青岛垚鑫智能科技有限公司
宣传

位置:中冶有色 >

有色技术频道 >

> 复合材料技术

分类:
全部
矿山技术
冶金技术
材料制备及加工技术
环境保护技术
分析检测技术
 
全部
功能材料技术
复合材料技术
新能源材料技术
合金材料技术
加工技术
地区:
全部
北京
天津
上海
重庆
河北
山西
辽宁
吉林
黑龙江
江苏
浙江
安徽
福建
江西
山东
河南
湖北
湖南
广东
海南
四川
贵州
云南
陕西
甘肃
青海
内蒙
广西
西藏
宁夏
新疆
其他
其他
展开
 
全部
济南
青岛
淄博
枣庄
东营
烟台
潍坊
济宁
泰安
威海
日照
滨州
德州
聊城
临沂
菏泽

山东青岛有色金属复合材料技术理论与应用

免费发布技术信息>>
高纯度硫/炭包覆的钴酸锂正极材料及其制备方法

本发明涉及一种高纯度硫/炭包覆的钴酸锂正极材料及其制备方法。本高纯度硫/炭包覆的钴酸锂正极材料按重量份计,由以下组分按照所示比例制备而成,硫/炭复合材料30、钴酸锂60、45%的硝酸铁锂溶液25、鳞片石墨3、粘结材料3。本发明克服了锂离子电池因为保护板自放电而造成失效的缺陷,从而改善整个电池组的自放电,实现延长锂电池存放时间的目的,保证用户使用完用电器而不充电的情况下可以储存较长的时间。

标签:
复合材料
山东 - 青岛 来源:中冶有色网 2023-03-18
双电性高分散石墨烯纳米杂化材料、制备及应用

本发明公开一种双电性高分散石墨烯纳米杂化材料、制备及应用,一种双电性高分散石墨烯纳米杂化材料,由双电性蛋白质和石墨烯结合组成,所述双电性高分散石墨烯纳米杂化材料可在水中高浓度稳定分散;本发明制备的双电性石墨烯/干酪素纳米杂化材料具有双电性、PH响应性以及很好的再分散性,在复合材料、功能材料、智能纳米材料等方面具有广泛的应用。

标签:
复合材料
山东 - 青岛 来源:中冶有色网 2023-03-18
聚丙烯复合阻尼材料及其制备方法

针对现有的聚丙烯材料需要通过包覆蒙皮、填充吸音材料的方式实现阻尼功能的上述问题,本发明提供一种聚丙烯复合阻尼材料,属于高分子领域该阻尼材料,包括聚丙烯:30‑65wt%,阻尼改性剂:20‑40wt%,增强材料:15‑35wt%,增容剂:0.5‑6.0wt%,抗氧剂:0.05‑0.50wt%,光稳定剂:0.05‑0.50wt%,以上所有组分的和为100wt%;所述的聚丙烯的熔融指数为10‑100g/10min(230℃,2.16kg),所述的阻尼改性剂为阻尼聚合物或者其与填充剂的复合材料;所述阻尼聚合物为熔融指数0.5‑10g/10min(190℃,2.16kg)弹性体或门尼黏度小于30MU的橡胶预处理料;所述填充剂为具有片层结构的粉体。本发明开发的阻尼材料同时具有高模量、高韧性和高阻尼系数,既能满足工程塑料的性能要求,也能满足阻尼材料的要求,克服了常规塑料阻尼因子低的不足。

标签:
复合材料
山东 - 青岛 来源:中冶有色网 2023-03-18
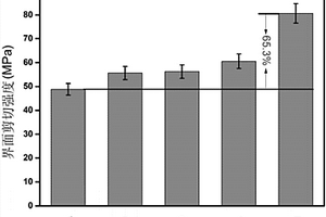
碳纤维表面接枝超支化聚芳酰胺的方法

