青岛垚鑫智能科技有限公司
宣传

位置:中冶有色 >

有色技术频道 >

> 化学分析技术

分类:
全部
矿山技术
冶金技术
材料制备及加工技术
环境保护技术
分析检测技术
 
全部
物理检测技术
化学分析技术
力学检测技术
无损检测技术
失效分析技术
环境检测技术
地区:
全部
北京
天津
上海
重庆
河北
山西
辽宁
吉林
黑龙江
江苏
浙江
安徽
福建
江西
山东
河南
湖北
湖南
广东
海南
四川
贵州
云南
陕西
甘肃
青海
内蒙
广西
西藏
宁夏
新疆
其他
其他
展开
 
全部
广州
韶关
深圳
珠海
汕头
佛山
江门
湛江
茂名
肇庆
惠州
梅州
汕尾
河源
阳江
清远
东莞
中山
潮州
揭阳
云浮

广东广州有色金属化学分析技术理论与应用

免费发布技术信息>>
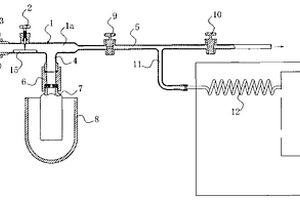
组织透明化和染色的装置及其应用方法

本发明公开了一种生物组织透明化和染色的装置,包括:核心反应槽,所述反应槽为空心金属球,顶部设有第一圆孔,底部设有第二圆孔;金属挂件,所述金属挂件与所述空心金属球绝缘相连;电控装置,所述电控装置包括电荷相反的第一电极和第二电极,所述第一电极和所述金属球电相连,所述第二电极和所述金属挂件电相连;蠕动泵和各种液体的装置,所述蠕动泵和所述第一圆孔连接;检测器,所述检测器为光感应器和化学感应器;温控装置,所述温控装置控制试剂染色和清洗液的温度;电脑控制系统,所述电脑控制系统自动依照处理的流程,进行透明和染色生物组织的操作,本发明可将生物组织透明和染色到最佳,大大缩短流程周期和减少人为的失误,提高效率。

标签:
化学分析
广东 - 广州 来源:中冶有色网 2023-03-19
调制InGaN/GaN异质结薄膜内部极化的方法

本发明公开了一种调制InGaN/GaN异质结薄膜内部极化的方法,涉及半导体压电光电子学技术领域。本发明通过金属有机化学气相沉积方法制备包括InGaN/GaN异质结薄膜的外延基片,通过电化学腐蚀方法把InGaN/GaN异质结薄膜从蓝宝石衬底上剥离下来,再通过物理转移办法将InGaN/GaN异质结薄膜转移到柔性衬底PET上,最后通过搜集光致发光光谱的检测方法证明了通过手动3D位移平台对InGaN/GaN异质薄膜施加的应力确实改善了薄膜内部的极化。应用本发明,不仅解决了InGaN/GaN多量子阱中极化所导致的载流子复合效率降低的问题,还具有制造工艺简单且调制效果较好。

标签:
化学分析
广东 - 广州 来源:中冶有色网 2023-03-19
生物质锅炉及其利用热能的方法

本发明公开了一种生物质锅炉,包括:进料斗、隔离门、炉排、前置炉拱、供风口、流化床、风帽、排渣阀、受热面和烟气出口;本发明还公开了一种应用于生物质锅炉的利用热能的方法,包括以下步骤:1、当锅炉启动时,检测供风口是否启动,当供风口启动时,将隔离门升起,并执行步骤2;否则,关闭隔离门,执行步骤5;2、生物质燃料从进料斗落入炉排,使生物质燃料的挥发份中的化学能转化为热能;3、生物质燃料进入流化床燃烧区,使固定碳中的化学能转化为热能,残留的灰分由排渣阀排出,当锅炉需要停止运行时执行步骤4;4、停止供给燃料,关闭供风口并执行步骤1;5、锅炉停止运行。本发明具有提高了燃料燃烬率和锅炉燃烧效率等优点。

