青岛垚鑫智能科技有限公司
宣传

位置:中冶有色 >

有色技术频道 >

> 复合材料技术

分类:
全部
矿山技术
冶金技术
材料制备及加工技术
环境保护技术
分析检测技术
 
全部
功能材料技术
复合材料技术
新能源材料技术
合金材料技术
加工技术
地区:
全部
北京
天津
上海
重庆
河北
山西
辽宁
吉林
黑龙江
江苏
浙江
安徽
福建
江西
山东
河南
湖北
湖南
广东
海南
四川
贵州
云南
陕西
甘肃
青海
内蒙
广西
西藏
宁夏
新疆
其他
其他
展开
 
全部
南京
无锡
徐州
常州
苏州
南通
连云港
淮安
盐城
扬州
镇江
泰州
宿迁

江苏常州有色金属复合材料技术理论与应用

免费发布技术信息>>
石墨烯复合材料及其生产工艺

本发明公开了一种石墨烯复合材料及其生产工艺,其中石墨烯复合材料包括基底以及交替沉积在基底表面的石墨烯层和金属纳米颗粒层。本发明基于超细化喷涂工艺设计制备的复合材料具有超高强度和优秀的表面润滑性且容易覆盖在任意基材表面,可以作为一种良好的界面材料,有效的防止因摩擦引起的材料及能量的损耗。相对于其它石墨烯复合材料制作工艺,喷涂不但工艺简单便捷,应用范围广,而且可以在有效的控制双组份占比的同时保证复合材料整体的均一性,因此该复合材料的实用价值很高。

标签:
复合材料
江苏 - 常州 来源:中冶有色网 2023-03-18
均匀改性的硅基复合材料及其制备方法和应用

本发明涉及一种均匀改性的硅基复合材料及其制备方法和应用,硅基复合材料的通式为S i CxAyOz;0<x<20;0<y<10;0<z<10;其中,A为B、A l、Mg、Ca、Fe、Co、N i、Cu、Zn、Ge、Sn、L i中的一种或多种,C以原子尺度均匀弥散分布在硅基复合材料的颗粒内部,且无20nm以上的碳元素团聚;部分或所有碳原子与硅原子结合形成无序的S i‑C键;在硅基复合材料的聚焦离子束‑透射电镜F I B‑TEM测试中,颗粒切面的能谱面扫显示颗粒内部硅元素、碳元素、A元素、氧元素均匀分布;所述硅基复合材料的微观结构为多相弥散结构;所述硅基复合材料颗粒的平均粒径D50为1nm‑100μm,比表面积为0.5m2/g‑40m2/g;所述碳原子的质量占硅基复合材料质量的0.1%‑40%;所述A元素的质量占复合颗粒质量的3%‑40%。

标签:
复合材料
江苏 - 常州 来源:中冶有色网 2023-03-18
复合材料回收工艺
复合材料回收工艺 1069     
 0

本发明涉及复合材料回收工艺,包括以下步骤;第一步:废料切割;将废弃的复合材料切成块状会条状;第二步:洗涤和漂洗:将块状或条状的复合材料用碱液进行洗涤,之后再用清水漂洗;第三步:烘干:漂洗后的复合材料在烘箱中脱水干燥;第四步:粉碎:通过粉碎机降烘干的复合材料粉碎;第五步:溶解:制备二甲苯和丁醇混合液,将切碎的复合材料溶解在该混合液中;第六步:过滤分离:将混合液过滤,分离滤液和滤出物,对滤出物进行清洗回收;第七步:沉淀滤液:在滤液中加入沉淀剂甲醇,将溶液中的聚合物沉淀出来;第八步:干燥分离:将聚合物从滤液中分离并进行干燥,得到粉体,最后回收聚合物和溶剂。本发明具有操作简单,回收利用率高等特点。

标签:
复合材料
江苏 - 常州 来源:中冶有色网 2023-03-18
复合材料梁结构
复合材料梁结构 879     
 0

本实用新型提供一种复合材料梁结构,涉及航空航天技术领域,包括相对设置的第一腹板、第二腹板,以及设置于所述第一腹板与所述第二腹板之间的夹层结构;所述第一腹板与所述第二腹板的材质均为碳纤维复合材料或玻璃纤维复合材料。本实用新型提供的复合材料梁结构,通过将梁结构设计为分体式结构,并选用碳纤维复合材料作为第一腹板与第二腹板的材质,与位于第一腹板与第二腹板之间的夹层结构相配合,使得该复合材料梁结构在满足力学性能的基础上,最大程度的减轻梁结构的重量,并降低该复合材料梁结构的制造难度,降低制造成本。