一种碳纤维表面接枝超支化聚芳酰胺的方法,它涉及一种碳纤维表面接枝聚合物的方法。本发明的目的是要解决现有碳纤维复合材料的界面结合强度低的问题。方法:一、碳纤维的抽提处理;二、氧化;三、碳纤维的还原处理;四、碳纤维的硅烷化处理;五、制备混合物,加热,得到表面接枝超支化聚芳酰胺的碳纤维。使用本发明的方法制备得到的表面接枝超支化聚芳酰胺的碳纤维与未处理的碳纤维相比N含量增加,由未处理的1.11%提高到2.7~4%;表面能提高了大于100.5%;本发明制备的表面接枝超支化聚芳酰胺的碳纤维的界面剪切强度与未处理的碳纤维的界面剪切强度相比,提高了大于65%。本发明可获得表面接枝超支化聚芳酰胺的碳纤维。

标签:
复合材料
山东 - 青岛 来源:中冶有色网 2023-03-18
充油充氧化石墨烯溶液共凝橡胶的制备方法

本发明公开了一种充油充氧化石墨烯溶液共凝橡胶的制备方法。其主要成分为:橡胶100重量份,油1-80重量份,氧化石墨烯1-80重量份,防老剂0.1-5重量份,偶联剂0.1-5重量份;制备方法为:将氧化石墨烯、油、偶联剂、防老剂加入到橡胶溶液中,温度保持30-60℃搅拌1-30分钟;在上述混合物中融入水蒸气,利用蒸馏分离装置,将溶剂油蒸出并回收;经干燥即制备了充油充氧化石墨烯溶液共凝橡胶。该方法可以克服传统的机械共混工法存在的纳米填料分散不均匀、能耗高、物理性能差的缺点,该方法制备工艺简单、成本低、易于推广。该方法制备的纳米复合材料中碳氧化石墨烯均匀的分散在橡胶基体中,起到有效的补强、抗静电作用。采用该方法制备的溶液共凝橡胶性能优异,其在力学性能、耐磨、抗静电等方面都有较大的提高。

标签:
复合材料
山东 - 青岛 来源:中冶有色网 2023-03-18
PZT-ZnO薄膜
PZT-ZnO薄膜 1025     
 0

本发明属于复合材料领域的一种PZT-ZnO薄膜,具体实施方式;基底上先利用射频磁控溅射法制备ZnO薄膜,然后在掺杂ZnO薄膜上制备PZT薄膜,低温烧结后得到CNT-ZnO透明导电复合薄膜。该薄膜膜结构均匀致密,导电性能良好。

标签:
复合材料
山东 - 青岛 来源:中冶有色网 2023-03-18
高导热纳米复合塑胶
高导热纳米复合塑胶 871     
 0

本发明公开了一种高导热纳米复合塑胶,所述高导热纳米复合塑胶的原料包括基体和填料;所述基体为ABS;包括填料包括:MgO、Al2O3、Si3N4、BN和ZnO;所述原料的重量份数为:ABS50-85份,MgO22-28份、Al2O310-16份、Si3N43-8份、BN8-12份,ZnO8-15份。所述填料还可以进一步包括:高纯度碳粉12-16份。本发明通过对各种不同形状和尺寸的填料混合使用提高聚合物基的热传导能力进行了实验对比。本发明用混合填料使复合材料的热导率大幅提高。本发明利用有一定长径比的颗粒、晶须形成连续的导热网链。

标签:
复合材料
山东 - 青岛 来源:中冶有色网 2023-03-18
微晶纤维素-纳米ZnO杂化材料的制备方法及其应用

本发明公开了一种微晶纤维素‑纳米ZnO杂化材料的制备方法,包括如下步骤:(1)微晶纤维素的溶胀;(2)控制微晶纤维素表面吸附碱液层的厚度;(3)溶胀微晶纤维素悬浮液的配置;(4)纳米ZnO前驱体溶液的配置;(5)溶胶‑凝胶反应。并公开了所述微晶纤维素‑纳米ZnO杂化复合材料的应用。成本低,操作简单,可再生,污染小,制备的微晶纤维素‑纳米ZnO杂化材料在橡胶基体中分散性好,表面和内部均产生无机纳米颗粒,充分发挥其补强性能。用微晶纤维素‑纳米ZnO杂化材料部分或全部取代胎面胶中的白炭黑,可以降低了胎面胶生热,提高胎面胶的抗湿滑性同时降低滚动阻力。

