青岛垚鑫智能科技有限公司
宣传

位置:中冶有色 >

有色技术频道 >

> 复合材料技术

分类:
全部
矿山技术
冶金技术
材料制备及加工技术
环境保护技术
分析检测技术
 
全部
功能材料技术
复合材料技术
新能源材料技术
合金材料技术
加工技术
地区:
全部
北京
天津
上海
重庆
河北
山西
辽宁
吉林
黑龙江
江苏
浙江
安徽
福建
江西
山东
河南
湖北
湖南
广东
海南
四川
贵州
云南
陕西
甘肃
青海
内蒙
广西
西藏
宁夏
新疆
其他
其他
展开
 
全部
广州
韶关
深圳
珠海
汕头
佛山
江门
湛江
茂名
肇庆
惠州
梅州
汕尾
河源
阳江
清远
东莞
中山
潮州
揭阳
云浮

广东深圳有色金属复合材料技术理论与应用

免费发布技术信息>>
云台电机及用于图像采集装置的云台

一种云台电机以及用于图像采集装置的云台,电机上壳和电机下壳相对设置并形成安装腔。定子座固定安装在电机下壳上,定子座筒状体的台阶孔内装有轴承。铁芯绕组套设在定子座的筒状体上。磁环环绕铁芯绕组设置。电机轴的一端与电机上壳固定连接,另一端穿过筒状体上的轴承后与一磁座连接。并且,该电机上壳、电机下壳和定子座中至少其一采用复合塑料材料制成,相较于现有的金属电机来说,可以降低成本、减少零部件数量、提高生产效率。而且复合材料的弹性模量较高,可以获得较好的刚度、耐化学系及尺寸稳定性,能够在较大负载的情况下,电机仍能保持良好的稳定性。

标签:
复合材料
广东 - 深圳 来源:中冶有色网 2023-03-18
激光切割方法及激光切割装置

本发明公开了一种激光切割方法,应用于多层复合材料的切割作业,包括如下步骤:将被切割件固定放置于切割平台;控制激光器发射激光束,其中,所述激光器输出功率为15‑50W,输出脉冲频率为200‑2000kHz,所述激光束波长为243‑455nm;将所述激光束沿所述被切割件的预设切割线进行激光切割,其中,切割速度为100‑500mm/s。同时,本发明也公开了一种能够实施上述激光切割方法的激光切割装置。在本发明技术方案中,采用激光切割的方法,控制激光切割加工工艺参数,使得所述被切割件沿切割线两侧的热影响区域受热升温不高,热影响小,热量能够及时地被释放,避免出现因为层与层之间的粘着性降低而导致熔融杂质渗入层与层之间,造成切割成品质量差的现象。

标签:
复合材料
广东 - 深圳 来源:中冶有色网 2023-03-18
埋地油罐加固方法
埋地油罐加固方法 1152     
 0

本发明公开了埋地油罐加固方法,包括埋地油罐,还包括自由赋形加强筋,自由赋形加强筋包括有包裹层,所述包裹层包括复合材料预浸布层,覆设于所述预浸布层上的热固胶层,所述包裹层由内到外缠绕多层以形成一定长度的柔性柱状体,所述柔性柱状体具有按其延伸方向设置的中空容腔,在所述中空容腔中按所述柔性柱状体的延伸方向设有弹性支撑部件,所述埋地油罐加固方法包括如下步骤:a.对埋地油罐的内壁进行清洗处理;b.按埋地油罐的内壁圆周方向将所述自由赋形加强筋粘贴到埋地油罐的内壁上;c.对所述包裹层进行加热固化。本发明固化后形成刚性支撑件,具有刚度性能好,使用寿命长,密封性能好的优点。

标签:
复合材料
广东 - 深圳 来源:中冶有色网 2023-03-18
金属有机骨架复合粒料及其制备方法和应用

本发明属于材料科学和空气污染治理领域,公开了一种金属有机骨架复合粒料及其制备方法和应用。该方法首先将基材置于铝盐和反应辅助剂混合溶液中活化,然后采用高温有机配体溶液旋喷的方式进行配位反应;最后进行成品的洗涤活化。该方法制备效率高,反应时间短,反应原料和溶剂利用率高,制备得到金属有机骨架复合粒料结构稳定,与单体MIL‑68(Al)粉末和基材相比,该复合材料展现出新的晶型结构,在去除工业废气中丙烯酸及其酯类污染物上表现出更加优异的性能。