标签:
复合材料
江苏 - 常州 来源:中冶有色网 2023-03-18
可应用于光催化降解甲基橙的APTES-Sb<sub>2</sub>WO<sub>6</sub>-RGO复合材料的制备方法

本发明涉及一种可应用于光催化降解甲基橙的APTES‑Sb2WO6‑RGO复合材料的制备方法。包括以下步骤:制备Sb2WO6光催化材料、使用3‑氨丙基三乙氧基硅烷(APTES)修饰Sb2WO6光催化材料、制备氧化石墨(GO)、将GO还原为还原氧化石墨烯(RGO)的同时使其和APTES‑Sb2WO6发生复合从而制备APTES‑Sb2WO6‑RGO光催化复合材料、将APTES‑Sb2WO6‑RGO光催化复合材料应用于水体常见污染物甲基橙的降解。本发明的有益效果是:APTES‑Sb2WO6‑RGO光催化复合材料对甲基橙等有机分子的降解速率较快且易于重复利用。

标签:
复合材料
江苏 - 常州 来源:中冶有色网 2023-03-18
复合材料加强隔框及其制造模具和成型方法

本发明公开了一种复合材料加强隔框,复合材料加强隔框的制造模具以及复合材料加强隔框的成型方法,涉及隔框结构设备技术领域。所述加强隔框包括框体、泡沫芯和加强筋,所述框体由复合材料铺层而成,所述复合材料铺层内设有加强层。所述复合材料加强隔框的制造模具包括底盘、外模和基座,所述底盘在所述加强隔框通孔位置,设置有与所述通孔形状一致的凸起部件。所述复合材料加强隔框的成型方法包括复合材料的整体铺层和加强层的铺层以及最后的超过预铺层部分的铺层并去除隔离膜,完成所述加强隔框的整体铺层。本发明的优点在于增强隔框局部强度和刚度,整体性强,解决了和飞机部件连接强度不够,隔框重量大等问题。

标签:
复合材料
江苏 - 常州 来源:中冶有色网 2023-03-18
环保型高拉伸强度聚乳酸复合材料的制备方法

本发明公开了一种环保型高拉伸强度聚乳酸复合材料的制备方法,属于高分子复合材料制备技术领域。本发明首先使用二聚水杨酸内酯晶体对聚乳酸进行改性,改性后由于主链中接入苯环,苯环的存在使聚乳酸的主链硬化,从而提高了其力学性能,接着对淀粉进行改性,促进改性淀粉和聚乳酸之间在整个复合体系中的依赖性增强,从而提高淀粉与聚乳酸复合材料两相间的黏合力,再将玻璃纤维加入到聚乳酸中,玻璃纤维之间就会有交错的聚乳酸粒子链连接,使玻璃纤维与聚乳酸共同承载,将其作为填料对复合材料进行改性,进一步提高复合材料的拉伸强度,加上氧化锌具有生物亲和性和作为锌补充剂对复合材料骨架再生的促进效果,既经济又环保,可具有广阔的应用前景。

标签:
复合材料
江苏 - 常州 来源:中冶有色网 2023-03-18
具有等离子共振效应凹凸棒石复合材料的制备方法及其应用

本发明属于矿物复合材料技术领域,涉及一种具有等离子共振效应凹凸棒石复合材料的制备方法及其应用。其制备方法为:(1)取纯化过的凹凸棒石粘土进行酸化处理,得到改性凹凸棒石;(2)将六氯化钨和改性凹凸棒石加入到无水乙醇中超声波混合;(3)得混合溶液置于微波水热化学反应仪中反应,然后离心,洗涤,干燥后得到氧化钨(W18O49)/凹凸棒石复合光催化材料。本发明运用微波溶剂热法合成等离子型氧化钨/改性凹凸棒石纳米复合材料,制得的催化剂能够在可见光的照射下把N2最大程度的转化成NH3,具有优异的光催化能力。