标签:
化学分析
广东 - 广州 来源:中冶有色网 2023-03-19
固相微萃取装置
固相微萃取装置 1098     
 0

本发明公开了一种固相微萃取装置。它包括针筒和针筒内的套筒,在针筒的前端具有针管,套筒内固定有萃取头,在萃取头前端具有富集基体,富集基体上涂渍吸附材料,其特征在于,所述的富集基体是通过以下方法制备的:所述的富集基体是将直径为0.3~0.5mm的不锈钢针通过电化学蚀刻法进行蚀刻而成,电化学蚀刻步骤为:将直径为0.3~0.5mm的不锈钢针在20~40mA的电流强度下,1.8~2.2mol/L的盐酸溶液中放置0.8-1.2min,取出清洗干净后,得到富集基体。本发明的固相微萃取装置具有不易折断、较为耐用、成本低廉,能够用于富集油脂中的特征微量杂质成分,提高了富集倍数,提高检测的灵敏度的优点。

标签:
化学分析
广东 - 广州 来源:中冶有色网 2023-03-19
空间喷雾除味系统
空间喷雾除味系统 961     
 0

本实用新型申请公开了一种空间喷雾除味系统,包括机体和电控箱,所述电控箱安装在机体内,还包括配药混合缓冲模块以及与电控箱电连接的供气模块、喷淋模块以及检测模块;本空间喷雾除味系统通过检测模块实时监测垃圾中转站内的垃圾主要气体的浓度,并将气体的浓度信息传输回电控箱的中央控制器中,电控箱根据回传信息控制配药混合缓冲模块将药剂配好,然后电控箱控制供气模块和喷淋模块对垃圾中转站进行喷洒药剂,使得药剂能够与垃圾异味发生化学反应并生成无害无味物质,从而去除垃圾异味,改善空气质量,有效降低垃圾中转站异味对周边环境造成的影响,同时本系统还能连接互联网,使得操作人员能够远程控制本系统以及接收本系统的工作数据等信息。

标签:
化学分析
广东 - 广州 来源:中冶有色网 2023-03-19
生物池废气处理装置
生物池废气处理装置 896     
 0

本实用新型属于废气处理装置技术领域,公开了一种生物池废气处理装置,包括进气口、出气口和废气处理塔,本实用新型通过设置风机,将废气快速充入废气处理塔,大大加强了废气的处理能力,通过储存箱放入废气处理试剂,让网状层充分覆盖废气处理试剂,从而使废气通过网状层,由网状结构使废气充分与试剂相接触,大大增加了废气的处理效果,由此将废气中有害物质通过化学吸收,进一步,让废气继续通过过滤层,过滤层为活性炭,从而让废气中异味及有害气体被极大的消除了,达到国家排放的标准,通过设置废气检测装置,废气检测装置侧面安装有显示屏,从而可以实时观测到废气处理指标,可以有效防止有害气体排放出去,以免造成环境污染。

标签:
化学分析
广东 - 广州 来源:中冶有色网 2023-03-19
补脾益肾方的质量控制方法及其指纹图谱

本发明公开了一种补脾益肾方的质量控制方法及其指纹图谱。所述的质量控制方法包含如下步骤:S1.制备补脾益肾方供试品溶液;S2.吸取供试品溶液注入液相色谱仪,记录色谱图;S3.将步骤S2得到的色谱图导入中药色谱指纹图谱相似度评价系统;选择不同批次补脾益肾方的色谱图中均存在的色谱峰作为共有峰;用平均值计算法生成补脾益肾方的标准指纹图谱;计算各共有峰的相对保留时间、相对峰面积;S4.建立待检测补脾益肾方的指纹图谱;然后与步骤S3所述的标准指纹图谱进行比较,最后判断待检测的补脾益肾方质量是否合格。所述方法避免了常规的只测定一、两个化学成分而判定补脾益肾方质量的片面性,有利于对中药复方质量的全面控制。

标签:
化学分析
广东 - 广州 来源:中冶有色网 2023-03-19
模拟海底甲烷渗漏导致早期成岩作用的反应装置

本实用新型公开了一种模拟海底甲烷渗漏导致早期成岩作用的反应装置,包括反应系统;与反应系统连接的气体增压子系统和反应溶液供液子系统;还包括气液收集系统,气液收集系统连接于反应系统的出口端,气液收集系统与反应系统之间设置回压系统,回压系统为气液收集系统与反应系统之间提供压强差,控制反应后的气液收集。通过该装置模拟甲烷渗漏而引起的早期成岩作用,可以更好了解海洋环境及生物地球化学反应过程,对海洋具体地球化学分析工作有重要的指导和指示意义。