标签:
复合材料
山东 - 青岛 来源:中冶有色网 2023-03-18
控释型复合防污材料制备方法

本发明属于复合防污材料制备技术领域,具体涉及一种羧甲基‑β‑环糊精包埋环境友好型防污剂分子插层水滑石复合材料制备方法,通过羧甲基‑β‑环糊精包埋防污剂分子后与LDHs进行插层组装制备,利用羧甲基‑β‑环糊精所形成的内疏水、外亲水的空腔结构,对防污剂分子进行包埋,利用LDHs的特殊层状结构和层间阴离子可交换的性质,将包埋物阴离子插层到LDHs层间,层间的包埋物阴离子与LDHs层板通过静电力作用而形成稳定的层状晶体结构,使用时,包埋物阴离子被其他离子(Cl‑)置换,能够对防污剂分子在海水中的释放速率进行控制,达到缓慢释放的目的,阻止防污剂的暴释,有效延长防污涂料的防污期效,应用于海洋生物污损的防护涂料。

标签:
复合材料
山东 - 青岛 来源:中冶有色网 2023-03-18
蔬菜大棚使用的控温水凝胶的制备方法

本发明提供了一种蔬菜大棚使用的控温水凝胶的制备方法。其特征在于:首先,通过在给定温度下混合丙烯酰胺水溶液和卡拉胶水溶液,然后,将过硫酸铵作为引发剂,N,N‑亚甲基双丙烯酰胺作为交联剂,N,N,N`,N`‑四甲基乙二胺作为聚丙烯酰胺的交联促进剂和氯化钾作为卡拉胶的离子交联剂。之后,将溶液倒入不同尺寸的玻璃模具中固化一定时间,即可得到控温水凝胶。本发明以生物质资源卡拉胶和常用的聚丙烯酰胺为原料,操作简单,反应条件温和,绿色环保,采用一锅法制备了高机械强度、可见光透过率较高、具有降温效果的蔬菜大棚使用的控温水凝胶。在蔬菜大棚的控温复合材料领域具有重要的意义。

标签:
复合材料
山东 - 青岛 来源:中冶有色网 2023-03-18
高温气体流通器的制作方法

本发明属于碳纤维复合材料技术领域和热处理技术领域,针对现有高温炉内金属材质的风扇会引入杂质,而石墨制作风扇难度大的上述问题,本发明提供一种高温碳碳气体流通器的制作方法:将碳纤维复合板材和棒材,进行真空高温处理;采用机械加工的方式制作叶片、主轴、锁套及螺丝;将两个叶片相互交叉成十字形状,插入主轴的母槽中,将锁套安装到叶片的第一子槽中,并用螺丝将锁套和主轴固定,制作成高温气体流通器;将组装完毕的高温气体流通器通过气相沉积的方法沉积碳;将气相沉积完毕的高温气体流通器再次进行真空高温处理。本发明的气体流通器的制作方法简单,在高温条件下,结构稳定,产品纯净。

标签:
复合材料
山东 - 青岛 来源:中冶有色网 2023-03-18
锂离子电容器正极片及使用该正极片的锂离子电容器

本发明公开了一种锂离子电容器正极片,该锂离子正极片包括活性材料、导电剂、粘结剂、集流体,其中正极活性材料为表面功能化石墨烯、纳米活化石墨烯材料、石墨烯/金属氮化物复合材料,集流体为开孔率30~50%的可以自由穿梭锂离子的多孔集流体。该正极片具有比表面积高、吸附电荷容量高、导电性好的优点,可以有效提高锂离子电容器的能量密度和功率密度。本发明还公开了一种使用该正极片的锂离子电容器,该锂离子电容器包括正极、负极、隔膜、电解液及具有可以实现向负极预嵌锂功能的辅助电极。

标签:
复合材料
山东 - 青岛 来源:中冶有色网 2023-03-18
含铈复合氧化物模拟酶材料及其制备和应用

本发明提出一种含铈复合氧化物模拟酶材料及其制备和应用。该方法属于模拟酶催化氧化技术领域。本发明首先通过尿素沉淀法制备出Ce掺杂的CoAl的层状双羟基复合金属氢氧化物(CoAl‑LDHs)前体,然后通过焙烧处理得到含Ce分散性能好、活化性能高的CoAlCe氧化物模拟酶材料。所得复合材料具有合成步骤易操作、成本小、效果显著等特点,在新型催化氧化分析中具有广阔的应用前景。