标签:
复合材料
广东 - 深圳 来源:中冶有色网 2023-03-18
纳米胶束与橡胶复合的减震橡胶材料的配方

本发明涉及一种纳米胶束与橡胶复合的减震橡胶材料的配方,橡胶材料包括以下物质及质量份数:天然橡胶(NR)与顺丁橡胶(BR)复合材料100份;纳米氧化锌和硬脂酸3~6份;补强填充剂40~80份;纳米磺酸甜菜碱胶束5~10份;偶联剂1~3份;软化增塑剂3~8份;防老剂2~3份;硫化剂及硫化助剂4~8份。本技术方案制备减震用橡胶材料,提高了材料的热空气老化性、疲劳性和耐久性,从而达到提高高分子材料的使用性能,延长材料的使用寿命的目的,具有重大的科学价值和较大的经济价值。

标签:
复合材料
广东 - 深圳 来源:中冶有色网 2023-03-18
锂离子电池负极片的制作方法及锂离子电池

本发明提供一种锂离子电池负极片的制作方法,本发明提供的锂离子电池负极片的制作方法所制作的负极片比表面积大、体积变化可控且化学稳定性高。本发明还提供一种锂离子电池,包括正极片、隔膜、电解液、外壳及本发明提供的锂离子电池负极片的制作方法所制作的负极片;所述正极片、负极片及隔膜卷绕后装入所述外壳,经注电解液、封口后组成所述锂离子电池。本发明提供的锂离子电池,包括碳气凝胶包覆的硅碳复合材料的负极,锂离子电池的内阻小、倍率性能好、循环寿命长且能量密度高。

标签:
复合材料
广东 - 深圳 来源:中冶有色网 2023-03-18
基于原子力显微镜探针的力学性能测试方法

本发明公开了一种基于原子力显微镜探针的力学性能测试方法,方法包括:将原子力显微镜探针固定于扫描电子显微镜原位检测装置的Z轴移动平台的顶端,并将由碳纳米管及树脂复合材料组成的样品放置在样品放置区;移动X轴移动平台及Y轴移动平台,将原子力显微镜探针与样品接触后通过电子束照射粘接;启动电子显微镜的录像,并移动X轴移动平台及Y轴移动平台将样品中的单根碳纳米管拔出;根据录像中的多帧连续图像获取单根碳纳米管被拔出时原子力显微镜探针的位移,及原子力显微镜探针的弹性系数,得到单根碳纳米管与树脂间的界面力学性能。本发明实现了对材料的由纳米尺度到微米尺度的动态原位观测,又可以同时对其力学等性能进行测试。

标签:
复合材料
广东 - 深圳 来源:中冶有色网 2023-03-18
碳氮掺杂钛酸锂电极材料、制备方法及应用

本发明公开了一种碳氮掺杂钛酸锂电极材料、制备方法及应用,属于锂电池材料制备技术领域。该电极材料的制备过程为:先将表面活性剂、催化剂、含氮化合物和二氧化钛溶于聚甲基丙烯酸甲酯中,干燥后通过化学气相沉积法制备碳纳米管和氮掺杂的二氧化钛材料,再将其与锂源、氟化钠一同溶于聚乙烯吡咯烷酮溶剂中,通过静电纺丝技术和高温烧结法制备出纤维状的钛酸锂复合材料,并进一步改性得到电极材料。该材料具有导电率高、与电解液相容性好等特点,能显著提高钛酸锂电池的循环性能及倍率性能。