标签:
化学分析
广东 - 广州 来源:中冶有色网 2023-03-19
大功率恒流电源
大功率恒流电源 1198     
 0

本实用新型属于一种恒流电源。它采用了大功 率MOS场效应管、大功率结型场效应管或用场效应 管推动大功率晶体三极管作为输出电路的中心元件, 结合串联式稳压电路进行控制,利用电源取样并转换 为电压,与基准电压进行比较、放大,实现恒流控制。本实用新型电路简单,输出恒流可达1安培以 上,其大小可根据需要任意调节,稳定度高,主要用于 电磁阀的控制、化学电镀、化学分析及蓄电池充电等 方面。

标签:
化学分析
广东 - 广州 来源:中冶有色网 2023-03-19
便于采集烘丝时烟丝逸出成分的前处理模拟装置

本实用新型公开了一种便于采集烘丝时烟丝逸出成分的前处理装置,包括罐体和缓冲瓶,所述罐体设有门结构和气体逸出口;包括外壁和内筒,外壁和内筒之间设有夹层,夹层处设有加热装置,所述内筒内设有喷水装置,所述气体逸出口与内筒相通;所述罐体设有可向内筒内通入气体的空心转轴,所述空心转轴包括空心的轴体和连接于轴体上的叶片,所述轴体一端开口,另一端密闭,轴体上分布若干开口,所述空心转轴上分布叶片;所述缓冲瓶设有瓶入口、瓶下端出口和瓶侧出口,所述瓶入口连接气体逸出口,所述瓶下端出口设有控制阀。本实用新型所述烟草烘丝模拟装置结构简单、功能完整,可以作为烟草及烟草致香成分分析的前处理装置,对烟丝加热至不同温度逸出化学成分进行采集分析。

标签:
化学分析
广东 - 广州 来源:中冶有色网 2023-03-19
Nafion/葡萄糖氧化酶/氧化石墨烯/纳米多孔铂电极及其制备方法和应用

本发明属电流型传感器技术领域,公开了一种Nafion/葡萄糖氧化酶/氧化石墨烯/纳米多孔铂电极及其制备方法和应用,所述Nafion/葡萄糖氧化酶/氧化石墨烯/纳米多孔铂电极是将铂丝电极和对电极插入电解液中,用直流电对铂丝进行电化学腐蚀;然后将所得纳米多孔铂电极、对电极和参比电极浸入到氧化石墨烯溶液中,电沉积制得氧化石墨烯/纳米多孔铂电极;再将该电极浸入到葡萄糖氧化酶溶液,得到葡萄糖氧化酶/氧化石墨烯/纳米多孔铂电极;最后在该电极表面滴涂Nafion溶液制得。本发明操作方便,成本低,该传感器具有检测限低,测试灵敏度和准确度高,再现性、重复性、稳定性好,可用于植物果实中的葡萄糖的快速灵敏检测。

标签:
化学分析
广东 - 广州 来源:中冶有色网 2023-03-19
通用多功能采样保温箱
通用多功能采样保温箱 1199     
 0

本发明涉及一种通用多功能采样保温箱,包括箱体,所述箱体内设置有保温腔,所述箱体一侧开口与所述保温腔连通,所述箱体滑动连接有用于放置试剂瓶的支撑板,所述支撑板设置有夹持所述试剂瓶的夹持装置,所述支撑板远离箱体的一侧固定有保温门,所述保温门与所述箱体的开口配合;所述箱体内设置有调节保温腔内温度的温度调节系统。通过箱体保温腔的设置,使试剂瓶在保温腔内处在一个恒温环境中,使试剂瓶内的化学反应正常发生,在较为恶劣的环境中也能持续进行空气检测,并提高了实验测量精度,并且该保温箱对试剂瓶和检测仪器进行保护。

