青岛垚鑫智能科技有限公司
宣传

位置:中冶有色 >

有色技术频道 >

> 复合材料技术

分类:
全部
矿山技术
冶金技术
材料制备及加工技术
环境保护技术
分析检测技术
 
全部
功能材料技术
复合材料技术
新能源材料技术
合金材料技术
加工技术
地区:
全部
北京
天津
上海
重庆
河北
山西
辽宁
吉林
黑龙江
江苏
浙江
安徽
福建
江西
山东
河南
湖北
湖南
广东
海南
四川
贵州
云南
陕西
甘肃
青海
内蒙
广西
西藏
宁夏
新疆
其他
其他
展开
 
全部
上海

上海有色金属复合材料技术理论与应用

免费发布技术信息>>
环氧乙烯基酯树脂的合成方法

一种环氧乙烯基酯树脂的合成方法,属高分子聚合物技术领域,其特征在于包括下述步骤:(1)反应釜中按重量百分比计依次加入40%~50%双酚A型环氧树脂、8%~20%不饱和一元羧酸、2.5%~11%长链饱和二元酸、0.05%~0.5%催化剂A和0.01%~0.1%阻聚剂;(2)控制温度在100~130℃之间测定酸值,直到降至15mgKOH/g以下;(3)冷却到80℃左右加入1.0%~5.0%异氰酸酯和0.05%~0.5%催化剂B,控制反应温度在60~80℃,直至测得的异氰酸根浓度为0时为反应终点;(4)加入26%~40%交联剂即得高韧性环氧乙烯基酯树脂。本发明的优点是:用长链饱和二元酸部分代替不饱和一元羧酸与环氧树脂反应,同时加入异氰酸酯改性,进一步提高其韧性。生产方法简单,终点明确,无“三废”产生,质量稳定,适用于制作各种高性能复合材料制品。

标签:
复合材料
上海 - 上海 来源:中冶有色网 2023-03-18
热熔胶
热熔胶 833     
 0

本发明公开了一种聚酰胺热熔胶,所述聚酰胺热熔胶的主要原料为戊二胺与脂肪族长链二元酸,其中至少一种是由生物法制备,具有绿色可再生的优点,而且力学等性能与现有热熔胶相当,可以替代现有热熔胶运用在纤维织物粘接、制鞋绷楦、电器、机械工业、金属、塑料层压复合材料制造、汽车、土木建筑和家具等工业等领域,具有广泛的应用前景。

标签:
复合材料
上海 - 上海 来源:中冶有色网 2023-03-18
含嘧啶基团刚性共轭大环化合物及其制备方法和应用

本发明涉及一种含嘧啶基团刚性共轭大环化合物及其制备方法和应用,化合物的结构通式为:;其中,R各自独立的选自疏水性长链基团、亲水性长链基团、手性长链基团、酯基、氰基、氨基、芳基、巯基中的一种或几种。制备方法包括:(1)合成单体II;(2)单体II与5-溴-2碘嘧啶通过Suzuki偶联反应合成单体III;(3)利用单体II和单体III通过Suzuki偶联一步成环法合成含嘧啶基团刚性共轭大环化合物。本发明可作为优良的自组装单元分子应用到新型功能材料开发中;通过自身所含的N杂原子与金属配位,呈现特殊的光电性能,用于复合材料研究中。

标签:
复合材料
上海 - 上海 来源:中冶有色网 2023-03-18
废弃硬质聚氨酯泡沫的回收利用制备增强树脂泡沫的方法

本发明属于高分子复合材料领域,具体为一种废弃硬质聚氨酯泡沫的回收利用制备增强树脂泡沫的方法。其具体步骤为:将回收的硬质聚氨酯泡沫通过机械研磨的方法制成粉料,然后被引入到聚合物泡沫的预聚物中搅拌分散,经过发泡制备得到增强树脂泡沫。经测试,该方法能够显著提高树脂泡沫的压缩性能,同时不影响树脂泡沫其他力学性能,热稳定也不会产生明显影响。