标签:
复合材料
广东 - 深圳 来源:中冶有色网 2023-03-18
场效应空间净化装置
场效应空间净化装置 816     
 0

场效应空间净化装置是由球形场效应系统和圆柱形低频电源系统构成,属于治理空气污染的环保设备领域。利用碳纳米复合材料(化学气相沉积方法合成)的电子遂穿、表面等离子体共振与耦合电磁波、光电倍增、绕场加速,及活性自由基链式反应等场效应性能所发明的场效应空间净化装置,具有高效、节能、免维护、无死角、多功能、人机共处等优点,不仅可以解决雾霾、臭氧、病毒、VOC(挥发性有机化合物的英文缩写,常见的有甲醛、甲苯和二甲苯等)等空气污染物的净化问题,而且无二次污染,还能产生有益健康的负离子。该装置适用于在空气污染显著的生产车间、公共场所、及城镇居民住房等空间,除臭、除尘、灭菌、除VOC及提供优化空气质量的负离子。

标签:
复合材料
广东 - 深圳 来源:中冶有色网 2023-03-18
有机电致发光器件及其制备方法

本发明实施例公开了一种有机电致发光器件,依次包括玻璃基底、复合散射层、阳极导电膜、空穴注入层、空穴传输层、发光层、电子传输层和阴极,所述复合散射层的材质为氧化镁和氧化锆与二氧化钛复合形成的复合材料,所述二氧化钛包覆在所述氧化镁和所述氧化锆的颗粒表面,所述氧化锆占所述氧化镁质量的10~50%。另,本发明实施例还公开了一种有机电致发光器件的制备方法。本发明提供的有机电致发光器件,通过在玻璃基底和阳极导电膜之间制备复合散射层,使阳极导电膜与玻璃基底之间的折射率逐渐降低,从而使得全反射的临界角增大,全反射的几率变小,提高了出光效率。

标签:
复合材料
广东 - 深圳 来源:中冶有色网 2023-03-18
生物活性短切碳纤维/碳化硅人工骨材料及其制备方法

本发明公开了一种生物活性短切碳纤维/碳化硅人工骨材料及其制备方法。本发明生物活性短切碳纤维/碳化硅人工骨材料制备方法包括的工艺步骤有:对预氧丝或/和碳纤维进行预处理、配制碳化硅混合物的有机浆料、将预氧丝或/和碳纤维与碳化硅混合物浆料进行混料处理、将纤混合浆料进行模压形成坯体、将坯体进行压力烧结处理、将短切碳纤维/碳化硅复合材料进行原位氧化处理。本发明生物活性短切碳纤维/碳化硅人工骨材料制备方法制备的生物活性短切碳纤维/碳化硅人工骨材料具有低刚度、良好的生物活性,能与组织形成化学键合,具有与骨模量相当的生物相容性。本发明生物活性短切碳纤维/碳化硅人工骨材料制备方法工艺易控,目标产品性能稳定。

标签:
复合材料
广东 - 深圳 来源:中冶有色网 2023-03-18
螺旋式铣孔装置
螺旋式铣孔装置 787     
 0

本发明提供一种螺旋式铣孔装置,包括两台电机、外壳、低速轴、齿轮系、主轴组件、外偏心体、内蜗轮偏心体和一组无侧隙蜗杆装置,所述螺旋进给固定在空心轴电机上,所述齿轮系用来连接主电机与主轴组件,所述内蜗轮偏心体围绕在主轴组件上,所述一组蜗杆装置通过手动调节旋转和与外偏心体啮合来调整螺旋轨迹运动铣孔的直径,最后用外壳外罩上,其特征是:铣刀安装在主轴组件上,从工件的外壁向内铣孔。该装置解决航空航天的铝合金、钛合金和碳纤维复合材料大件加工难问题。

标签:
复合材料
广东 - 深圳 来源:中冶有色网 2023-03-18
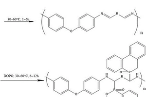
环氧树脂用柔性磷氮阻燃剂及其制备方法与应用