标签:
复合材料
山东 - 青岛 来源:中冶有色网 2023-03-18
纳米带状Cu3P/Cu材料及其制备方法

本发明提供一种纳米带状Cu3P/Cu的制备方法,具体包括如下步骤:将黑磷在无水无氧条件下分散在有机溶剂中得到混合液A;利用液相剥离法对混合液A进行超声剥离后,收集上层溶液得到黑磷纳米片分散液;将超声剥离后的黑磷纳米片分散液与乙酰丙酮铜进行水热反应,清洗、离心并进行干燥后得到纳米带状Cu3P/Cu材料;该制备工艺方法可控,通过制备过程中复合材料Cu3P/Cu的界面效应改善材料的电子结构,从而有效提升电催化的反应活性;且制备的Cu3P/Cu材料呈现纳米带状分布,不易团聚,比表面积高。

标签:
复合材料
山东 - 青岛 来源:中冶有色网 2023-03-18
能量密度增强型电解液及超级电容器的制备方法

本发明公开了一种能量密度增强型电解液及超级电容器的制备方法,包括如下步骤:采用Hummers法制备氧化石墨烯水溶液,然后将氧化石墨烯水溶液通过水热反应,得到部分还原的氧化石墨烯水溶液;在得到的部分还原的氧化石墨烯水溶液中加入聚乙烯醇,水浴加热搅拌,形成具有以聚乙烯醇为连接点、部分还原的氧化石墨烯为桥的网络结构的混合溶液;在得到的混合溶液中滴入吡咯单体,并加入过硫酸铵,然后利用冻融循环,获得部分还原的氧化石墨烯/聚吡咯复合材料,最后通过搅拌将NaClO4分散在上述材料中,得到电解液。本发明所制得的超级电容器具有很高的能量密度,具有优异的电化学性能和循环稳定性。

标签:
复合材料
山东 - 青岛 来源:中冶有色网 2023-03-18
氯丁胶包裹硅颗粒制备硅碳纳米杂化材料的方法、锂离子电池负极

本发明公开一种由Si纳米颗粒和氯丁橡胶为原料,通过简单的工艺制备锂离子电池硅碳杂化负极材料的方法,属于锂电技术领域。本发明所制备的硅碳复合材料具备明显核壳结构,所述核为纳米硅,所述壳中间层为SiO2,所述壳外层为多孔碳材料。具体合成过程包括以下步骤:将Si纳米颗粒分散在盛有30ml去离子水的烧杯中,超声搅拌30min,得到溶液A。按照Si:氯丁橡胶质量比为1:3的比例,把氯丁橡胶乳液加入到A溶液中,充分搅拌30min,得到溶液B。快速向溶液B中加入乙醇溶液,氯丁橡胶在乙醇中迅速析出,包裹Si纳米颗粒,形成Si@氯丁橡胶的结构。把Si@氯丁橡胶放入管式炉中煅烧,Si纳米颗粒表面被部分氧化,形成Si@SiO2的结构,继续加热生成目标产物Si@SiO2@C3作为锂电负极。

标签:
复合材料
山东 - 青岛 来源:中冶有色网 2023-03-18
光致电化学检测对氨基苯酚的方法

本发明属于分析化学和环境监测领域,具体涉及一种光致电化学检测对氨基苯酚的方法。用硒化锌纳米片和胶体金氮化硼纳米片复合材料修饰碳糊电极,以对氨基苯酚对修饰电极的光致电化学信号的增强,根据光致电化学信号的强弱实现对对氨基苯酚的测定。方法具有选择性测定对氨基苯酚的优点,此外该方法简单易于实现微型化和自动化。