标签:
复合材料
江苏 - 常州 来源:中冶有色网 2023-03-18
阻隔性包装用吸氧聚酯复合材料及其制备方法

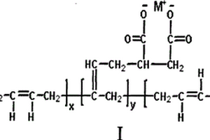
本发明涉及一种阻隔性包装用吸氧聚酯复合材料,其特征是它包括瓶级聚酯和自催化除 氧剂,瓶级聚酯在于整个复合材料中的含量为90~99.9重量%,自催化除氧剂在整个材料中 的含量为0.1~10重量%;自催化除氧剂的结构通式为I式, 式中x,y,z=5~40;M+为Cu2+、Co2+、Ni2+、Mn2+、Fe2+、Cr3+或Zn2+。本发明还涉及该阻 隔性包装用吸氧聚酯复合材料的制备方法。本发明具有高吸氧性、过渡金属离子在聚酯包装 材料中的使用量低、催化剂在聚酯包装材料中分布更加均匀、稳定性更好及不易发生迁移的 优点。

标签:
复合材料
江苏 - 常州 来源:中冶有色网 2023-03-18
新型复合材料及利用该材料的摆动式摩擦纳米发电机

本发明公开了一种新型复合材料以及利用该材料的摆动式摩擦纳米发电机,所述复合材料为层状结构,从上到下依次为第一电极层、绝缘层、第二电极层、PTFE摩擦层、第三电极层、BaTiO3压电复合层和第四电极层,其中,第一电极层、绝缘层、第二电极层、PTFE摩擦层为拱形结构。所述摆动式摩擦纳米发电机包括调节支架、偏心转轮、外壳、新型复合材料、转轴及轴承;调节支架包括底座、固定在底座上的调节螺杆;偏心转轮设置在外壳内,外壳固定在底座上,新型复合材料粘附在外壳内壁;偏心转轮由各三个实心叶片和空心叶片组成,并通过转轴固定在调节螺杆上。本发明提供的新型复合材料同时具有摩擦电与压电特性,在受到压力发生摩擦时可以产生更高的电荷输出。

标签:
复合材料
江苏 - 常州 来源:中冶有色网 2023-03-18
过氧化物复合材料及其制备方法

一种过氧化物复合材料及其制备方法,旨在提供一种生物型过氧化物复合材料,尤其涉及一种生物型过氧化物复合材料及其制备方法。物体上的色素或污渍在受到过氧化物中分解出的过氧化羟基作用后,会分解从而去除。过氧化物在使用的过程中需要被激活,从而释放出有效成分,起到漂白的效果。本发明提供了一种新的过氧化物复合漂白体系,将过氧化物有效成分和光引发材料结合,有效的发挥二者的优势。本发明所提供的生物新型复合材料,采用光引发,大大提高了在实际应用中的方便性和实效性。制备方法简便,在储存过程中,过氧化物有效成分稳定,在使用过程中,能有效激活过氧化物有效成分,属于环境友好型新一代过氧化物复合材料。

标签:
复合材料
江苏 - 常州 来源:中冶有色网 2023-03-18
包含石墨烯/聚苯胺/凹凸棒土复合材料的防腐涂料及其制备方法

本发明属于防腐涂料领域,尤其涉及一种包含石墨烯/聚苯胺/凹凸棒土复合材料的防腐涂料及其制备方法。首先制备石墨烯/聚苯胺/凹凸棒土复合材料的制备,再将该复合材料先后用硅烷偶联剂和蜡材料改性,最后与环氧树脂、填料等组分配制成防腐涂料。石墨烯/聚苯胺/凹凸棒土复合材料在防腐涂料中起到电化学防腐和物理防腐双重功效;并且通过化学键反应对石墨烯类防腐材料负载上有机蜡,促进了石墨烯类复合材料在有机涂料体系中的分散性和存储稳定性。

标签:
复合材料
江苏 - 常州 来源:中冶有色网 2023-03-18
石墨烯/碳纳米管气凝胶聚合物导电复合材料的制备方法及其应用

本发明属于本发明属化学合成领域,尤其涉及一种石墨烯/碳纳米管气凝胶聚合物导电复合材料的制备方法及其应用。一种石墨烯/碳纳米管气凝胶聚合物导电复合材料的制备方法,包括以下步骤:石墨烯/碳纳米管气凝胶与高分子聚合物前驱体混合后,形成反应混合液,将反应混合液经微波或紫外照射后形成石墨烯/碳纳米管气凝胶高分子聚合物前驱体混合物;加热石墨烯/碳纳米管气凝胶高分子聚合物前驱体混合物,然后进行固化处理,加热的温度是48~85℃,固化时间是1.5~6h,固化温度是85~155℃,得石墨烯/碳纳米管气凝胶聚合物导电复合材料,复合材料的导电能力比传统石墨烯基复合材料高2~7个数量级。