标签:
复合材料
上海 - 上海 来源:中冶有色网 2023-03-18
新型钢纤维复合混凝土构件浇筑方法

本发明所要解决的技术问题是:解决一种用于机场跑道,桥梁承载部位、高层建筑物受力部位、地下支撑工程的钢纤维复合混凝土构件的浇筑方法。本发明解决上述技术问题采用的技术方案:钢纤维复合混凝土构件是在普通混凝土构件中掺入乱向分布的短制钢纤维以及其他新型纤维体复合材料。通过调整各种纤维材料在混凝土中的用量,改变混凝土抗撕裂能力,增强混凝土韧性、提高混凝土内部延性与结构性能,合理调整水泥用量、外掺料用量及水灰比值等方面。钢纤维复合混凝土构件的配合比设计,需根据构件对混凝土的使用要求和技术指标要求,进行合理的调整设计。通过不同设计调整达到最佳设计,既提高混凝土构件的质量,还降低混凝土构件的成本。

标签:
复合材料
上海 - 上海 来源:中冶有色网 2023-03-18
磁性无机纳米粒子/大孔径有序介孔氧化物核壳微球及其制备方法

本发明属于先进纳米复合材料技术领域,具体为一种磁性无机纳米粒子/大孔径有序介孔氧化物核壳微球及其制备方法。本发明首先利用溶胶-凝胶化学合成法,在磁性无机纳米粒子表面包覆上一层无定形二氧化硅,形成尺寸均一的磁性无机纳米粒子/二氧化硅核壳微球;然后通过“纳米浇铸”的方法在上述核壳微球的空隙内填充入有机碳前驱液,处理碳化;通过再次“纳米浇铸”的方法在三维有序大孔碳里形成介观结构,焙烧后得磁性无机纳米粒子/大孔径有序介孔氧化物核壳微球。该磁性复合微球具有较强的磁响应性和较高的比表面积,在蛋白质吸附、酶的固定、纳米催化剂颗粒的负载等方面具有广阔的应用前景,本发明方法简单,原料易得,适于放大生产。

标签:
复合材料
上海 - 上海 来源:中冶有色网 2023-03-18
控制往复喷射成形工艺

一种控制往复喷射成形工艺属于合金及复合材 料领域。方法如下:合金熔体在重力作用下进入雾化区域,采 用非限制式、非扫描、二级雾化器,通过雾化器将合金熔体粉 碎,形成稳定而密集的液滴喷射流,连续沉积的合金液滴充分 熔合,快速凝固,使液滴带电并在电场中飞向基底,精确控制 沉积室内的气压,未粘结的粉尘通过排风口及时排除,在线控 制工艺参数,始终满足最佳沉积状态。本发明工艺解决了背景 技术中存在的问题,获得的有益效果是:沉积坯凝固速率达 104~K/s,平均晶粒度0.9~20μm,同时,致密度高、层 界面缺陷少,材料收得率大幅度提高,适宜制备大规格的沉积坯。

标签:
复合材料
上海 - 上海 来源:中冶有色网 2023-03-18
新型有机化蒙脱土增韧增强尼龙的方法

本发明提供了一种新型有机化蒙脱土增韧增强尼龙的制备方法。包括如下步骤:将蒙脱土溶于极性溶剂中溶胀,然后加入作为插层剂的ω-十二内酰胺的有机溶液,获得有机化的蒙脱土;然后将有机化的蒙脱土加入己内酰胺中,在氮气保护下,100-120℃搅拌4~8小时,在真空度为99331-99997Pa下抽真空15~60分钟,然后加入己内酰胺钠、2,4-甲苯二异氰酸酯以及其他助剂,进行浇铸或者反应挤出,即获得产物。本发明的方法,制备了一种能够有效的结合蒙脱土与尼龙基体间连接力的插层剂,这种插层剂处理的蒙脱土制备的蒙脱土/尼龙纳米复合材料既具有高强度、高模量、高阻隔的特点,又具有高的缺口冲击强度和断裂伸长率。