标签:
化学分析
广东 - 广州 来源:中冶有色网 2023-03-19
人体口腔黏膜模型及其制备方法

本发明属于组织工程技术领域,具体涉及一种人体口腔黏膜模型及其制备方法,该黏膜模型包括基底层以及固有层之外,还包括上皮层,从而高度接近人体口腔黏膜的上皮组织的结构。该模型可以应用于口腔护理产品、小分子化合物、活性蛋白、医疗器械、化学品、一次性卫生用品等产品的安全性与功效性检测及其他与口腔黏膜接触的材料的安全性与功效性评价,并且使得到的检测数据与评价结果更接近口腔黏膜的测评结果。

标签:
化学分析
广东 - 广州 来源:中冶有色网 2023-03-19
垃圾渗滤液处理装置
垃圾渗滤液处理装置 1200     
 0

本实用新型公开了一种垃圾渗滤液处理装置,包括依次相连的混凝池、厌氧池、曝气池、生物过滤池、纳滤器以及废液储存池,纳滤器的废液出口与废液储存池的入水口相连,废液储存池的出水口与混凝池相连,纳滤器的净水出口连接有第一出水管。本实用新型中,通过混凝池、厌氧池、曝气池、生物过滤池以及纳滤器对垃圾渗滤液进行联合净化处理,净化效果好,降低了渗滤液对环境的污染,有利于环保;并设置第一溶氧仪、第二溶氧仪、压力计、重金属在线分析仪以及化学需氧量在线分析仪,以监控净化过程情况及净化效果。

标签:
化学分析
广东 - 广州 来源:中冶有色网 2023-03-19
标准气态过氧硝酸的发生系统及制备方法

本发明涉及大气化学和大气环境监测技术领域,公开了一种标准气态过氧硝酸的发生系统及制备方法。本发明标准气态过氧硝酸的发生系统包括连通的给气结构、过氧硝酸溶液贮存结构、气态过氧硝酸稀释结构、排气结构和气态过氧硝酸标定结构。本发明通过发生系统制备标准气态过氧硝酸的方法包括配制过氧硝酸溶液、稀释气态过氧硝酸、标定稀释气体、校正检测气态过氧硝酸的仪器。本发明的标准气态过氧硝酸的发生系统结构简单易操作。本发明的标准气态过氧硝酸的制备方法可直接进行相关检测仪器的校正,反应步骤少、配气和标定操作简单易行。

标签:
化学分析
广东 - 广州 来源:中冶有色网 2023-03-19
模拟海底甲烷渗漏导致早期成岩作用的反应装置及方法

本发明公开了一种模拟海底甲烷渗漏导致早期成岩作用的反应装置,包括反应系统;与反应系统连接的气体增压子系统和反应溶液供液子系统;还包括气液收集系统,气液收集系统连接于反应系统的出口端,气液收集系统与反应系统之间设置回压系统,回压系统为气液收集系统与反应系统之间提供压强差,控制反应后的气液收集。通过该装置模拟甲烷渗漏而引起的早期成岩作用,可以更好了解海洋环境及生物地球化学反应过程,对海洋具体地球化学分析工作有重要的指导和指示意义。

标签:
化学分析
广东 - 广州 来源:中冶有色网 2023-03-19
HDN染色液及其用于辣根过氧化酶特异性显色的试剂盒

本发明属于细胞染色以及试剂盒的技术领域,具体涉及一种HDN染色液及其用于辣根过氧化酶特异性显色的试剂盒。所述试剂盒包括HDN染色液,所述HDN染色液包括双氧水、缓冲液、硫酸镍铵、3,3’二氨基联苯胺以及氯化铵;所述试剂盒的免疫组织化学的方法如下:1)取被检活性组织切片,固定;2)用一抗检测欲发现的抗原或抗体;3)染色:将所得组织切片浸入HDN染色液中,待组织切片的阳性检测物呈现深紫蓝色;4)清洗组织切片;5)封片,观察组织切片。采用HDN染色液进行染色,得到的试剂盒的敏感度相比常法高10倍以上,可以显示常法染不出的物质,可以减少假阴性结果,避免漏诊。非阳性物质不染色,可以避免假阳性结果。