标签:
复合材料
江苏 - 常州 来源:中冶有色网 2023-03-18
石墨烯-聚合物复合材料的制备方法

本发明涉及石墨烯‑聚合物技术领域,尤其是一种石墨烯‑聚合物复合材料的制备方法,包含制备高浓度母料的步骤、制备高导热复合材料母粒的步骤和制备复合材料成品的步骤,本申请通过石墨烯与聚合物相容剂混合预先形成母料,然后将其进一步分散通用聚合物中从而得到母粒。这就解决了石墨烯在聚合物基体中不易分散的难题,从而实现了石墨烯和聚合物的优势互补,使得该复合材料具有较好的导热、力学增强性能。该复合材料导热性能各向同性,形状可以任意设计,如平板型、弧型、圆管型或者异型。本发明的复合材料可以用于导热管材、热交换设备及建筑等方面具有广泛的应用,并能够工业化规模生产、生产成本低廉且环境友好。

标签:
复合材料
江苏 - 常州 来源:中冶有色网 2023-03-18
带内法兰的复合材料预制体的缝合结构

本实用新型涉及一种带内法兰的复合材料预制体的缝合结构,包括主模具、复合材料预制体的主体部分和内法兰部分,主模具与复合材料预制体的内腔相吻合,复合材料预制体的主体部分包裹在主模具上,内法兰部分埋入主模具的法兰缺口部位处,复合材料预制体的主体部分和内法兰部分缝合为一体。本实用新型的有益效果是:通过本实用新型制作的带内法兰的复合材料预制体结构均匀性好,尺寸稳定。

标签:
复合材料
江苏 - 常州 来源:中冶有色网 2023-03-18
碳纤维树脂复合材料发射筒

本实用新型涉及发射筒技术领域,尤其涉及一种碳纤维树脂复合材料发射筒,包括复合材料筒体,所述复合材料筒体的两端分别设有前端筒盖与后端筒盖,所述复合材料筒体的前端部设有凹槽,其凹槽中设有防尘环,所述防尘环的右侧设有卡带,所述卡带套设有内螺纹旋转筒,所述复合材料筒体上端面的中部开设有预埋口,且所述预埋口四周设有加强壁,所述复合材料筒体下端面的中部设有连接块,所述连接块的下端面连接有机电保险器,所述复合材料筒体由外向内依次包括外表面油漆层、电磁屏蔽层与耐烧蚀层。复合材料筒体中包括外表面油漆层、电磁屏蔽层与耐烧蚀层,分别用于防锈,屏蔽以及防烧蚀,提高筒体的抗干扰能力,达到抗电磁辐射。

标签:
复合材料
江苏 - 常州 来源:中冶有色网 2023-03-18
石墨烯复合材料的连续式生产设备以及制备方法

一种石墨烯复合材料的连续式生产设备,涉及复合材料领域,包括原料制备装置、反应装置和萃取装置。该连续式生产设备可以在制备聚酰胺单体的过程中,通过高剪切搅拌和超声分散的联合作用,将石墨烯更好地分散于聚酰胺的单体中,以得到分散性良好、各项性质优异的石墨烯复合材料。同时,该连续式生产设备还包括萃取装置,可以对反应中未反应完的聚酰胺单体进行回收再利用,增加原料利用率,降低生产成本。一种石墨烯复合材料的制备方法,其解决了石墨烯复合材料在大规模工业化生产中,存在的分散性差的问题,从而得到分散性良好,各项性质优异的石墨烯复合材料。同时,该制备方法的原料利用率高,有效降低了生产成本。