标签:
复合材料
上海 - 上海 来源:中冶有色网 2023-03-18
可生物降解聚合物磁性载药微球的制备方法

本发明属于复合材料和生物医药技术领域,具体 涉及一种可生物降解聚合物磁性载药微球的制备方法。本发明 以纳米 Fe3O4为磁性种子,以可生物降解聚合物为载体材料,采用相分 离法制备包裹脂溶性药物的磁性微球。本发明中水相为吐温80 水溶液或聚乙烯醇水溶液或蒸馏水,油相为聚合物和药物的丙 酮溶液,先把 Fe3O4纳米颗粒超声分散于油相中,再把油相滴加到水相中,搅 拌挥发除去丙酮,反复透析和离心分离,除去未包封药物和游 离磁粒子,最后冷冻干燥得到可生物降解聚合物磁性载药微 球。所得微球形貌规整,分散性良好,粒径在380nm以下, Fe3O4含量为4~8%,药物包封率为9~17%,可以作为新型药 物载体用于靶向给药系统。本发明安全低毒,操作简单易行, 重复性好,成本低,适合大规模生产。

标签:
复合材料
上海 - 上海 来源:中冶有色网 2023-03-18
玻璃钢聚胺酯保温风管
玻璃钢聚胺酯保温风管 1014     
 0

本发明公开了一种玻璃钢聚胺酯保温风管,风管壁由中间灌注聚胺酯发泡的内外二层筒体组成,内筒体为玻璃钢材质,外筒体为玻璃钢铝塑涤纶复合材料制成。风管法兰密封面上设有风管端口内外护套,内外护套之间设有榫头,内外护套与榫头之间成风管内外筒体端口壁槽,筒体端口分别插入法兰的内外壁槽内,且与法兰内外护套铆接。法兰的另一个面为平面,面上设有放置橡胶密封圈的凹槽。

标签:
复合材料
上海 - 上海 来源:中冶有色网 2023-03-18
聚丙烯腈基预氧化纤维的制造方法

本发明涉及化学纤维生产中,聚丙烯腈基预氧化纤维的制造方法,其工艺在于将丙烯腈含量大于92%(质量百分比),强度大于4.0cN/dtex的聚丙烯腈基原纤维以30~80m/h的速度依次通过10~12个区的层式热稳定化炉,通过控制各区的温度和牵伸比来制备强度大于等于3.0cN/dtex,伸长大于等于15%的聚丙烯腈基预氧化纤维,从而能保证制得Z向强度高的碳/碳复合材料骨架整体毡。优点是制造工艺合理,符合环保要求,纤维质量指标高。

标签:
复合材料
上海 - 上海 来源:中冶有色网 2023-03-18
硫化银纳米颗粒的制备方法

一种纳米复合材料技术领域的硫化银纳米颗粒的制备方法,包括:制备银离子蛋白混合液;制备银-硫蛋白混合液;离心处理以及真空干燥处理,制成硫化银纳米颗粒。本发明所述方法工艺简单新颖,设备数量少,能耗低,环境友好,制备获得的纳米颗粒成球形。

标签:
复合材料
上海 - 上海 来源:中冶有色网 2023-03-18
全再生塑料建筑模板
全再生塑料建筑模板 927     
 0

本发明公开了一种全再生塑料建筑模板,由玻璃纤维增强塑料注塑而成,其包括两层塑料工作面板及位于工作面板背面的加强筋板构成,所述工作面板中至少一个工作面板上设有饰面。本发明能够作为工艺墙体模板,降低生产成本,损坏后的模板可以回收再利用,不仅回收价值高,而且回收再生的成本低廉,比现有的玻璃钢复合材料的建筑模板更加环保。