标签:
化学分析
广东 - 广州 来源:中冶有色网 2023-03-19
免疫组织阳性细胞和阴性细胞识别方法

本发明公开了一种免疫组织阳性细胞和阴性细胞识别方法,本发明根据待处理免疫组织化学图像数据本身的最大类间方差方法自适应地确定相应阈值而不是使用固定的阈值,能适应图像在颜色及亮度上的偏差,相比现有方法更稳健;当判别细胞核的阳性、阴性时,将免疫组织化学图像的染色处理信息作为先验信息加以利用,而不需要进行人工标记,避免人为主观因素介入,实现了全自动化处理,提高了分析效率和处理质量的稳定性。

标签:
化学分析
广东 - 广州 来源:中冶有色网 2023-03-19
索拉非尼晶型及其制备方法

本发明属于医药化工领域,具体涉及具有抗肿瘤活性的索拉非尼晶型B及其制备方法。将4‑{4‑[3‑(4‑氯‑3‑三氟甲基苯基)酰脲]苯氧基}吡啶‑2‑甲酰胺,即索拉非尼粗品用N,N‑二甲基甲酰胺溶解或二甲基亚砜溶解,加入醇类溶剂析晶得到索拉非尼的新晶型,该方法具有试剂廉价易得,对环境友好,制备方法简单,析晶条件温和,晶体易于分离等优点。所得晶体经X‑射线粉末衍射谱图分析,特征吸收峰2θ值位于11.3±0.2゜、12.5±0.2゜、14.5±0.2゜、15.1±0.2゜、18.0±0.2゜、18.6±0.2゜.7±0.2゜、22.4±0.2゜、22.9±0.2゜、23.5±0.2゜、24.3±0.2゜、24.7±0.2゜、25.2±0.2゜、25.6±0.2゜、29.5±0.2゜。所得所得晶体产率高,晶型纯度高,化学纯度高,晶型化学稳定性好。

标签:
化学分析
广东 - 广州 来源:中冶有色网 2023-03-19
荧光传感阵列及采用该阵列对微生物进行分型鉴定的方法

本发明属于分子生物学材料领域,公开了一种荧光传感阵列及采用该阵列对微生物进行分型鉴定的方法。所述荧光传感阵列由聚集诱导发光分子溶液和氧化石墨烯溶液混合组成。本发明的荧光传感阵列直接将聚集诱导发光分子与氧化石墨烯混合,即能实现对多种微生物的分型鉴定,不需要化学修饰,信号响应在2h内完成,可以通过酶标仪、荧光光谱仪及数码成像对数据进行采集,结合主成分分析对数据进行处理,具有安全、简便、高效、无复杂化学标记、背景信号低及特异性强的优势。

标签:
化学分析
广东 - 广州 来源:中冶有色网 2023-03-19
哑铃型光纤光栅制备方法及温度不敏感折射率传感器

本发明公开了一种哑铃型结构光纤光栅的制备方法及温度不敏感折射率传感器,方法包括:(1)选取双折射保偏光纤,所述双折射保偏光纤的横截面结构为应力施加区的二重对称结构;(2)采用193nm准分子激光器和相位掩膜刻蚀技术在双折射保偏光纤中刻入布拉格光栅;(3)再采用化学腐蚀的方法对该光纤光栅应力施加区进行腐蚀,将两个应力施加区腐蚀成二维不对称结构。传感器包括沿光传输路径顺序连接的宽带光源、哑铃型光纤光栅、偏振控制器、偏振分光器和光谱分析仪;本发明的温度不敏感折射率传感仪,采用二重不对称结构的高双折射的保偏光纤,利用其独特的双折射及偏振特性,经过刻写光栅和化学腐蚀熊猫光纤结构,克服温度对灵敏度的影响。

标签:
化学分析
广东 - 广州 来源:中冶有色网 2023-03-19
输电网的过载动态决策生成方法及相关装置

本申请公开了一种输电网的过载动态决策生成方法及相关装置,方法包括:根据预置电网仿真模型获取线路过载情况下的电网运行状态与潮流数据,预置电网仿真模型包括输电网简化电路和配电网简化电路;基于马尔可夫决策理论,根据电网运行状态对基于潮流数据构建的深度强化学习模型进行训练,得到输电网拓扑调控模型,深度强化学习模型包括以负荷缺电惩罚、故障惩罚和动作成本构成的奖励函数;通过输电网拓扑调控模型对实时线路过载运行数据进行决策分析,得到目标电网调控决策。本申请能解决现有技术没有充分考虑新形态电力系统的特点,缺乏针对性,并且在调控手段较多时无法保证寻优速度的技术问题。