标签:
复合材料
江苏 - 常州 来源:中冶有色网 2023-03-18
抗硫酸盐侵蚀的石墨烯混凝土复合材料及其制备方法

本发明公开了一种石墨烯改性的玻璃纤维的制备方法、一种抗硫酸盐侵蚀的石墨烯混凝土复合材料及其制备方法,其中,抗硫酸盐侵蚀的石墨烯混凝土复合材料中,包括如下组分:水泥150~240kg/m3,粉煤灰45~50kg/m3,硅灰40~60kg/m3,粗骨料600~900kg/m3,河砂70~120kg/m3,纳米二氧化硅20~50kg/m3, 石墨烯改性的玻璃纤维30~50kg/m3,减水剂1~7.5kg/m3,水105~150kg/m3。本发明利用石墨烯超高的强度和柔韧性,超大的比表面积,以及通过将玻璃纤维簇打开并粗糙化后接枝石墨烯网络,获得高强度、高韧性、抗硫酸盐侵蚀性能好的石墨烯/混凝土复合材料。

标签:
复合材料
江苏 - 常州 来源:中冶有色网 2023-03-18
碳纤维复合材料梁成型模具

本实用新型提供一种碳纤维复合材料梁成型模具,成型模具包括芯模、若干芯块以及外模;其中,所述芯模与碳纤维复合材料梁的加强筋相适配;所述芯模的外表面构成所述加强筋的铺贴面;若干所述芯块设置于所述芯模的外侧;所述芯块与所述碳纤维复合材料梁中的间隙相适配;若干所述芯块与所述芯模拼合构成所述外框的铺贴面;所述外模设置于所述芯块的外侧。本实用新型提供的碳纤维复合材料梁成型模具,使得成型的碳纤维复合材料梁为一体式结构,避免传统的碳纤维复合材料梁生产过程中的二次胶接过程,在简化成型工艺的同时,还有利于提高碳纤维复合材料梁结构的整体性,有助于更充分的发挥碳纤维复合材料的优势,提高碳纤维复合材料梁的力学性能。

标签:
复合材料
江苏 - 常州 来源:中冶有色网 2023-03-18
预埋件、制备方法及包含该预埋件的复合材料结构

本发明公开了一种复合材料预埋件、制备方剂及包含该预埋件的复合材料结构,该预埋件为单向或多向浸渍树脂并固化的纤维束构成的稀疏网状或片状结构;所述预埋件可预埋到纤维铺层中,使用树脂导入工艺制造复合材料及超混杂复合材料部件;所述预埋件在复合材料成型过程中为树脂流动提供流道,提高树脂的浸渍效果;成型后和复合材料形成均一的整体,不降低复合材料的性能。使用该预埋件预埋到织物中,再导入树脂,具有树脂浸润快,树脂中未排或残存的气泡极易导出,消除干斑等优势。所述预埋件还可用于其它阻碍树脂导流的预成型件与织物铺层的一次灌注成型,金属和玻璃纤维超混杂复合材料的层合成型等方面。

标签:
复合材料
江苏 - 常州 来源:中冶有色网 2023-03-18
用于复合材料轴管成型的工装

本实用新型属于复合材料成型设备技术领域,具体公开一种用于复合材料轴管成型的工装,包括成型模具和用于将复合材料轴管与成型模具分离的脱模组件;成型模具包括圆柱形的芯模大端和同轴可拆卸插装在芯模大端左端的芯模小端,芯模小端设有第一凸台或第一凹槽,芯模小端设有沿轴向的第一内螺纹通孔,芯模大端的右端设有第二凸台;脱模组件包括底座、设置在底座右侧的定位卡环和螺纹杆,螺纹杆设有与第一内螺纹通孔螺纹配合的外螺纹,旋转螺纹杆时可将芯模小端从左端退出复合材料轴管,定位卡环用于从有端轴向定位复合材料轴管,便于芯模大端在推力作用下从右端退出复合材料轴管,该工装结构简单、使用方便且成型脱模效率高。

标签:
复合材料
江苏 - 常州 来源:中冶有色网 2023-03-18
复合材料自浮式桥墩防撞设施

本实用新型公开了一种复合材料自浮式桥墩防撞设施,包括浮筒,所述浮筒设置为若干节段,所述浮筒节段外壁为复合材料壳体,内部填充闭孔消能材料并且两端设置法兰盘,所述浮筒节段通过法兰盘相互连接,所述复合材料壳体内部两法兰盘之间沿边壁设置若干加强肋筋管,所述加强肋筋管外壁包裹有复合材料并且与复合材料壳体为一体,所述节段朝向桥墩一侧水平方向设置有缓冲装置。本实用新型的桥墩防撞设施重量轻,可通过水位起伏自我调节并且在运输、安装过程便捷高效,并且设计性强,可根据不同形状的桥墩制作复合材料壳体的节段,复合材料具有强耐腐蚀的特性,无需做防腐涂装,内部填充柔性闭孔消能材料,船只在撞击时还可以保护船只不受损伤。