标签:
复合材料
上海 - 上海 来源:中冶有色网 2023-03-18
蚕丝纤维增强聚己内酯多孔支架及其制备方法

本发明涉及一种生物医学材料领域的蚕丝纤维增强聚己内酯多孔支架及其制备方法。本发明以聚己内酯为基体相,蚕丝丝素纤维为增强相,通过熔融共混和粒子滤出法相结合制备多孔复合材料。将水溶性高分子和无机盐作为复合致孔剂,采用绿色环保的致孔剂滤出技术获得孔洞结构,孔洞大小为100UM-300UM,孔隙率为52.9%-83.2%。蚕丝纤维增强了材料的力学性能,并且能够缓解聚己内酯降解过程中局部酸性偏大的问题。支架的孔隙率和力学性能可以通过控制材料和致孔剂的配比来调节。整个制备过程没有引入有机溶剂,并且能够使致孔剂充分滤出,避免了因有机溶剂和致孔剂的残留导致支架材料生物相容性下降的问题。

标签:
复合材料
上海 - 上海 来源:中冶有色网 2023-03-18
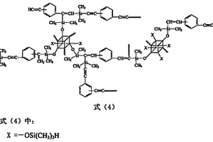
倍半硅氧烷多芳炔杂化树脂及其制备方法和用途

本发明公开了一种倍半硅氧烷多芳炔杂化树脂,该树脂具有式(4)所示之示意结构。本发明具体公开了利用八(二甲基硅氧)倍半硅氧烷(Q8M811)和含硅芳炔齐聚物制备该树脂的方法。另外,本发明还公开了该树脂用作高温结构功能一体化树脂基复合材料如透波材料、耐辐射材料等的用途,在航空、航天、电子、汽车工业等领域有广阔的应用前景。

标签:
复合材料
上海 - 上海 来源:中冶有色网 2023-03-18
聚苯醚/尼龙56/聚酮合金材料及其制备方法

本发明属于高分子复合材料技术领域,具体涉及一种聚苯醚/尼龙56/聚酮合金材料及其制备方法。聚苯醚/尼龙56/聚酮合金材料,由以下重量份数的组分组成:聚苯醚:65‑90份,尼龙56:5‑15份,聚酮:5‑25份,相容剂:1‑10份,增韧剂:1‑10份,抗氧剂:0.2‑2.0份,润滑剂:0.2‑2.0份。本发明通过聚苯醚/尼龙56/聚酮的合金改性,不仅有效改进了聚苯醚材料的耐磨性能,同时增加了聚苯醚的耐磨性、加工流动性和耐化学性能;本发明聚苯醚、尼龙56、聚酮、相容剂、增韧剂、抗氧剂、润滑剂采用混料机混合均与后,加入双螺杆挤出机造粒得到,现有的双螺杆挤出设备即可操作生产,易于批量化生产。

标签:
复合材料
上海 - 上海 来源:中冶有色网 2023-03-18
锂离子电池硅氧负极材料的改性方法

本发明公开一种锂离子电池硅氧负极材料的改性方法,将一定量的聚乙烯酰胺(PAM)溶解于水中;加入一定量的SiOx粉末,充分搅拌使SiOx分散均匀得到SiOx悬浊液;将分散后的悬浊液干燥,得到凝胶状前驱体;于惰性气体中高温焙烧此前驱体得到SiOx/C复合材料。由于聚乙烯酰胺(PAM)为水溶性高分子材料,作为碳源包覆时可避免使用有毒的有机溶剂分散,有利于环保。将改性前后的SiOx样品组装成电池,相应的容量保持率显著提高,循环性能得到改善。

标签:
复合材料
上海 - 上海 来源:中冶有色网 2023-03-18
用于储氢的片、块、管状与异形状材料的制造方法

本发明涉及一种用于储氢的片、块、管状与异形状材料的制造方法,将碱金属中的锂、钠、钾与碱土金属中的镁、钙、铍等与非金属中的硼、碳、碘等进行优化组合以改善其低温放氢的性能,利用电气石粉末、氧化镁粉末、石墨碳粉末和硼、碘、铍等粉末原料与麦饭石粉末结合成组合体,装模后放入高温炉加热,制成各种形态的片、块、管状与异形状材料。制成的储氢材料能够充分改善复合材料的力学性能,保持材料内部满布微孔,并加强晶体结构的强度,使其具备在常温和氢气压力下能可逆地大量吸收、储存和释放氢气的组合体化合物的功能,用于罐内安装时,可适合各种形态的储氢罐体,具有广泛的应用价值。