标签:
化学分析
广东 - 广州 来源:中冶有色网 2023-03-19
电力系统的运行调度方法、系统、装置及介质

本发明公开了一种电力系统的运行调度方法、系统、装置及介质,其中方法包括:获取电力系统的运行方式数据;采用训练后的决策树分类器对运行方式数据进行分类,获得典型运行场景类型;获取与典型运行场景类型对应的优化调度模型,采用优化调度模型控制电力系统的运行调度;其中,所述典型运行场景类型通过聚类分析获得,所述优化调度模型包括深度强化学习模型和新型电力系统模型。本发明通过聚类方式划分多种典型运行场景,针对不同的典型运行场景调取对应的优化调度模型控制调度,即针对不同的典型场景设计深度强化学习优化调度方案,有效提高调度决策方案的性能。本发明可广泛应用于电力系统领域。

标签:
化学分析
广东 - 广州 来源:中冶有色网 2023-03-19
黄金样品管中气体和轻烃组分的收集、定量装置及使用方法

本发明公开了一种黄金样品管中气体和轻烃组分的收集、定量装置及使用方法,装置包括管体、针阀、密封压帽,管体有轻烃组分收集的第一支管和与抽真空装置连接的第二支管,第一支管通过连接头与样品瓶连接,样品瓶外围有干冰杯;在第二支管上依次串联有平衡阀和真空阀,平衡阀与真空阀之间的第二支管通过管路与采样环连接;使用方法是:(1)放入样品管;(2)开平衡阀和真空阀抽真空;(3)关闭平衡阀刺破样品管;(3)静置扩散平衡;(4)关真空阀,开平衡阀使气体在采样环扩散平衡;(5)关闭平衡阀进行气体分析;(6)移去干冰杯,旋下样品瓶加入溶剂,盖上瓶盖。本发明用于油气地球化学研究中的地质样品成分分析。

标签:
化学分析
广东 - 广州 来源:中冶有色网 2023-03-19
去除过硫酸钾中微量总氮和氨氮的方法

本发明属于分析化学技术领域,公开了一种去除过硫酸钾中微量总氮和氨氮的方法。所述方法为:将纯水加热至50℃保温,然后加入过硫酸钾搅拌溶解至饱和状态,将所得饱和过硫酸钾溶液密封后至于4℃温度下结晶,当晶体不再析出时取出,弃去上清液,用4℃纯水清洗晶体,然后在50℃温度下烘干,得到去除微量总氮和氨氮后的过硫酸钾。本发明方法操作简单,总氮和氨氮的去除效果好,过硫酸钾产品的回收率高,且产品纯化后满足于低浓度总氮分析的质量要求。

标签:
化学分析
广东 - 广州 来源:中冶有色网 2023-03-19
基于教育服务机器人的交互式学习系统与交互方法

本发明公开了一种基于教育服务机器人的交互式学习系统与交互方法。该系统主要包含了核心处理器模块、语音处理模块、语音采集模块、语音播放模块、图像处理模块、图像采集模块、投影处理模块、运动控制模块、环境感知模块、电机驱动模块和网络通信模块。其中,一种基于教育服务机器人的交互学习系统的交互方法,主要包括系统实时采集用户脸部和桌面图像信息,系统实时记录用户学习情况,并在网络服务器端采用大数据分析方法,建立一套针对用户的个性化学习指导方案,并在用户提问或与系统交互时,通过语音应答、投影应答、转动机器人头部、机器人前后左右移动、机器人身体指示灯点亮等方式体现。本发明有益效果为,可以为用户提供个性化学习指导方案,使用户能用合适的方法轻松掌握和巩固学习知识,并锻炼用户自学和独立思考的能力。