本发明公开了一种环氧树脂用柔性磷氮阻燃剂及其制备方法与应用,该方法首先以芳香胺与二醛类有机物为反应物,通过缩合反应形成有机长链,然后将生成物与9, 10?二氢?9?氧?10?磷杂菲?10?氧化物(DOPO)通过加成反应得到固态最终产物。该阻燃剂分子活性高,可以促进环氧树脂的固化,且能赋予固化物出色的阻燃效果,相比于其它DOPO衍生物阻燃剂,该阻燃剂分子中有柔性碳链,能够提高环氧树脂固化物的韧性,当固化物中的含磷量为1.0~1.5%时,环氧树脂的垂直燃烧等级即可达到UL94V?0级别,极限氧指数超过37.5,玻璃化转变温度为150.0~155.1℃,成碳率高达26.8~28.1,冲击强度为1.67~2.08kJ/m2。该阻燃剂也可以与导热助剂一起添加到聚碳酸酯改性环氧树脂中,得到具有较高的抗冲击强度、良好阻燃及导热性能的复合材料。

标签:
复合材料
广东 - 深圳 来源:中冶有色网 2023-03-18
锂离子电池用的硅碳负极材料及其制备方法

本发明公开了一种锂离子电池用的硅碳负极材料及其制备方法,要解决的技术问题是提高硅碳负极材料的循环性能。本发明由硅碳复合材料与石墨粉组成,质量比组份为:纳米硅粉1~20%,碳材料前躯体1~40%,其余为石墨粉。本发明的制备方法包括以下步骤:混合,热处理,粉碎,除去包覆层有缺陷的硅粉,混合,热处理,粉碎,与石墨粉混合。本发明与现有技术相比,具有较高比克容量、并较一般的合金负极材料具有良好的循环性能,制备材料的比容量根据工艺参数的不同在400~1000mAh/g,循环50次容量保持率在95%以上,制备工艺简单,原料成本低廉,适用于高容量型各类锂离子电池负极材料的大批量生产。

标签:
复合材料
广东 - 深圳 来源:中冶有色网 2023-03-18
集成天线的PCB板
集成天线的PCB板 1010     
 0

本发明一种集成天线的PCB板,包括PCB板和设于PCB板上的天线,其中,天线集成于PCB板表面,该天线为电磁复合材料天线,该天线可以使是单极天线、双极天线或多极天线。本发明一种集成天线的PCB板通过将天线集成于PCB板的表面免去了连接PCB板与天线的连接结构,降低了信号在传输过程中的衰减,节约了原料;使用该集成天线的PCB板实现了所制造的设备的小型化,符合技术发展的趋势;同时该PCB板制备工艺简单,适于生产;PCB板上集成的天线能够衍生成多种结构,能够满足多种设备的需求。

标签:
复合材料
广东 - 深圳 来源:中冶有色网 2023-03-18
纤维织物复合吸能材料及其制备方法

本发明公开了一种纤维织物复合吸能材料及其制备方法,所述制备方法包括先对剪切增稠流体进行雾化前预处理,然后对稀释后的剪切增稠流体进行雾化处理,再将雾化的稀释剪切增稠流体雾粒喷涂到高性能纤维织物上,最后进行真空复合压制。本发明提供的制备方法可方便地实现纤维织物复合吸能材料的大尺寸连续化制备,适用于工业化生产。采用本发明制备方法制备的纤维织物复合吸能材料成分可控、性能均匀、柔顺性好。由该复合材料做成的防护制品具有优良的防护性能,特别具有很强的防锥、刀等利器穿刺的性能;并且由于其柔顺性好,使得做成的防护制品穿着舒适。本发明提供的纤维织物复合吸能材料特别适合于军用或民用的防护制品制备。

标签:
复合材料
广东 - 深圳 来源:中冶有色网 2023-03-18
具有两台扩容箱的汽车外壳涂装系统

本发明一种具有两台扩容箱的汽车外壳涂装系统,该涂装系统包括预涂区域、电镀区域、涂装基层区域、涂装底层区域、涂装透明涂料区域和干燥站。其中涂装底层区域包含一个第一层底漆涂装站、一套第一扩容箱和一个第二层底漆涂装站;涂装透明涂料区域包含一个第一层透明涂装站、一套第二扩容箱和一个第二层透明涂装站。本发明提供的涂装系统不仅适用于涂装金属、聚合物(包括热固性材料和热塑性材料)以及复合材料的汽车外壳,还可以喷涂含铁的金属外壳如铁、钢及其合金等,另外非铁质材料如铝、锌、镁及其合金、化合物等也可使用该系统。如果汽车外壳是冷轧钢、镀锌钢、铝和镁材质,则效果更佳。