标签:
复合材料
上海 - 上海 来源:中冶有色网 2023-03-18
具有蛋黄-蛋壳结构的多孔非晶硅/聚吡咯钠离子电池负极材料的制备方法

本发明公开了一种具有蛋黄‑蛋壳结构的多孔非晶硅/聚吡咯钠离子电池负极材料的制备方法,通过钠热还原廉价二氧化硅制备多孔非晶硅,再在非晶硅表面依次沉积氧化铝层和聚合聚吡咯层,通过盐酸刻蚀法将氧化铝层除去,得到具有蛋黄‑蛋壳结构多孔非晶硅/聚吡咯复合材料;该材料的结构稳定和导电性好,且可用于制备比容量高、循环寿命长和倍率性能好的钠离子电池;该制备方法易操作、成本低、绿色环保和所需设备简单,适于在工业化实施和大批量生产。

标签:
复合材料
上海 - 上海 来源:中冶有色网 2023-03-18
具有核壳结构的柔性自支撑锂硫电池正极薄膜及制备方法

本发明涉及具有核壳结构的柔性自支撑锂硫电池正极薄膜及制备方法。该柔性自支撑锂硫电池正极薄膜是由零维微米硫球、一维金属相二硫化钼改性的聚吡咯纳米管、一维单壁碳纳米管和二维单层MXene片层复合而成的多维纳米复合材料,其中金属相二硫化钼改性的聚吡咯纳米管为自支撑骨架同时化学吸附多硫化物,单层MXene片层包裹在微米硫球上物理限制多硫化物。本发明通过将金属相二硫化钼片层改性后的聚吡咯纳米管与核壳结构的微米硫球共混后在MXene薄膜上抽滤制得,其具有未添加任何传统胶黏剂的柔性自支撑结构。本发明制备的锂硫电池具有比容量高,循环寿命长,载体利用率高等综合优势。

标签:
复合材料
上海 - 上海 来源:中冶有色网 2023-03-18
五轴混合增减材制造装置

本发明公开一种五轴混合增减材制造装置,涉及增材制造和减材制造技术领域,包括装载基板、成型基板、驱动机构、增材制造机构和减材制造机构;所述装载基板用于驱动所述驱动机构、所述增材制造机构和所述减材制造机构沿竖直方向移动;所述成型基板用于承托成型制件沿竖直轴线转动、沿水平轴线转动和沿水平方向的移动;所述驱动机构与所述增材制造机构和所述减材制造机构分别通过一单向传动机构相连接。将五轴技术与混合增/减材制造相结合,大大提高了零件制造中的复杂性、功能性和材料利用率,实现了复合材料复杂零件的宏微结构一体化制造,同时改善了零件的几何精度和表面质量。

标签:
复合材料
上海 - 上海 来源:中冶有色网 2023-03-18
户外使用,具有免喷涂效果且超高耐候、高黑度的改性聚碳酸酯及其制备方法

本发明公开了一种户外使用,具有免喷涂效果且超高耐候、高黑度的改性聚碳酸酯及其制备方法,该复合材料包括以下重量百分比计的原料:聚碳酸酯:80‑100%;复合色粉:0.5‑3%;耐候助剂:0.5‑3%;树脂抑制剂:0.5‑3.0%;抗氧剂:0.2‑1.0%;加工助剂:0.5‑2%。本发明具有以下有益效果:通过在聚碳酸酯材料中添加耐候助剂及树脂抑制剂,两种助剂进行协同使用,提高了聚碳酸酯材料的耐候性,降低材料黄变指数,可以应用于具有高耐候要求、户外免喷涂使用的汽车外饰件、电子电器、通讯器材等。

标签:
复合材料
上海 - 上海 来源:中冶有色网 2023-03-18
复合碳材料及其制备方法和应用

本发明公开了一种复合碳材料及其制备方法和应用,复合碳材料由硬碳和软碳组成,由内核的硬碳和外壳的软碳组成,将复合材料用于钠离子电池负极,可实现容量、电导率、循环寿命的优化平衡。以天然棉类和石油化工的副产品为前驱体,采用简单的高温热处理得到核壳结构的一维硬碳/软碳复合碳材料。本发明采用廉价的原料、简单的方法制备复合碳材料,耗能低,成本小,周期短,有利于规模化生产。