标签:
复合材料
山东 - 青岛 来源:中冶有色网 2023-03-18
含硫缺陷的锌镉硫/镍钴氢氧化物复合可见光催化剂及其应用

本发明涉及一种含硫缺陷的锌镉硫/镍钴氢氧化物复合可见光催化剂及其应用,属于半导体光催化领域。所述的Vs‑ZCS/Ni0.6Co0.4(OH)2复合材料,是以富含表面硫空位的Zn0.5Cd0.5S与硝酸镍、硝酸钴为原料,采用一步水热法合成,制备工艺简单,易于实现规模化生产。本发明的Vs‑ZCS/Ni0.6Co0.4(OH)2光催化剂在硫缺陷及S型电荷转移机理的协同作用下,同时实现了宽的光谱响应和高效的光生载流子分离,因而表现出高达58.9~64.6mmol·h‑1·g‑1的光催化分解水制氢性能。同时,Vs‑ZCS/Ni0.6Co0.4(OH)2光催化剂经过五个循环连续使用后依然保持大约93%的光催化活性,显示出良好的稳定性。

标签:
复合材料
山东 - 青岛 来源:中冶有色网 2023-03-18
含磷有机酸烯基胺盐及其制备方法和应用

本发明公开一种含磷有机酸烯基胺盐及其制备方法和应用,通过含磷有机酸与烯基胺化合物间的中和反应,合成一系列含磷有机酸烯基胺盐,涉及的原料易得、合成过程简单、条件温和且无污染,不产生副产物,可实现大规模生产。将之作为阻燃交联剂,与不饱和聚酯树脂(UPR)相容性优良;固化后,含磷基团通过离子键以盐的形式引入UPR网络中。加入10%‑15%的含磷有机酸烯基胺盐,阻燃UPR的LOI值达到30%以上,阻燃UPR复合材料的LOI值达到37%以上,且阻燃UPR材料的耐热及力学等性能保持优良,在交通、建筑及船舶等领域具有广泛应用前景。

标签:
复合材料
山东 - 青岛 来源:中冶有色网 2023-03-18
铁基压电催化材料的制备方法及其在水处理中应用

本发明涉及一种铁基压电催化材料的制备方法及其在水处理中应用,属于新型功能材料制备及应用技术领域。本发明主要从三方面强化复合压电催化材料的环境应用。首先,通过变价元素原味引入促进活性空位的形成,初步强化压电性能;其次,通过元素掺杂调控压电材料的带隙宽度,增加复合材料的导电性,加速电子迁移,进一步提升压电催化活性;最后通过磁性构筑,实现水中压电催化材料的磁性回收,防治纳米污染的产生,促进压电材料的环境工程应用。

标签:
复合材料
山东 - 青岛 来源:中冶有色网 2023-03-18
氧化致型形状记忆纤维及其制备方法和应用

本发明涉及一种氧化致型形状记忆纤维及其制备方法和应用;属于记忆复合材料设计制备技术领域。本发明一种氧化致型形状记忆纤维,其包括预留有锚固端的承拉芯材和/或包覆有耐氧化涂层的承拉芯材、易氧化承压涂层;所述易氧化承压涂层包覆于承拉芯材和/或包覆有耐氧化涂层的承拉芯材外;所述易氧化承压涂层沿承拉芯材长度方向处于压应力状态且承拉芯材和/或包覆有耐氧化涂层的承拉芯材与易氧化承压涂层沿承拉芯材长度方向处于拉压平衡状态。其制备方法为:预留锚固端,然后对承拉芯材和/或包覆有耐氧化涂层的承拉芯材施加拉力;接着在其上包覆易氧化承压涂层。所述氧化致型形状记忆纤维特别适用于高温氧化环境。