标签:
复合材料
广东 - 深圳 来源:中冶有色网 2023-03-18
吸波环保手机
吸波环保手机 965     
 0

一种吸波环保手机,将现有外置天线位于一侧位置改变到位于中心位置,由石墨粉和羰基铁粉为功能材料,配合高分子材料在内置天线朝头部方向机壳内、外置天线翻盖一侧内部喷涂、粘贴吸收、阻断电磁波复合材料,厚度为0.3mm-3mm,该材料屏蔽电磁波频带为10MHz-5000MHz,屏蔽手机天线辐射到头部方向的电磁波衰减10dB-40dB。

标签:
复合材料
广东 - 深圳 来源:中冶有色网 2023-03-18
弹性防水防尘透气膜的制造工艺

本发明公开了一种弹性防水防尘透气膜的制造工艺,其工艺步骤顺序为混料、预处理、压制、挤出、压延、脱脂、第一次拉伸、烧结、第二次拉伸、静置、复胶以及热压,本发明通过在制作过程中复合弹性功能材料从而改变膜材性能,使膜材具有弹性,在规范爆破压强下可重复使用,为一种新型复合材料,与传统防爆阀膜材相比,本发明材料可重复使用,从而减少终端防爆阀更换频率,降低维护成本。

标签:
复合材料
广东 - 深圳 来源:中冶有色网 2023-03-18
集成微流腔的二维范德华复合结构光学生物传感器

本发明属于生物传感技术领域,特别是涉及一种集成微流腔的二维范德华复合结构光学生物传感器,包括基底及附于基底上的二维范德华复合结构,在二维范德华复合结构上集成微流腔以传输、检测生物样本,该传感器可实现高相位检测灵敏度。当微流腔中生物样本发生变化时,微流腔的等效折射率发生变化,引发相位发生类似赫维赛德阶跃,从而实现高相位检测灵敏度。本发明主要通过对二维范德华复合材料进行优选和结构设计,进一步提高检测灵敏度。

标签:
复合材料
广东 - 深圳 来源:中冶有色网 2023-03-18
发光光纤复合催化材料及其等离子体制备方法

本发明提供了一种发光光纤复合催化材料及其等离子体制备方法。具体公开了所述复合材料包含光纤以及附着于光纤外表面的碳量子点。附着于光纤外表面的碳量子点通过以下方式获得:将光纤浸入胺类有机溶剂中,随后置于甲基丙烯酸酯或含有甲基丙烯酸酯的有机溶剂中,在等离子体的作用下,光纤表面形成碳量子点和聚甲基丙烯酸酯聚合物层。本发明中通过量子点的加入提升了发光光纤的发光效果;而量子点的催化效果可以为发光光纤增加功能性;更重要的是,发光效果的协同增强可以提升催化效果,特别是光电催化效果。本发明的制备方法简单,在保证发光光纤原始的性能不受影响,实现了通过光纤内的光源激发光纤外层均匀附着的碳量子点的效果。

标签:
复合材料
广东 - 深圳 来源:中冶有色网 2023-03-18
高效消除固体表面吸附气体的方法及其应用

本发明公开了一种高效消除固体表面吸附气体的方法及其应用,利用对固体表面吸附气体施加能量源的方法,提高气体的动能,气体分子脱离模具腔室或包套等固体表面,在真空泵的作用下,能够很快地除尽模具腔室或包套中的气体,达到高效消除表面吸附气体的目的,方法简便,效率高,不需要延长抽真空时间,从而有效解决各种先进铸造法制造的材料时,由于内部残留气体导致的孔洞问题以及包套挤压过程因包套内吸附气体而产生的复合材料开裂问题。本发明的方法不仅仅可以应用于普通的制造工艺中,应用在极为复杂的精密器件的制造中也能有很好的效果。