标签:
复合材料
上海 - 上海 来源:中冶有色网 2023-03-18
碲化银/PEDOT:PSS/棉布复合热电材料的制备方法

本发明是一种碲化银/织物复合热电材料的制备方法。本发明首次通过气相诱导还原的方法制备碲化银/织物复合热电材料。首先将适量AgNO3、TeO2、巯基丙酸、表面活性剂等加入到适量去离子水中,搅拌均匀直至药品完全溶解,制备出Ag2Te前驱体溶液;将织物浸泡在Ag2Te前驱体溶液中一段时间,然后将织物悬挂在烧杯中,向烧杯底部加入含有还原剂的溶液,将该烧杯放在加热台通过加热至一定温度进行气相还原生成碲化银/织物复合热电材料。此方法具有工艺简单、操作方便、可大批量生产等优点。所制备的碲化银/织物复合材料热电性能优异,在热电发电和制冷器件领域具有广阔的应用前景和市场价值。

标签:
复合材料
上海 - 上海 来源:中冶有色网 2023-03-18
高炉铁口所用的新型环保无水炮泥及其制备方法

一种高炉铁口所用的新型环保无水炮泥,其特征在于,所述高炉铁口所用的新型环保无水炮泥的质量份数配方组成包括焦炭10‑20份、煅烧叶腊石颗粒10‑20份、棕刚玉颗粒10‑20份、铝矾土粉10‑20份、氮化硅铁5‑10份、碳化硅粉5‑10份、黏土10‑20份、碳基复合材料5份、复合结合剂5‑10份。本发明的有益之处在于,本发明提供的一种高炉铁口所用的新型环保无水炮泥及其制备方法具有以下优势:污染小,环保性好,是钢铁企业的首选;可塑性和粘结性好,容易挤进并填满空隙和裂纹;气孔率适宜,便于干燥时排出水分;高温体积收缩小,以免产生裂纹;烧结性能好,强度高,耐冲刷和耐侵蚀;易开口,出铁口深,出铁时间长。

标签:
复合材料
上海 - 上海 来源:中冶有色网 2023-03-18
光催化转化单糖生物质制备乳酸的方法

本发明涉及一种光催化转化单糖生物质制备乳酸的方法,利用人工光源或自然光,不用外加热源,在碱性溶液中,采用碳基材料或碳基复合材料实现了高效、高选择性光催化转化单糖生物质为乳酸。本发明反应体系温度的提升源于光热催化剂对光能的转化,不仅能耗降低,而且突破了传统技术制乳酸选择性低,收率也低的难题,乳酸收率高达80~90%;反应为非均相,光热催化剂稳定性好,循环反应后依旧高效;使用单糖生物质如葡萄糖为原料,可廉价大量的从生物质资源化转化得到。与现有技术相比,本发明具有绿色、高效、低能耗、高收率的特点,具有十分重要的意义与应用前景。

标签:
复合材料
上海 - 上海 来源:中冶有色网 2023-03-18
复合水凝胶和气凝胶的制备方法

本发明提供了一种复合水凝胶和气凝胶的制备方法,涉及复合材料领域,具体涉及一种金属纳米颗粒嵌入的几丁质水凝胶和气凝胶的制备方法。所述复合水凝胶的制备方法主要包括两个步骤,步骤一:通过碱煮和酸洗依次去除真菌中的蛋白质和矿物质,得到几丁质水凝胶;步骤二,将得到的几丁质水凝胶浸泡到金属离子水溶液中,再用还原剂还原得到金属纳米颗粒嵌入的几丁质复合水凝胶。所述复合气凝胶的制备方法为上述复合水凝胶经过超临界干燥或者冷冻干燥即可得到复合气凝胶。本方法取材于自然界的生物,生物相容性好,可自然降解;制备过程无需有机试剂,绿色安全环保;制备的复合水凝胶和气凝胶中金属纳米颗粒密集均匀地分散在几丁质内,不易脱落。