标签:
复合材料
山东 - 青岛 来源:中冶有色网 2023-03-18
碳纳米管与聚合物熔融共混搅拌装置

本发明涉及一种碳纳米管与聚合物熔融共混搅拌装置,包括传动控制装置、捣压装置、加热装置、保温承载装置四部分,所述的传动控制装置通过铰支座与捣压装置铰连,传动控制装置由连接杆、减速器、步进电机、蜗轮蜗杆、传动曲轴、半圆板紧固件和凸缘组成,所述的传动曲轴通过套环紧固件与连接杆连接,蜗轮套在传动曲轴的中段,蜗杆与蜗轮啮合,减速器一端与蜗杆连接,另一端与步进电机连接,步进电机通过减速器驱动传动曲轴,传动曲轴带动所连接的连接杆做左右摆动,接着摆动的连接杆带动半圆板紧固件和凸缘做上下运动,于是半圆板紧固件所牵动的中芯与凸缘所牵动的套筒做相对活塞运动,中芯与套筒的交替上下活塞运动使混合物得到充分的捣压。该搅拌装置相对操作简单,成本较低,非常适合于工业化流水线生产,并且可以避免表面活性剂或溶剂污染复合材料,应用前景广阔。

标签:
复合材料
山东 - 青岛 来源:中冶有色网 2023-03-18
高曲率无褶皱双轴向织物

本发明提供了一种高曲率无褶皱双轴向织物,其通过预先铺设经纱和纬纱,纱线呈无交织直线排列,用单线链式的编织方法沿织物45°方向将经纬纱编织成型。本发明的有益效果是:拥有比机织物更优异的力学性能,成型性能更加显著,在复杂曲面复合材料方面的应用最为广泛。

标签:
复合材料
山东 - 青岛 来源:中冶有色网 2023-03-18
制造模具的材料
制造模具的材料 1187     
 0

本发明公开了一种制造模具的材料,该材料包含的成分及其重量百分比为:Pb60‑65%、Al6‑9%、Ba10‑13%,其余为Mg。本发明制备的材料是采用原位反应法生成的新型化合物硬基体复合材料,它们是以金属间化合物为主的材料,由于金属间化合物的强键合特性导致位错很难运动,使得材料的强度大幅提升。通过Ba和Mg的加入,利用它与Pb间的互溶性以及生成的强键合的金属间化合物,获得分布均匀的合金组织,提升了合金的强度和硬度。其强度和硬度指标分别达到228MPa和156HB。延长了模具使用寿命,拓宽它们在低熔点合金模具制造,低熔点合金轴衬、轴瓦材料的生产等领域的应用,加快推广快速制模技术的应用范围提供了更为可靠的技术保障。

标签:
复合材料
山东 - 青岛 来源:中冶有色网 2023-03-18
汽车拉杆球头套及其制备方法

本发明涉及汽车配件技术领域,具体涉及一种汽车拉杆球头套,通过如下重量份的原料加工得到:改性尼龙66 25‑55份,橡胶改性尼龙20‑40份,无碱玻纤10‑30份,碳纤维10‑20份,硅烷偶联剂KH‑550 1‑5份,无机纳米粒子5‑15份和相容剂1‑5份;克服了传统环形钢环作为球头套与球头互相磨损严重的缺陷,将与无碱玻纤复配改性的尼龙66作为球头套,具有良好的耐磨性及抗冲击性能,使球头与球头套之间为软接触,不会对球头造成磨损,延长了球头使用寿命,保证了汽车拉杆球头总成的正常工作;还提供了该拉杆球头套的制备方法,制备得到颗粒状的制作球头套的优良的改性尼龙复合材料。

标签:
复合材料
山东 - 青岛 来源:中冶有色网 2023-03-18
纳米纤维多层复合过滤口罩及其制备方法

本发明公开了一种纳米纤维多层复合过滤口罩及其制备方法,其首先将聚合物纳米纤维溶解在溶剂中,制备聚合物纳米纤维溶液;然后将聚合物纳米纤维溶液通过静电纺丝装置将聚合物纳米纤维涂覆在支撑基材的一侧或两侧,得到单体材料;最后将单体材料复合,得多层复合材料。本发明支撑基材作为支撑骨架,可以有效的隔离开较致密的纳米纤维层,降低阻力;同时多层复合可以使其在保证较低阻力的同时达到较高的过滤效;本发明纳米纤维口罩可阻隔空气中的颗粒物,并且透气性好,多层的结构提高了过滤效率。