标签:
复合材料
江苏 - 常州 来源:中冶有色网 2023-03-18
柔性自动卷曲复合材料装置

本实用新型公开了一种柔性自动卷曲复合材料装置,属于卷曲装置领域,旨在提供一种使碳纤维材料不易发生变形,提高碳纤维材料的绕卷质量的柔性自动卷曲复合材料装置,其技术方案要点如下,一种柔性自动卷曲复合材料装置,柔性自动卷曲复合材料装置与工作台配合使用,柔性复合材料平铺于工作台上,包括支撑结构、行走机构、卷曲机构、提升机构以及加热机构;行走机构安装于支撑结构下端,行走机构可在工作台的两端之间往复移动;卷曲机构安装于提升机构的下端且位于工作台上方;提升机构在卷曲机构绕卷柔性复合材料的同时提升卷曲机构;加热机构对工作台上的柔性复合材料进行加热软化。本实用新型适用于柔性复合材料的绕卷。

标签:
复合材料
江苏 - 常州 来源:中冶有色网 2023-03-18
复合材料的生产设备
复合材料的生产设备 984     
 0

本实用新型公开了一种复合材料的生产设备,复合材料的生产设备包括:挤出装置,渐压管道,挤出装置包括挤出模头,挤出模头内设置有内部中空的挤出口模,挤出口模的端面呈矩形;定型装置,定型装置设置于挤出模头的出料侧。由此,通过在挤出模头的进料侧设置渐压管道,可以使挤出模头中的压力远大于挤出机中的压力,同时将挤出口模的端面设置成矩形,可以使制备出来的PET泡沫复合材料在各个方向上同性,这样不仅可以降低PET泡沫复合材料的加工难度,无需后段热合与切割便可以直接使用PET泡沫复合材料,可以降低PET泡沫复合材料的加工成本,而且还可以增加PET泡沫复合材料的密度稳定性。

标签:
复合材料
江苏 - 常州 来源:中冶有色网 2023-03-18
带内法兰的复合材料预制体的制作方法及其缝合结构

本发明涉及一种带内法兰的复合材料预制体的制作方法,具体如下步骤:a、制作主模具和内法兰模具,主模具与待制作的复合材料预制体的内腔相吻合,内法兰模具与凸出复合材料预制体的内腔上的内法兰部分的尺寸一致;b、将内法兰模具安装在主模具的法兰缺口部位,组装成制作模具,以该制作模具为基础制作复合材料预制体的主体部分,另外根据内法兰尺寸制作复合材料预制体的内法兰部分;c、将制作模具上的内法兰模具拆卸来下,然后将内法兰部分埋入主模具的法兰缺口部位处;d、采用缝合方式将复合材料预制体的主体部分和内法兰部分缝合为一体,得到带内法兰的复合材料预制体。本发明的有益效果是:制作方法简单,通过本发明制作的带内法兰的复合材料预制体结构均匀性好,尺寸稳定。

标签:
复合材料
江苏 - 常州 来源:中冶有色网 2023-03-18
纤维缠绕复合材料面内剪切力学性能测试方法

本发明提供了一种纤维缠绕复合材料面内剪切力学性能测试方法,包括:制备缠绕复合材料拉伸试件;针对缠绕复合材料拉伸试件开展面内剪切试验,完成对缠绕复合材料面内剪切力学的性能测试;采用最大似然估计法对复合材料的纵横剪切强度进行双参数威布尔分布拟合;采用K‑S检验方法对复合材料的纵横剪切强度分布假设检验,得到更为准确的缠绕复合材料面内剪切力学性能。