标签:
复合材料
广东 - 深圳 来源:中冶有色网 2023-03-18
复合布及其制备方法与应用

本发明公开一种复合布及其制备方法与应用,其中,所述复合布包括聚烯烃微孔膜以及与所述聚烯烃微孔膜复合在一起的非织造布和/或织造布;所述聚烯烃微孔膜采用共挤工艺制备:利用双螺杆挤出机将至少两种不同功能的聚烯烃熔融挤出,经流延辊牵引、冷却、热处理形成至少两层共挤膜,所述至少两层共挤膜中至少有一层为高强度聚烯烃共挤膜;所述共挤膜通过拉伸、热定型处理,制得所述聚烯烃微孔膜。本发明复合布具有较佳热稳定性,能够满足高温蒸汽灭菌的使用需求;所述复合布继承了电池隔膜透气透湿性、阻隔性、机械强度高和柔软抗折皱等优点,为医用防护服提供了一种高性能的复合材料。

标签:
复合材料
广东 - 深圳 来源:中冶有色网 2023-03-18
石墨烯复合金属箔及其制备方法

本发明实施例公开了一种石墨烯复合金属箔及其制备方法,涉及复合材料技术领域,所述石墨烯复合金属箔包括金属箔基底和平面石墨烯层,所述平面石墨烯层通过高压静电喷涂的方法平铺在所述金属箔基底上。本发明一种石墨烯复合金属箔的制备方法简单、普适性高、可连续操作,石墨烯覆盖层的厚度、宽度和长度可调控,充分发挥了高压静电喷涂技术的优势,并在较低温度下制备出高质量的石墨烯复合金属箔,适用于工业化批量生产。

标签:
复合材料
广东 - 深圳 来源:中冶有色网 2023-03-18
石墨烯原位复合磷酸铁锂正极材料及其制备方法

本发明公开一种石墨烯原位复合磷酸铁锂正极材料及其制备方法,其中,所述方法包括以廉价易得的氧化铁、磷酸、碳酸锂和液态聚丙烯腈低聚物作为原料,通过研磨、喷雾干燥、预加热以及煅烧处理,制备出石墨烯原位复合磷酸铁锂正极材料。通过本发明方法制得的石墨烯原位复合磷酸铁锂正极材料中,石墨烯的包覆有效地控制晶粒的生长,材料内部晶粒有序排列,堆积较为密实,维持了电极材料的结构稳定性;同时石墨烯优异的导电性能加快了复合材料的电子迁移速率,有效提高电极材料的导电性。本发明提供的制备方法简单易实现、环保无污染、成本低廉。

标签:
复合材料
广东 - 深圳 来源:中冶有色网 2023-03-18
层级结构多级孔沸石及其制备方法

层级结构多级孔沸石及其制备方法;层级结构多级孔沸石的制备方法,包括在湿化学水热合成沸石反应合成液中加入小分子材料,与各原材料一起反应,生成小分子‑沸石复合材料,然后洗涤固体产物,得到层级结构多级孔沸石;小分子材料是分子量低于或等于900道尔顿的有机化合物,小分子材料尺寸小于2nm。采用小分子材料为软模板,能形成孔大小和结构可控的层级结构的多级孔沸石,所制备的多级孔沸石能够实现蛋白质等大分子物质的吸附、有机物转化、生物催化、大尺度离子交换等功能,拓展了沸石应用领域和范围。制备方法简单、易操作、成本低,为大规模生产层级结构的多级孔沸石奠定了基础。

标签:
复合材料
广东 - 深圳 来源:中冶有色网 2023-03-18
基于碳氮化物纳米二维材料增韧的结构陶瓷及其制备方法

本发明公开了一种基于碳氮化物纳米二维材料增韧的结构陶瓷及其制备方法,该制备方法包括以下步骤:S1:按照预定比例称取碳氮化物纳米二维材料粉末与结构陶瓷粉末;S2:将氮化物纳米二维材料粉末与结构陶瓷粉末混合均匀;S3:采用放电等离子烧结技术对步骤S2混合均匀的粉末进行烧结,得到基于氮化物纳米二维材料增韧的结构陶瓷。本发明提出的基于碳氮化物纳米二维材料增韧的结构陶瓷及其制备方法,简单快捷、绿色环保;拓宽了新型结构‑功能一体化陶瓷和陶瓷基复合材料的研究范围。