标签:
化学分析
广东 - 广州 来源:中冶有色网 2023-03-19
正电子放射性药物、制备方法及其应用

本发明提供了新型放射性氟‑18标记的靶向TSPO的正电子药物[18F]FDPA,本发明还提供了[18F]FDPA的无载体放射性氟‑18负离子标记方法和应用。本发明提供的[18F]FDPA的化学及放射化学纯度高、比活度高且可重复性好,符合注射使用正电子药物的质量标准;本发明提供的[18F]FDPA的制备方法,不仅步骤少、产率高,而且操作简便、易于自动化生产;本发明将[18F]FDPA应用于炎症动物模型中的PET影像学评价时,其具有很好的专一性、靶向型和稳定性,这样就极大提高了PET影像的定量化分析的质量,由此为后续进行临床炎症相关疾病的诊断提供了极大的科学支持。

标签:
化学分析
广东 - 广州 来源:中冶有色网 2023-03-19
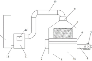
烟草烘丝装置
烟草烘丝装置 1102     
 0

本发明公开了一种烟草烘丝装置,所述装置包括罐体,所述罐体包括外壁和内筒,外壁和内筒之间设有夹层,夹层处设有加热装置;所述内筒内设有喷水装置,所述内筒设有气体逸出口;所述罐体设有可向内筒通入气体的空心转轴,空心转轴的轴体上分布若干开口,所述空心转轴上分布叶片。本发明所述烟草烘丝装置结构简单、功能完整,可以作为烟草及烟草致香成分分析的前处理装置,还可用来模拟制丝工艺的烘丝筒的工作状况,开展相关研究,并可以用来研究含水率对烘丝环节的影响,用于进行加热非燃烧卷烟研制开发研究,对烟丝加热至不同温度逸出化学成分进行采集分析。

标签:
化学分析
广东 - 广州 来源:中冶有色网 2023-03-19
分子电离碰撞截面的计算方法及装置

本发明公开了一种分子电离碰撞截面的计算方法及装置,在DM公式的基础上,确定了量子化学的计算级别,提出了针对特定体系的优化方法。其中方法包括:S1、对分子结构进行建模,并利用量子化学计算求解自洽场方程,得到分子的优化结构;S2、通过Hartree‑Fock法对分子的优化结构进行波函数分析,得到分子的Mulliken布居,确定各分子轨道的能量;S3、获取各价电子组成的分子轨道的权重值;S4、通过预置第一公式及预置第二公式计算得到分子的电离碰撞截面。

标签:
化学分析
广东 - 广州 来源:中冶有色网 2023-03-19
糖皮质激素及其衍生物的筛查方法及其应用

本发明提供了一种糖皮质激素及其衍生物的筛查方法,该方法基于UPLC‑TOF MS/MS技术,采用MSE模式对样品进行质谱(ESI+)全信息采集。以GCs化学结构中的母核为分类依据,将若干种常见的GCs分为12组,通过对质谱图进行归类分析,找出各组相同的特征离子碎片,建立共母核特征离子数据库并利用Waters质谱Masslynx软件中的Chromlynx模块对GCs进行自动筛查分析,结合质谱断裂特征、离子精确质量数、同位素丰度、紫外吸收光谱等信息对筛查的色谱峰进行进一步的确认,形成的准靶向筛查技术能在没有对照品的条件下,实现对非法添加的糖皮质激素及其新型衍生物进行筛查和鉴定。

标签:
化学分析
广东 - 广州 来源:中冶有色网 2023-03-19
上一页 20 21 22 23 24 ... 78 下一页
共78页    到第

中冶有色为您提供最新的广东广州有色金属化学分析技术理论与应用信息,涵盖发明专利、权利要求、说明书、技术领域、背景技术、实用新型内容及具体实施方式等有色技术内容。打造最具专业性的有色金属技术理论与应用平台!

全国热门有色金属设备推荐
展开更多 +
全国热门有色金属技术推荐
展开更多 +

 

江西省隆恩特环保设备有限公司
宣传

报名参会
更多+

报告下载

有色专家
更多+

广东省科学院资源利用与稀土开发研究所
教授
长沙矿冶研究院有限责任公司
中国工程院院士
矿冶科技集团有限公司
所长/研究员级高工
赣州有色冶金研究所有限公司
副主任/高级工程师
中南大学
院长/教授
赤泥综合利用研究报告2025
推广

热门技术
更多+

推荐企业
更多+

福建省金龙稀土股份有限公司
宣传

发布

在线客服

公众号

电话

顶部
咨询电话:
010-88793500-807