及出液嘴依次连通形成回路。本发明通过在液冷板本体上设置碳涂层,可以快速对电池系统进行散热,对于电池系统的性能发挥和安全起到良好的作用。

标签:
复合材料
江苏 - 无锡 来源:中冶有色网 2023-03-18
废旧抽油杆全组分的分离回收方法

本发明提供了一种废旧抽油杆全组分的分离回收方法,属于复合材料回收技术领域。将废旧抽油杆机械切割后在保护气体中进行微波热裂解,得到固体产物、低沸点产物和高沸点产物,将固体产物剥离,得到碳纤维组分和玻璃纤维组分后分别进行裂解残余物清除处理,分别得到回收碳纤维和回收玻璃纤维;将低沸点产物和高沸点产物分别进行冷凝,得到液体和气体产物,将气体产物净化后收集;将液体进行梯级分离后,收集有机物。本发明通过微波热裂解对废旧抽油杆的穿透加热作用,高效快速地实现废旧抽油杆中树脂基体的裂解,回收纤维产物、有机产物和气体产物,实现了废旧抽油杆全组分的分离回收,资源利用率高。

标签:
复合材料
江苏 - 无锡 来源:中冶有色网 2023-03-18
基于聚多巴胺修饰氧化钴猝灭磷掺杂石墨氮化碳电化学发光的免疫传感器的制备方法

本发明涉及一种基于聚多巴胺修饰氧化钴猝灭磷掺杂石墨氮化碳的电化学发光的免疫传感器的制备方法。本发明通过磷酸与石墨氮化碳的前驱体三聚氰胺共聚,准确的将三嗪环结构中的部分氮原子替换成磷原子,改善了石墨氮化碳网络结构的电子环境。氧化钴具有规则的十二面体结构,表面粗糙多孔,比表面积大,生物相容性好,使用聚多巴胺修饰氧化钴,在氧化钴表面形成一层聚多巴胺薄膜以连接二抗。磷掺杂石墨氮化碳的电化学发光发射光谱和聚多巴胺修饰氧化钴的紫外吸收光谱重叠,二者之间可以发生共振能量转移,磷掺杂石墨氮化碳的电化学发光可以被聚多巴胺修饰氧化钴有效猝灭。使用磷掺杂的石墨氮化碳与神经元特异性烯醇化酶一抗结合形成一抗标记物,以聚多巴胺修饰氧化钴纳米复合材料与神经元特异性烯醇化酶二抗结合形成二抗标记物,构建了夹心猝灭型电化学免疫传感器,实现了对神经元特异性烯醇化酶的超灵敏检测,检测限为17.25 fg/mL。

标签:
复合材料
江苏 - 无锡 来源:中冶有色网 2023-03-18
上一页 475 476 477 478 479 ... 500 ... 1207 下一页
共1207页    到第

中冶有色为您提供最新的江苏有色金属复合材料技术理论与应用信息,涵盖发明专利、权利要求、说明书、技术领域、背景技术、实用新型内容及具体实施方式等有色技术内容。打造最具专业性的有色金属技术理论与应用平台!

全国热门有色金属设备推荐
展开更多 +
全国热门有色金属技术推荐
展开更多 +

 

江西省隆恩特环保设备有限公司
宣传

报名参会
更多+

报告下载

有色专家
更多+

中南大学
副校长
长沙矿冶研究院有限责任公司
中国工程院院士
中国矿业大学(北京)
教授
石家庄铁道大学
团委书记/副教授
辽宁忠旺集团
教授级高工
赤泥综合利用研究报告2025
推广

热门技术
更多+

推荐企业
更多+

福建省金龙稀土股份有限公司
宣传

发布

在线客服

公众号

电话

顶部
咨询电话:
010-88793500-807