标签:
复合材料
上海 - 上海 来源:中冶有色网 2023-03-18
铜基复合粉体的自蔓延合成及其应用

本发明涉及一种铜基复合粉体的自蔓延合成及其应用,以钛粉,氮化硼粉,铜粉或/和铜基合金粉为原料,均匀混合后采用自蔓延烧结制备而成;以原料总质量为100%计,所述原料中钛粉的质量分数为15~50%、氮化硼粉的质量分数为5~20%、铜粉或/和铜基合金粉的质量分数为80~30%。与现有技术相比,本发明提供的一种铜基复合粉体,包含TiB2/TiN二元陶瓷增强相,BN润滑相,可用于制备增强型自润滑铜基复合材料,兼具TiB2/TiN高硬度、高耐磨的特性以及纯铜或铜基合金的高热导特性。

标签:
复合材料
上海 - 上海 来源:中冶有色网 2023-03-18
聚丙烯腈基毫米级空心多孔炭球及其制备方法和应用

本发明涉及一种聚丙烯腈基毫米级空心多孔炭球及其制备方法和应用。该路线采用聚丙烯腈(PAN)为原料,可挥发性油类如石油醚、煤油为空腔模板,基于非溶剂诱导相分离技术,成功制备了毫米级空心聚丙烯腈球,经预氧化、碳化获得了具有丰富孔结构、粒径均一、机械强度高、耐磨性良好的毫米级空心多孔炭球。与现有技术相比,本发明制备过程便捷,反应条件易于控制,成本低,可进行工业化生产。在工业催化、水体净化、油污吸附、盐水蒸发、血液灌流、低密度复合材料等领域,这些高性能的毫米级空心炭球有着不可替代的应用价值。

标签:
复合材料
上海 - 上海 来源:中冶有色网 2023-03-18
抗菌防霉负离子人造石板材及其制备方法

本发明提供一种抗菌防霉负离子人造石板材及其制备方法,涉及建筑装饰材料领域,人造石板材是一种新型的复合材料,可与天然石材相媲美,无毒性、无放射性,在建筑装修装饰领域广泛使用,而人们在使用过程中发现其受潮湿易滋生病菌和霉菌,有害于人们的身体健康,针对现有技术的不足,因此发明一种抗菌防霉负离子人造石板材,其特征在于:由质量份的以下原料组成,包括抗菌剂0.5‑4份、防霉剂0.5‑4份、负离子粉3‑8份、颗粒砂20‑40份、不饱和树脂15‑25份、石粉20‑30份、白水泥2‑8份、石英粉2‑8份、颜料0.1‑3份、促进剂0.2‑3.5份、偶联剂0.2‑1.5份、固化剂0.5‑3份、玻璃纤维布,其有益效果是:能有效地使其能起到抗菌、防霉、释放负离子的作用,有益于人们的身体健康。

标签:
复合材料
上海 - 上海 来源:中冶有色网 2023-03-18
上一页 21 22 23 24 25 ... 307 下一页
共307页    到第

中冶有色为您提供最新的上海有色金属复合材料技术理论与应用信息,涵盖发明专利、权利要求、说明书、技术领域、背景技术、实用新型内容及具体实施方式等有色技术内容。打造最具专业性的有色金属技术理论与应用平台!

全国热门有色金属设备推荐
展开更多 +
全国热门有色金属技术推荐
展开更多 +

 

江西省隆恩特环保设备有限公司
宣传

报名参会
更多+

报告下载

有色专家
更多+

矿冶科技集团
副所长/研究员
赣州江钨钨合金有限公司
工程师
矿冶科技集团
中国工程院院士
云南锡业集团(控股)有限责任公司
副总经理
广东省科学院工业分析检测中心
副主任
赤泥综合利用研究报告2025
推广

热门技术
更多+

推荐企业
更多+

福建省金龙稀土股份有限公司
宣传

发布

在线客服

公众号

电话

顶部
咨询电话:
010-88793500-807