标签:
复合材料
广东 - 深圳 来源:中冶有色网 2023-03-18
具有g-C3N4/RGO有序多孔涂层的锂硫电池隔膜的制备方法

本发明为一种具有g‑C3N4/RGO有序多孔涂层的锂硫电池隔膜的制备方法。该方法包括以下步骤:第一步,制备g‑C3N4/RGO复合材料;第二步,制备g‑C3N4/RGO有序多孔材料;第三步,制备表面附着g‑C3N4/RGO有序多孔涂层的锂硫电池隔膜:将g‑C3N4/RGO有序多孔材料和PVDF混合、研磨,然后滴入N‑甲基吡咯烷酮,继续研磨10~30min,用涂刮器将其涂覆在隔膜一侧,涂覆厚度为10~20um,将涂好的隔膜置于干燥箱中干燥1~24h,得到表面附着g‑C3N4/RGO有序多孔涂层的锂硫电池隔膜。本发明得到的材料具有良好的稳定性,还具有良好的导电性,还具有多孔结构。

标签:
复合材料
广东 - 深圳 来源:中冶有色网 2023-03-18
氮掺杂碳包覆硅复合石墨材料的制备方法

本发明属于锂离子电池技术领域,涉及一种氮掺杂碳包覆硅复合石墨材料的制备方法,包括如下步骤:以三聚氰胺为氮源,有机酸为碳源,改性石墨烯为导电桥梁,将三聚氰胺、有机酸、改性石墨烯与纳米硅悬浊液混合均匀,然后再加入石墨,混合均匀,干燥;将混合好的干燥物料研磨过筛,然后将物料转移至回转炉中,通入惰性气氛,加热至100~500℃,纳米硅颗粒嵌入三聚氰胺与有机酸、改性石墨烯反应后原位生成的功能结构组分中;然后继续升温碳化。相对于现有技术,本发明采用原位氮掺杂碳包覆硅复合石墨材料,从而得到硅碳复合材料,该材料的循环性能提升明显,倍率性能好。而且该方法简单,成本低,非常适合大规模生产运用。

标签:
复合材料
广东 - 深圳 来源:中冶有色网 2023-03-18
层贴合材料及其制备方法

本发明适用于多层复合材料领域,提供了一种层贴合材料及其制备方法。所述层贴合材料,包括依次设置的表面层、底面层和夹心层,所述层贴合材料上分布有封边孔,所述封边孔的孔壁面有熔接封边环,所述表面层和所述底面层通过所述熔接封边环连接,所述表面层、夹心层和底面层通过所述封边孔贴合。所述层贴合的制备方法,包括以下步骤:提供依次层叠设置的表面层、夹心层和底面层,形成多层材料;将所述多层材料进行超声波压焊封边处理,得到表面分布有封边孔的层贴合材料。

标签:
复合材料
广东 - 深圳 来源:中冶有色网 2023-03-18
上一页 9 10 11 12 13 ... 117 下一页
共117页    到第

中冶有色为您提供最新的广东深圳有色金属复合材料技术理论与应用信息,涵盖发明专利、权利要求、说明书、技术领域、背景技术、实用新型内容及具体实施方式等有色技术内容。打造最具专业性的有色金属技术理论与应用平台!

全国热门有色金属设备推荐
展开更多 +
全国热门有色金属技术推荐
展开更多 +

 

江西省隆恩特环保设备有限公司
宣传

报名参会
更多+

报告下载

有色专家
更多+

华东理工大学
主任/教授
中国矿业大学
教授
南方科技大学
外籍院士
长沙矿冶研究院
总经理
江西理工大学
教授
赤泥综合利用研究报告2025
推广

热门技术
更多+

推荐企业
更多+

福建省金龙稀土股份有限公司
宣传

发布

在线客服

公众号

电话

顶部
咨询电话:
010-88793500-807