标签:
复合材料
山东 - 青岛 来源:中冶有色网 2023-03-18
石墨烯原位包覆锂离子电池正极材料的制备方法

一种石墨烯原位包覆锂离子电池正极材料的制备方法,主要涉及一种锂离子电池技术领域,尤其是涉及一种石墨烯改性锂电池正极材料的制备方法。主要目的是解决锂电池正极材料电子电导率偏低、循环性能差和现有技术通过物理掺杂石墨烯或者是碳材料包覆锂离子正极材料所出现的包覆效果不好,包覆松散易脱离的技术问题。采用化学气相沉积法,碳源直接在锂电池正极材料表面上生成石墨烯,使石墨烯原位包覆锂电池正极材料。此复合材料石墨烯包覆效果好,具有较高的电导率。

标签:
复合材料
山东 - 青岛 来源:中冶有色网 2023-03-18
瓷用托板
瓷用托板 974     
 0

本发明涉及一种复合材料板,是一种适用在成型—干燥陶瓷生产工艺过程中支托坯体及瓷件所需的瓷用托板。本发明针对现有技术中的不足,提出了一种以石英粉,ABS树脂为基料而制成的复合型板,其中包括圆环形板、椭圆环形板、方形板及长条形板等不同几何形状及规格的托板。本发明的各项技术指标均优于现有技术,是一种即经济又实用的新型瓷用托板。

标签:
复合材料
山东 - 青岛 来源:中冶有色网 2023-03-18
颅骨修复材料及其制备方法

本发明公开一种人工颅骨修复材料,其属于骨科修补材料的技术领域。本发明公开的人工颅骨修复材料的各组分的重量份比组成为:骨水泥15~29份、三维钛网11~35份、聚乳酸类复合材料甲壳素11~17份和聚醚醚酮树脂15~21份。本发明还提供了上述人工颅骨修复材料的制备方法,采用3D打印技术,可以快速地制备得到所需弧度的颅骨结构。本发明所提供的上述重量份比组成的颅骨修补材料经3D打印技术制备任何所需弧度的颅骨假体,具有很好生物相容性、集中骨水泥、三维钛网等材料的优点、成本低,有效地克服了常用的颅骨修复材料在机械性能、工艺加工性能以及吻合性方面的不足同时临床应用的副作用明显减少。

标签:
复合材料
山东 - 青岛 来源:中冶有色网 2023-03-18
高刚性橡胶皮碗用材料配方

本发明涉及一种高刚性橡胶皮碗用材料配方,包括下列组分,丁腈橡胶25份,氯丁橡胶70份,天然橡胶10份,乙二胺20份,聚氨酯橡胶30份,软化剂二辛脂3份,活性剂氧化锌2份,聚酯丙烯酸酯1份,甲基丙烯酸酯9份,甲基丙烯酸缩水甘油酯1份,硅藻土12份,氧化铝2份,防老剂疏基苯并咪唑14份。与现有技术相比,本发明的有益效果是,本发明所制得的复合材料,大幅提高橡胶密封圈的制造精度,推动了高精度橡胶密封圈制备工艺技术的进步,提供一种优质可靠且经济性好的制备材料,保障高精橡胶密封圈的密封效果长效可靠。

标签:
复合材料
山东 - 青岛 来源:中冶有色网 2023-03-18
上一页 4 5 6 7 8 ... 90 下一页
共90页    到第

中冶有色为您提供最新的山东青岛有色金属复合材料技术理论与应用信息,涵盖发明专利、权利要求、说明书、技术领域、背景技术、实用新型内容及具体实施方式等有色技术内容。打造最具专业性的有色金属技术理论与应用平台!

全国热门有色金属设备推荐
展开更多 +
全国热门有色金属技术推荐
展开更多 +

 

江西省隆恩特环保设备有限公司
宣传

报名参会
更多+

报告下载

有色专家
更多+

西安建筑科技大学
教授
赣州有色冶金研究所有限公司
副主任/高级工程师
江西省科学院应用化学研究所
副主任/副研究员
广东省科学院工业分析检测中心
副主任
北京科技大学、中国科学院
院士
赤泥综合利用研究报告2025
推广

热门技术
更多+

推荐企业
更多+

福建省金龙稀土股份有限公司
宣传

发布

在线客服

公众号

电话

顶部
咨询电话:
010-88793500-807