标签:
复合材料
江苏 - 常州 来源:中冶有色网 2023-03-18
聚噻吩纳米导电复合材料及其制备方法

本发明克服了现有技术中聚噻吩-无机纳米复合材料成本高的不足,利用凹凸棒石特殊的晶体结构、物化性质及价格低廉等优势,提供一种聚噻吩纳米导电复合材料及其制备方法。该材料为碘掺杂多孔棒状二氧化硅/聚噻吩无定型导电复合材料。上述的聚噻吩纳米导电复合材料的制备方法,将噻吩单体溶于有机溶剂Ⅰ中,将纯化后的纳米凹凸棒石、氧化剂加入到有机溶剂Ⅱ中,然后将其逐滴滴加到噻吩的溶液中制备凹凸棒石/聚噻吩纳米复合材料;最后将所制备的凹凸棒石/聚噻吩纳米复合材料置于碘蒸气中制得多孔棒状二氧化硅/聚噻吩纳米导电复合材料。

标签:
复合材料
江苏 - 常州 来源:中冶有色网 2023-03-18
聚吡咯/Fe3O4/凹凸棒石纳米电磁复合材料的制备方法

本发明属于纳米电磁复合材料的制备技术领域,具体地说,涉及一种聚吡咯/Fe3O4/凹凸棒石纳米电磁复合材料的制备方法。其特征在于:首先在纳米凹凸棒石表面负载磁性Fe3O4纳米粒子,然后利用Fe3O4表面的三价铁来氧化聚合吡咯单体,制备出聚吡咯/Fe3O4/凹凸棒石纳米电磁复合材料,实现了聚吡咯与Fe3O4/凹凸棒石在纳米尺度上的复合。本发明成本低、操作简便。对环境污染小。

标签:
复合材料
江苏 - 常州 来源:中冶有色网 2023-03-18
拉挤复合材料可调张力收卷装置及其使用方法

本发明提供了一种拉挤复合材料可调张力收卷装置,包括:框架本体、称重传感器、旋转机构、张紧气缸,其中,称重传感器设置在框架本体的进料口,称重传感器用以测量拉挤复合材料的张力值,旋转机构能够自由转动,旋转机构用以对拉挤复合材料进行收卷,张紧气缸设置在旋转机构外侧,张紧气缸通过挤压拉挤复合材料对其提供张力。与现有技术相比,本发明提出的拉挤复合材料可调张力收卷装置通过设置称重传感器和张紧气缸,通过张紧气缸产生张力值,通过称重传感器实时监控拉挤复合材料的张力,通过可编程序控制器控制张力恒定,确保了拉挤复合材料在收卷时厚度均匀。

标签:
复合材料
江苏 - 常州 来源:中冶有色网 2023-03-18
高效石墨烯基铈系纳米复合材料的制备方法及其产品和应用

本发明公开了一种高效石墨烯基铈系纳米复合材料的制备方法及其产品和应用,包括,将氧化石墨置于去离子水中超声分散均匀,得氧化石墨水溶液;将硝酸铈铵加入氧化石墨水溶液中搅拌均匀,加入硝酸镉和硫化钠,不断搅拌,使体系充分混合均匀,并调节pH,得混合反应体系;将混合反应体系进行水热反应,抽滤、洗涤和干燥后,研磨得到石墨烯基铈系纳米复合材料。本发明复合材料中石墨烯与CeO2和CdS三组分之间具有良好的协同效应,从而增加了复合物材料的光催化性能。

标签:
复合材料
江苏 - 常州 来源:中冶有色网 2023-03-18
上一页 79 80 81 82 83 ... 85 下一页
共85页    到第

中冶有色为您提供最新的江苏常州有色金属复合材料技术理论与应用信息,涵盖发明专利、权利要求、说明书、技术领域、背景技术、实用新型内容及具体实施方式等有色技术内容。打造最具专业性的有色金属技术理论与应用平台!

全国热门有色金属设备推荐
展开更多 +
全国热门有色金属技术推荐
展开更多 +

 

江西省隆恩特环保设备有限公司
宣传

报名参会
更多+

报告下载

有色专家
更多+

郑州大学
中国工程院 院士
矿冶科技集团有限公司
所长/研究员级高工
北京工业大学、中国工程院
中国工程院 院士
中国铝业集团有限公司
中国铝业股份有限公司党委书记
中铝郑州有色金属研究院有限公司
正高级工程师/总经理
赤泥综合利用研究报告2025
推广

热门技术
更多+

推荐企业
更多+

福建省金龙稀土股份有限公司
宣传

发布

在线客服

公众号

电话

顶部
咨询电话:
010-88793500-807